Abstract
Two-dimensional transition metal dichalcogenides MX2 (M = W, Mo, Nb, and X = Te, Se, S) with strong spin–orbit coupling possess plenty of novel physics including superconductivity. Due to the Ising spin–orbit coupling, monolayer NbSe2 and gated MoS2 of 2H structure can realize the Ising superconductivity, which manifests itself with in-plane upper critical field far exceeding Pauli paramagnetic limit. Surprisingly, we find that a few-layer 1Td structure MoTe2 also exhibits an in-plane upper critical field which goes beyond the Pauli paramagnetic limit. Importantly, the in-plane upper critical field shows an emergent two-fold symmetry which is different from the isotropic in-plane upper critical field in 2H transition metal dichalcogenides. We show that this is a result of an asymmetric spin–orbit coupling in 1Td transition metal dichalcogenides. Our work provides transport evidence of a new type of asymmetric spin–orbit coupling in transition metal dichalcogenides which may give rise to novel superconducting and spin transport properties.
Similar content being viewed by others
Introduction
In conventional Bardeen–Cooper–Schrieffer (BCS) singlet superconductor, the external magnetic field becomes detrimental to the superconductivity state through orbital depairing effect and Pauli paramagnetism1. In the two-dimensional (2D) atomically thin superconductor, the orbital effect is suppressed and Pauli paramagnetism plays the dominant role when an in-plane magnetic field is applied. The effect of in-plane magnetic field on the 2D superconductor is recently studied in the superconducting 2H-type transition metal dichalcogenides (TMDCs), including gated MoS22,3, 2D NbSe24,5, and monolayer TaS26. Interestingly, the in-plane upper critical field \(\left( {H_{{\mathrm{c}}2,\parallel }} \right)\) is observed to be strongly enhanced beyond the Pauli paramagnetic limit7,8. The large enhancement of \(H_{{\mathrm{c}}2,\parallel }\) in the 2H TMDCs originates from the strong Ising spin–orbit coupling (SOC) due to the breaking of an in-plane mirror symmetry and the presence of the out-of-plane mirror symmetry in the crystal structure. As electron spins are pinned to the out-of-plane directions, this phenomenon is named Ising superconductivity. Ising superconductivity2,3,4 with its promising applications in equal spin Andreev reflections9, proximity phenomenon10, engineering Majorana fermions9,11,12, and topological superconductivity13,14 has sparked intense research interest in condensed matter physics. So far, the study of SOC effect on superconductivity in TMDCs is limited to the Ising SOC.
In this work, we systematically study the superconducting few-layer 1Td-MoTe2. A few-layer 1Td-MoTe2, unlike its 2H structure counterparts, breaks both the in-plane mirror symmetry and out-of-plane mirror symmetry. We show that the resulting SOC is asymmetric in the three spatial directions. By combining the low-temperature transport measurements and self-consistent mean-field calculations, we demonstrate that the in-plane upper critical field in the superconducting few-layer 1Td-MoTe2 exceeds the Pauli limit in the whole in-plane directions. Importantly, we theoretically predicted and experimentally verified that the in-plane upper critical field shows an emergent two-fold symmetry due to the new type of anisotropic SOC. From the experimental data, we further estimated that the SOC strength is on the orders of tens of meV, which is also consistent with the results of our first-principle calculations. Our work gives clear evidence that anisotropic SOC plays an important role in determining the properties of superconductivity in MoTe2.
Results
Growth of few-layer MoTe2 crystals
In our experiment, the high crystalline few-layer MoTe2 crystals were produced by molten-salt assisted chemical vapor deposition (CVD) method15,16 (see details in the Methods section and Supplementary Fig. 1). The optical images of the as-synthesized MoTe2 layers with different thicknesses are shown in Fig. 1a. Similar to our previous results15, the mono- and few-layer MoTe2 can have a size up to 100 µm with a rectangular shape. Figure 1b shows the Raman spectra of the as-synthesized MoTe2 with different layers, where we ascribe the Ag modes at 127, 161, and 267 cm−1 to 1Td-MoTe2, which is further supported by the following scanning transmission electron microscopy (STEM) measurements. Note that the Ag mode located at 267 cm−1 shows a blueshift with increasing sample thickness, which is similar to the Raman shift in other 2D materials such as MoS217 and WS218.
Structural and transport characterization of the as-synthesized 1Td-MoTe2 samples. a Optical images of monolayer (1L), bilayer (2L), trilayer (3L), and few layers of as-synthesized MoTe2. The size of the monolayer sample can reach up to 100 µm. The scale bar is 10 µm. b Raman spectra of the few-layer MoTe2 samples. Raman peaks were observed at 127, 161, and 267 cm−1, corresponding to the Ag modes of 1Td-MoTe2. c Atomic resolution scanning transmission electron microscopy (STEM) image of few-layer 1Td-MoTe2. Simulated STEM images of few-layer MoTe2 in 1T′ and 1Td stacking viewed along [0 0 1] zone axis are shown next to the experimental image, respectively. Compared with the simulation, the stacking of the few-layer MoTe2 is confirmed to be the 1Td phase. The scale bar is 0.5 nm. d Superconductivity in few-layer 1Td-MoTe2. The inset shows the temperature dependence of the reduced four-terminal resistance (R/R5 K) in the range from 0.3 to 4.5 K, for MoTe2 devices with the thickness ranging from 2 to 10 nm
Structural characterization
The atomic structure of few-layer MoTe2 is further characterized by annular dark-field (ADF) STEM imaging. Figure 1c shows the atom-resolved STEM image of few-layer MoTe2 in a large scale (see Supplementary Fig. 2a, b for the chemical purity verified by energy-dispersive X-ray spectra). The 1Td phase and 1T′ phase share the same in-plane crystal structure (Supplementary Fig. 2c), but the two structures have different stacking. The 1T′ crystallizes in monoclinic shape and keeps the global inversion center, while the 1Td phase has the vertical stacking and belongs to the non-centrosymmetric space group Pmn21, as shown by the atomic models in Fig. 1c. Therefore, the projection of the scattering potential is different in these two phases and can be distinguished by their STEM images. At room temperature, bulk MoTe2 usually crystalized in the monoclinic 1T′ phase. By comparing the simulated images both in 1Td and 1T′ phase shown in Fig. 1c, we unambiguously found that the few-layer MoTe2 is in the 1Td phase rather than the bulk 1T′ phase at room temperature. This is different from the previous reports19,20 where the 1Td phase only occurs at temperature below 200 K. Additionally, the temperature dependence of Raman spectra and sheet resistance shown in Supplementary Fig. 3 also confirm the few-layer MoTe2 is in the 1Td phase, that is, no phase transition is observed on lowering down the temperature. Therefore, the 1Td phase could be the intrinsic feature of the CVD-grown few-layer MoTe2, which is presumably caused by the reduced thickness of MoTe221.
Transport properties of few-layer 1T d-MoTe2
Figure 1d shows the temperature dependence of the normalized four-terminal sheet resistance (R/R300 K), measured at zero magnetic field, for MoTe2 films with thickness from 2 to 30 nm (see Supplementary Fig. 4 for raw data). At high temperatures, all samples measured show a metallic behavior with dR/dT > 0, indicating that the phonon scattering dominates the transport. As the temperature is further lowered, the samples enter a disorder-limited transport regime prior to the eventual superconducting state. The residual resistance ratio, \({\mathrm{RRR}} = R_{300\,{\mathrm{K}}}/R_{\mathrm{n}}\) with R300 K the room temperature sheet resistance and Rn the normal state sheet resistance right above the superconducting transition, which varies from 1.15 of the 2.0-nm-thick to 2.33 of the 30-nm-thick MoTe2 crystals (Supplementary Table 1).
At low temperatures, superconductivity is observed for all samples. To examine the thickness-dependent superconductivity, in the inset of Fig. 1d we show the temperature dependence of the reduced resistance, \(r = R/R_{\mathrm{n}} = R/R_{5\,{\mathrm{K}}}\), in a low-temperature regime (T ≤ 5.5 K) for samples with different thickness. Empirically, critical transition temperatures for the superconductivity, Tc,r, can be extracted from the R vs. T curve. This is realized by picking up the points firstly encountered with the predefined reduced resistance r from the normal state into the superconducting state. Such transition temperatures, extracted at typical values r = 0, 0.5, and 0.9, are listed in Supplementary Table 1 for our samples with different thickness. It is found that, Tc,0 increase from 0.35 K to 3.16 K with increasing sample thickness from 2 nm to 30 nm, and the Tc,0 values of our samples are surprisingly higher than Tc,0 ~ 0.1 K as reported in stoichiometric bulk MoTe220. In bulk MoTe2, Te-vacancy-enhanced superconductivity has been previously reported16 with the highest Tc,0 ~ 1.3 K, which is still much lower than Tc,0 = 3.16 K observed in our 30-nm-thick MoTe2 crystals. In addition, a significant broadening on superconducting transition are observed for 2-nm-thick device, which can be attributed to the enhanced thermal fluctuations in two dimensions1,22; similar behaviors have been observed in few-layer Mo2C23 and NbSe24,24 superconductors reported recently.
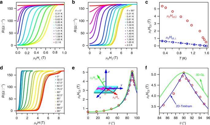
The few-layer MoTe2 crystals provide an ideal platform to study their transport properties in the 2D limit. To investigate the dimensionality of the superconductivity in few-layer MoTe2, we firstly studied the temperature dependence of the upper critical magnetic field \(\mu _0H_{{\mathrm{c}}2}\), which is defined as the magnetic field corresponding to a predefined reduced resistance r = R/Rn = 0.5. Due to the high reactivity of oxygen and water vapor, few-layer, especially monolayer MoTe2, samples deteriorate easily in ambient conditions. The following data were mainly collected on samples with the thickness ranging from 2.7 to 9 nm. Figure 2a, b shows the superconducting resistive transitions of a 8.6-nm-thick MoTe2 device with the magnetic field perpendicular and parallel to the sample surface, respectively, measured at fixed temperatures. In both cases, one can see that the superconducting transition shifts gradually to lower magnetic fields with the increase of temperature. The temperature-dependent upper critical fields in directions parallel and perpendicular to the sample surface, denoted by \(\mu _0H_{{\mathrm{c}}2,\parallel }\) and \(\mu _0H_{{\mathrm{c}}2, \bot }\), respectively, are plotted in Fig. 2c. We found that the superconductivity was more susceptible to perpendicular magnetic fields than to parallel magnetic fields, and a large ratio of \(H_{{\mathrm{c}}2,\parallel }/H_{{\mathrm{c}}2, \bot } \approx 7\) is obtained in the 8.6-nm-thick sample, indicating a strong magnetic anisotropy. This is true for all samples, and the ratio reaches up to 26 for 2.7-nm-thick sample (see Supplementary Fig. 5 for more samples). A linear temperature dependence was observed for \(H_{{\mathrm{c}}2, \bot }\), which can be well fitted by the phenomenological 2D Ginzburg–Landau (GL) theory1,
where ξGL is the zero temperature GL in-plane coherence length and ϕ0 is the magnetic flux quantum, as shown by the blue dashed line in Fig. 2c that gives ξGL = 20.79 nm (see Supplementary Table 1 for more data on samples with different thickness). Compared with the sample thickness of 8.6 nm as measured by AFM (Supplementary Fig. 5f), the coherence length ξGL = 20.79 nm is approximately two times of the thickness, indicating that the depairing effect from the orbital magnetic field is strongly suppressed. As a result, the in-plane magnetic field-induced paramagnetism determines \(H_{{\mathrm{c}}2,\parallel }(T)\).
Two-dimensional superconductivity in few-layer 1Td-MoTe2 crystals. a, b Superconducting resistive transition of the 8.6-nm-thick MoTe2 crystal in perpendicular magnetic field (a) and in parallel magnetic field (b). c Temperature dependence of the upper critical field μ0Hc2 corresponding to reduced resistance r = 0.5, with magnetic field directions parallel (\(\mu _0H_{{\mathrm{c}}2,\parallel }\)) and perpendicular (\(\mu _0H_{{\mathrm{c}}2, \bot }\)) to the crystal plane. The dashed line is fitting to the 2D Ginzburg–Landau theory. d Magnetic field dependence of the sheet resistance of the 8.6-nm MoTe2 device at T = 0.3 K with different tilted angles θ. e Angular dependence of the upper critical field μ0Hc2. The solid lines represent the fitting with the 2D Tinkham formula \(\left| {\frac{{H_{{\mathrm{c}}2}(\theta )\cos \theta }}{{H_{{\mathrm{c}}2, \bot }}}} \right| + \left( {\frac{{H_{{\mathrm{c}}2}(\theta )\sin \theta }}{{H_{{\mathrm{c}}2,\parallel }}}} \right)^2 = 1\) (blue line) and the 3D anisotropic mass model (3D-GL) \(\left( {\frac{{H_{c2}(\theta )\cos \theta }}{{H_{{\mathrm{c}}2, \bot }}}} \right)^2 + \left( {\frac{{H_{c2}(\theta )\sin \theta }}{{H_{{\mathrm{c}}2,\parallel }}}} \right)^2 = 1\) (green line), respectively. The inset is a schematic drawing of the tilt experiment setup, where x, y, and z represents the crystallographic b-, a-, and c-axis, θ is the out-of-plane tilted angle between the out-of-plane magnetic field Bout and the positive direction of z-axis, and φ is the in-plane tilted angle between the in-plane magnetic field Bin and the positive direction of y-axis. f Zoom-in view of the region around θ = 90º
The 2D behavior of the superconducting few-layer MoTe2 is further confirmed by the experiments with tilted magnetic field. Figure 2d shows the magnetic field dependence of the sheet resistance R under different θ at 0.3 K, where θ is the tilted angle between the normal of the sample plane and the direction of the applied magnetic field (the inset of Fig. 2e). Clearly, the superconducting transition shifts to higher field with the external magnetic field rotating from perpendicular θ = 0º to parallel θ = 90º (see Supplementary Fig. 6 for more data on different MoTe2 samples). The upper critical field \(\mu _0H_{{\mathrm{c}}2}\) was extracted from Fig. 2d and plotted in Fig. 2e as a function of the tilted angle θ. In Fig. 2e, a cusp-like peak is clearly observed at θ = 90º, where the external magnetic field is aligned in parallel to the sample surface, which is apparently sharper for thinner sample (Supplementary Fig. 6). Curves fitted with the 2D Tinkham model1 and 3D anisotropic GL model show the data consistence with both models for θ<85º and θ>95º, whereas for 85º<θ<95º, the cusp-shaped dependence can only be explained with the 2D Tinkham model as shown in Fig. 2f. It shows that our superconducting few-layer MoTe2 manifests the 2D nature of the superconductivity. For a 2D superconductor with \(d_{{\mathrm{sc}}} \ll \xi _{{\mathrm{GL}}}\), the V--I dependence as a function of temperatures is measured and shown in Supplementary Fig. 6. The Berezinskii–Kosterlitz–Thouless temperature is estimated to be TBKT = 1.47 K, which is only slightly larger than Tc,0 = 1.4 K of the sample. With the above evidences, the 2D superconductivity is convincingly confirmed in our few-layer 1Td-MoTe2 samples.
Discussion
Now we turn to discuss the most important findings of our experiments, that is, the observation of the in-plane upper critical field \(\left( {H_{{\mathrm{c}}2,\parallel }} \right)\) beyond the Pauli limit and the emergent two-fold symmetry of \(H_{{\mathrm{c}}2,\parallel }\). In conventional BCS superconductors, sufficiently high external magnetic field can destroy the superconductivity by breaking Cooper pairs via the coexisting orbital1,25 and Zeeman spin splitting effect7,8. For the few-layer sample, the orbital effect of the in-plane magnetic field is greatly suppressed due to the reduced dimensionality1, and consequently \(H_{{\mathrm{c}}2,\parallel }\) is solely determined by the interaction between the external magnetic field and the spin of the electrons. When the magnetization energy gained from the applied magnetic field approaches to the superconducting condensation energy, the Cooper pairs are broken and superconductivity is destroyed at the characteristic field given by the Clogston–Chandrasekhar7,8 or Pauli paramagnetic limit \(H_{\mathrm{p}} = \sqrt 2 \Delta _0/(g\mu _{\mathrm{B}}),\) where ∆0 = 1.76kBTc, g is the g factor, and μB as the Bohr magneton. The observation of the \(H_{{\mathrm{c}}2,\parallel }\) in our few-layer MoTe2 is summarized in Fig. 3 for different samples. Figure 3a displays the superconducting transition in 1Td-MoTe2 devices with various thicknesses under in-plane magnetic field measured at 0.3 K. Clearly, the superconductivity in 1Td-MoTe2 can persist to higher in-plane magnetic field as the thickness is lowered down. From Fig. 3b, c, it can be seen that the values of \(H_{{\mathrm{c}}2,\parallel }\) for the six typical samples with different thicknesses are all larger than Hp, in marked contrast to their bulk counterpart that is well below the Hp20. More generally, the magnetic field dependence of the sheet resistance of a 3-nm-thick MoTe2 sample is further measured at T = 0.3 K (T = 0.07Tc) with different in-plane tilted angle φ as shown in Fig. 4a (see Supplementary Fig. 8 for T = 0.3Tc, 0.6Tc, and 0.95Tc). Surprisingly, an emergent two-fold symmetry of \(H_{{\mathrm{c}}2,\parallel }\) has been observed in few-layer 1Td-MoTe2 with the \(H_{{\mathrm{c}}2,\parallel }\) beyond Hp in all the in-plane directions as shown in Fig. 4b. As the magnetic field tilted from x-axis (φ = 0°) to y-axis (φ = 90°) (the relation between the x- and y-axis and the crystal axis is shown in the Supplementary Fig. 9), we can see that the superconducting transition moves from higher field to lower field. From the low temperature (T = 0.07Tc) to the temperature near Tc, the observed two-fold symmetry \(H_{{\mathrm{c}}2,\parallel }\) stays robust. The phenomena were observed in another two samples with the thickness of 4.0 and 9.0 nm, respectively (Supplementary Figs. 10 and 11). Note that the observed \(H_{{\mathrm{c}}2,\parallel }\) still stayed above the Hp, while the in-plane anisotropy, \(H_{{\mathrm{c}}2,\parallel }(0^\circ )/H_{{\mathrm{c}}2,\parallel }(90^\circ )\), decreased from 1.56 to 1.16 with the thickness increased from 4 to 9 nm. For thicker samples, as superconductivity is also influenced by orbital effects, it is reasonable that the anisotropy in Hc2,|| is reduced. The emergent two-fold symmetry observation in \(H_{{\mathrm{c}}2,\parallel }\), which exceeds Hp at low temperatures, is in sharp contrast with the standard BCS prediction and becomes highly nontrivial.
Enhanced in-plane upper critical field in few-layer 1Td-MoTe2. a Magnetic field dependence of the resistance for 1Td-MoTe2 devices with various thicknesses from 2.7 to 9 nm. The resistances and magnetic fields are normalized by the normal state resistance Rn and the Pauli limit Hp, respectively. b Normalized in-plane upper critical field \(H_{{\mathrm{c}}2,\parallel }/H_{\mathrm{p}}\) as a function of sample thickness d. The purple dashed line is a guide to the eye. c Normalized upper critical field \(H_{{\mathrm{c}}2}/H_{\mathrm{p}}\) as a function of reduced T/Tc for few-layer MoTe2. The black dashed line denotes the Pauli limit Hp
Two-fold symmetry of in-plane upper critical field \(H_{{\mathrm{c}}2,\parallel }\). a Magnetic field dependence of the sheet resistance of the 3-nm-thick MoTe2 device at T = 0.3 K (T = 0.07Tc) with different in-plane tilted angles φ. b Angular dependence of the in-plane upper critical field normalized by Pauli limit \(H_{{\mathrm{c}}2,\parallel }/H_{\mathrm{p}}\). The experimental data are measured at 0.07Tc, 0.35Tc, 0.6Tc, and 0.95Tc. The theoretical value of \(H_{{\mathrm{c}}2,\parallel }\) at T = 0 K is plotted to show the two-fold symmetry consistent with the experimental data at low temperature. The dashed lines are the asymptotic curves to show the two-fold symmetry maintains at T = 0.35Tc, 0.6Tc, and 0.95Tc. c, Temperature dependence of the normalized in-plane spin susceptibility χS/χN along x and y direction, respectively. The inset is the polar plot for the zero temperature normalized spin susceptibility. d The first-principle calculations for the band structure of the bilayer 1Td-MoTe2. The path Y → Γ → M → X → Γ corresponds to the path (0, 2π/b) → (0, 0) → (2π/a, 2π/b) → (2π/a, 0) → (0, 0) in the Brillouin zone, with a and b the lattice constant along x and y direction, respectively. The bands are labeled by out-of-plane spin polarization <Sz>. e The in-plane spin texture at the Fermi level. The in-plane spin–orbit coupling (SOC) is highly anisotropic at the Γ pockets and the out-of-plane spin polarization dominates for the other two pockets. The color denotes the out-of-plane spin polarization <Sz>. f, g The temperature phase diagram for the superconducting state with anisotropic SOC under y- (f) and x- (g) oriented in-plane magnetic field, respectively
Similar anomalous enhancement of \(H_{{\mathrm{c}}2,\parallel }\) has been observed in layered superconductors in the dirty limit with strong SOC, which can be explained by spin–orbit scattering26,27,28,29,30,31 (SOS) effect using the microscopic Klemm–Luther–Beasley (KLB) theory30. However, the isotropic SOS potential30 in the KLB theory can only result in the isotropic Hc2,||, which is inadequate to interpret our anisotropic Hc2,|| data. The anisotropic SOS potential is one possibility that can lead to the observed anisotropy, but it requires the impurities to have the SOS potentials with a common two-fold symmetry. This is unfeasible to realize in real materials. Moreover, the observed in-plane anisotropy is very robust and can be reproducible in many samples of different batches with different thickness, indicating that the effect is intrinsic rather than depending on some anisotropic disorder scattering. On the other hand, it is known that inhomogeneous superconducting states, such as Fulde–Ferrell–Larkin–Ovchinnikov (FFLO) state32,33,34,35 or helical state36, can also enhance \(H_{{\mathrm{c}}2,\parallel }\), which have been observed in heavy Fermion superconductors32, organic superconductors37,38, and monolayer Pb films39. However, for superconductors induced by FFLO state, the theoretical value37 of \(H_{{\mathrm{c}}2,\parallel }/H_{\mathrm{p}}\) is in the range of 1.5~2.5, smaller than the observed value of 2.8 in our 2.7-nm-thick sample. Moreover, the FFLO characteristic upturn32,33,34 of \(H_{{\mathrm{c}}2,\parallel }\left( {T_{\mathrm{c}}} \right)\) at low temperature is missing in our experimental data as shown in Fig. 3c. Therefore, the FFLO state can be ruled out.
Recently in monolayer NbSe2 and gated MoS2 superconductor, the anomalous enhancement of \(H_{{\mathrm{c}}2,\parallel }\) beyond Hp has been interpreted by the Ising SOC protected Ising superconductivity mechanism2,3,4. A monolayer TMDCs with 2H structure possesses an out-of-plane mirror symmetry, whereas the in-plane inversion symmetry is broken. The mirror symmetry restricts the crystal field (ε) to the plane, while the inversion symmetry breaking can induce strong SOC splitting, giving rise to an effective Zeeman-like magnetic field \(H_{{\mathrm{so}}}\left( k \right) \propto k \times {\mathrm{\varepsilon }}\) (~100 T for gated MoS2 and ~660 T for NbSe2) with opposite out-of-plane direction at the K and –K valleys of the Brillouin zone40. Thus, the electron spins are pinned along the out-of-plane directions, and they are antiparallel to each other for electrons with opposite momenta; that is to say, spins of electrons of Cooper pairs are polarized by the large out-of-plane effective Zeeman field, and thus becomes insensitive to the external in-plane magnetic field, which results in the enhancement of in-plane \(H_{{\mathrm{c}}2,\parallel }\). However, in few-layer MoTe2, the absence of out-of-plane mirror symmetry gives rise to a more complicated SOC field beyond the Ising SOC.
In order to fully understand the experimental results in the few-layer 1Td-MoTe2, we focus on the 1Td-MoTe2 bilayer and construct an effective model from the symmetry point of view. The crystal structure of bilayer 1Td-MoTe2 is shown in Supplementary Fig. 9 and it has the same symmetry properties as bulk crystals where only the mirror symmetry in the y direction is preserved, while both the out-of-plane mirror symmetry and the in-plane mirror symmetry in the x direction are broken. Since the bilayer 1Td-MoTe2 respects the time reversal symmetry and the mirror symmetry in the y direction (Supplementary Fig. 9), the SOC at the Fermi level is restricted to an effective form \(H_{{\mathrm{soc}}} = {\mathbf{g}} \cdot {\mathbf{\sigma }}\), with \({\mathbf{g}} = \left( {x_1\sin \varphi ,y_1\cos \varphi ,z_1\sin \varphi } \right)\) in the first order approximation (the complete form is derived in the Supplementary Note 1), where φ is the polar angle for the Fermi wave vector. In the bilayer 1Td-MoTe2, the breaking of in-plane mirror symmetry in the x direction generates the out-of-plane Ising component gz, and the breaking of the out-of-plane mirror symmetry gives rise to the anisotropic in-plane components (gx,gy) of the SOC. As a result, all the three components of SOC exist in the bilayer 1Td-MoTe2. Similar to 2H structure TMDCs, gz strongly enhances in-plane \(H_{{\mathrm{c}}2,\parallel }\). Interestingly, the in-plane anisotropic SOC will give rise to a two-fold symmetry in in-plane \(H_{{\mathrm{c}}2,\parallel }\) as discussed below.
To quantitatively validate the asymmetric SOC enhanced upper critical field, we calculate the in-plane spin susceptibility (see Supplementary Note 2 for the calculation procedure). At the zero temperature limit, the superconductor-–normal metal transition driven by in-plane magnetic field occurs when \(\frac{1}{2}N_0{\mathrm{\Delta }}_0^2 + \frac{1}{2}\chi _{\mathrm{S}}H_\parallel ^2 = \frac{1}{2}\chi _{\mathrm{N}}H_\parallel ^2\), where the two sides of the equation correspond to the energy for the superconducting state and the normal state, respectively. Here χS and χN denote the spin susceptibility of the superconducting state and the normal state, respectively, and N0 is the density of states at the Fermi level. In the presence of the SOC, the superconducting spin susceptibility has a finite value as is seen from Fig. 4c. The enhancement of the in-plane Hc2 by the SOC field becomes understandable since \(H_{{\mathrm{c}}2}\left( \varphi \right) = \sqrt {\frac{{N_0}}{{\chi _{\mathrm{N}} - \chi _{\mathrm{S}}}}} {\mathrm{\Delta }}_0\)(Supplementary Note 3). The two-fold angle dependence of Hc2 is also consistently explained by the anisotropic in-plane spin susceptibility χS shown in the inset of Fig. 4c. In Fig. 4b, the in-plane \(H_{{\mathrm{c}}2}\left( \varphi \right)\) at zero temperature with two-fold symmetry is plotted with the SOC field at the Fermi level \({\mathbf{g}} = k_{\mathrm{B}}T_{\mathrm{c}}\left( {49\sin \varphi ,68\cos \varphi ,67\sin \varphi } \right)\) and fits well with the experimental data measured at the temperature T = 0.07Tc. To substantiate the validity of the asymmetric SOC field, we further carry out the first-principle calculation for the bilayer 1Td-MoTe2 and present the band structure as well as the anisotropic spin texture in Fig. 4d, e. In Fig. 4d, the spin bands splitting at the Fermi level agrees well with the estimated SOC field strength. In Fig. 4e, the in-plane spin texture consistently shows high anisotropy in all the Γ pockets and the other two pockets. The mean-field calculations for the pairing order parameter dependence on the in-plane magnetic field along x and y directions are further carried out to obtain the magnetic field–temperature phase diagram as shown in Fig. 4f, g. The Hc2 along x and y directions has strong anisotropy from zero temperature to near Tc and shows the same trend as the experimental data measured in high temperature in Fig. 4b.
In summary, we demonstrate that the properties of the superconducting state of 1Td-MoTe2 are strongly affected by a new type of asymmetric SOC which is in the order of tens of meV. Such strong SOC will create strong triplet pairing correlations in the material and may affect the pairing symmetry as well. Due to its large magnitude, the SOC may also have effects on the normal state spin transport of the system41,42,43. Importantly, the finding of the asymmetric SOC mostly depends on the symmetry of the crystal and similar asymmetric SOC are expected to exist in other 1Td structure TMDCs such as the recently well-studied 1Td-WTe2. Our findings on the new type of asymmetric SOC in 1Td-MoTe2 are expected to promote further studies on the exotic superconducting and normal state phenomena in TMDCs, and boost the possible applications in superconducting spintronics44,45,46 in TMDCs.
Methods
CVD synthesis of highly crystalline few-layer MoTe2
The few-layer MoTe2 samples were synthesized via CVD method inside a furnace with a 1-in. diameter quartz tube. Specifically, one alumina boat containing precursor powder (NaCl:MoO3 = 1:5) was put in the center of the tube. Si substrate with a 285-nm-thick SiO2 on top was placed on the alumina boat with polished side faced down. Another alumina boat containing Te powder was put on the upstream side of quartz tube at a temperature of about 450 °C. Mixed gas of H2/Ar with a flow rate of 15/80 sccm was used as the carrier gas. The furnace was ramped to 700 °C at a rate of 50 °C/min and held there for about 4 min to allow the growth of few-layer MoTe2 crystals. After the reaction, the temperature was naturally cooled down to room temperature. All reagents were purchased from Alfa Aesar with purity exceeding 99%.
Raman characterization
Raman measurements with an excitation laser of 532 nm were performed using a WITEC alpha 300R Confocal Raman system. Before the characterization, the system was calibrated with the Raman peak of Si at 520 cm−1. The laser power is <1 mW to avoid overheating of the samples.
TEM and STEM characterization
The STEM samples were prepared with a poly (methyl methacrylate) (PMMA)-assisted method. A layer of PMMA of about 1 µm thick was firstly spin coated on the wafer with MoTe2 samples deposited, and then baked at 180 °C for 3 min. The wafer was then immersed in NaOH solution (1 M) overnight to etch the SiO2 layer. After lift-off, the PMMA/MoTe2 film was transferred into distilled (DI) water for several cycles to rinse off the residual contaminants, and then it was fished by a TEM grid (Quantifoil Au grid). The transferred specimen was dried naturally in ambient environment, and then dropped into acetone overnight to dissolve the PMMA coating layers. The STEM imaging on MoTe2 were performed on a JEOL 2100F with a cold field-emission gun and a DELTA aberration corrector operating at 60 kV. A Gatan GIF Quantum was used to record the EELS spectra. The inner and outer collection angles for the STEM images (β1 and β2) were 62 and 129–140 mrad, respectively, with a convergence semi-angle of 35 mrad. The beam current was about 15 pA for the ADF imaging and EELS chemical analyses. All imaging was performed at room temperature.
Devices fabrication and transport measurement
Few-layer MoTe2 samples were directly grown on SiO2/Si substrate, which facilitate the device fabrication without the need for transferring the materials to an insulating substrate for transport measurement. After the growth of the sample, few-layer MoTe2 crystals with the thickness ranging from 2 to 30 nm were firstly identified by their color contrast under optical microscopy. Then, small markers were fabricated using standard e-beam lithography near the identified sample for subsequent fabrication of Hall-bar devices. To obtain a clean interface between the electrodes and the sample, in situ argon plasma was employed to remove the resist residues before metal evaporation without breaking the vacuum. The Ti/Au (5/70 nm) electrodes were deposited using an electron-beam evaporator followed by lift-off in acetone. Transport experiments were carried out with a standard four-terminal method from room temperature to 0.3 K in a top-loading Helium-3 refrigerator with a 15 T superconducting magnet. A standard low-frequency lock-in technique was used to measure the resistance with an excitation current of 10 nA. Angular-dependent measurements were facilitated by an in situ home-made sample rotator. Due to the high reactivity of oxygen and water vapor, the few-layer MoTe2 samples should be stored in an Ar-filled glove box to avoid deterioration once the device fabrication and transport measurement are finished.
Data availability
The data that support the finding of this study are available from the corresponding author on request.
References
Tinkham, M. Introduction to Superconductivity 2nd edn (McGraw-Hill, New York, 1996).
Saito, Y. et al. Superconductivity protected by spin–valley locking in ion-gated MoS2. Nat. Phys. 12, 144–150 (2016).
Lu, J. M. et al. Evidence for two dimensional Ising superconductivity in gated MoS2. Science 350, 1353–1357 (2015).
Xi, X. X. et al. Ising pairing in superconducting NbSe2 atomic layers. Nat. Phys. 9, 139–143 (2016).
Sohn, E. et al. An unusual continuous paramagnetic-limited superconducting phase transition in 2D NbSe2. Nat. Mater. 17, 504–508 (2018).
Barrera, S. C. et al. Tuning Ising superconductivity with layer and spin–orbit coupling in two-dimensional transitionmetal dichalcogenides. Nat. Commun. 9, 1427 (2018).
Clogston, A. M. Upper limit for critical field in hard superconductors. Phys. Rev. Lett. 9, 266–267 (1962).
Chandrasekhar, B. S. A note on the maximum critical field of high-field superconductors. Appl. Phys. Lett. 1, 7–8 (1962).
Zhou, B. T. et al. Ising superconductivity and Majorana fermions in transition-metal dichalcognides. Phys. Rev. B 93, 180501(R) (2016).
Wakatsuki, R. & Law, K. T. Proximity effect and Ising superconductivity in superconductor/transition metal dichalcogenide heterostructures. arXiv: 1604.04898.
Sharma, G. & Tewari, S. Yu–Shiba–Rusinov states and topological superconductivity in Ising paired superconductors. Phys. Rev. B 94, 094515 (2016).
Zhang, J. & Aji, V. Topological Yu–Shiba–Rusinov chain in monolayer transition-metal dichalcogenide superconductors. Phys. Rev. B 94, 060501 (2016).
Hsu, Y.-T. et al. Topological superconductivity in monolayer transition metal dichalcogenides. Nat. Commun. 8, 14985 (2016).
He, W. Y. et al. Nodal topological superconductivity in monolayer NbSe2. Commun. Phys. 1, 40 (2018).
Zhou, J. D. et al. Large-area and high-quality 2D transition metal telluride. Adv. Mater. 29, 1603471 (2017).
Zhou, J. D. et al. A library of atomically thin metal chalcogenides. Nature 556, 355–361 (2018).
Li, H. et al. From bulk to monolayer MoS2: evolution of Raman scattering. Adv. Funct. Mater. 22, 1385–1390 (2012).
Berkdemir, A. et al. Identification of individual and few layers of WS2 using Raman spectroscopy. Sci. Rep. 3, 1755 (2013).
Cho, S. et al. Te vacancy-driven superconductivity in orthorhombic molybdenum ditelluride. 2D Mater. 4, 021030 (2017).
Qi, Y. P. et al. Superconductivity in Weyl semimetal candidate MoTe2. Nat. Commun. 7, 11038 (2015).
He, R. et al. Dimensionality-driven orthorhombic MoTe2 at room temperature. Phys. Rev. B 97, 041410 (R) (2018).
Beasley, M. R. et al. Possibility of vortex-antivortex pair dissociation in two-dimensional superconductors. Phys. Rev. Lett. 42, 1165–1168 (1979).
Xu, C. et al. Large-area high-quality 2D ultrathin Mo2C superconducting crystals. Nat. Mater. 14, 1135–1141 (2015).
Wang, H. et al. High-quality monolayer superconductor NbSe2 grown by chemical vapourdeposition. Nat. Commun. 8, 394 (2017).
Hess, H. F. et al. Scanning-tunneling-microscope observation of the Abrikosov flux lattice and the density of states near and inside a fluxoid. Phys. Rev. Lett. 62, 214–216 (1989).
Prober, D. E. et al. Upper critical fields and reduced dimensionality of the superconducting layered compounds. Phys. Rev. B 21, 2717–2733 (1980).
Tedrow, P. M. et al. Critical magnetic field of very thin superconducting aluminum films. Phys. Rev. B 25, 171–178 (1982).
Maki, K. Effect of Pauli paramagnetism on magnetic properties of high-field superconductors. Phys. Rev. 148, 362–369 (1966).
Werthamer, N. R. et al. Temperature and purity dependence of superconducting critical field, Hc2. III. Electron spin and spin-orbit effects. Phys. Rev. 147, 295–302 (1966).
Klemm, R. A. et al. Theory of upper critical field in layered superconductors. Phys. Rev. B 12, 877–891 (1975).
Meservey, R. & Tedrow, P. M. Spin–orbit scattering in superconducting thin films. Phys. Lett. A 58, 131–132 (1976).
Matsuda, Y. et al. Fulde–Ferrell–Larkin–Ovchinnikov state in heavy fermion superconductors. J. Phys. Soc. Jpn. 76, 051005 (2007).
Fulde, P. & Ferrell, R. A. Superconductivity in a strong spin-exchange field. Phys. Rev. 135, A550–A563 (1964).
Larkin, A. I. & Ovchinnikov, Y. N. Nonuniform state of superconductors. Sov. Phys. JETP 20, 762–769 (1965).
Liu, C. X. Unconventional Superconductivity in bilayer transition metal dichalcogenides. Phys. Rev. Lett. 118, 087001 (2017).
Kaur, R. P. et al. Helical vortex phase in the noncentrosymmetric CePt3Si. Phys. Rev. Lett. 94, 137002 (2005).
Agosta, C. C. et al. Experimental and semiempirical method to determine the Pauli-limiting field in quasi-two-dimensional superconductors as applied to κ-(BEDT-TTF)2Cu(NCS)2: strong evidence of a FFLO state. Phys. Rev. B 85, 214514 (2012).
Shimahara, H. Fulde–Ferrell–Larkin–Ovchinnikov state in a quasi-two-dimensional organic superconductor. J. Phys. Soc. 66, 541–544 (1997).
Sekihara, T. et al. Two dimensional superconducting state of monolayer Pb films grown on GaAs(110) in a strong parallel magnetic field. Phys. Rev. Lett. 111, 057005 (2013).
Kormányos, A. et al. Monolayer MoS2: trigonal warping, the Γ valley, and spin-orbit coupling effects. Phys. Rev. B 88, 045416 (2013).
Qian, X. et al. Quantum spin Hall effect in two-dimensional transition metal dichalcogenides. Science 346, 1344 (2014).
Wu, S. et al. Observation of the quantum spin Hall effect up to 100 kelvin in a monolayer crystal. Science 359, 76 (2018).
Tang, S. et al. Quantum spin Hall state in monolayer 1T'-WTe2. Nat. Phys. 13, 683 (2017).
Linder, J. & Robinson, J. W. A. Superconducting spintronics. Nat. Phys. 11, 307 (2015).
Weber, A. P. et al. Spin-resolved electronic response to the phase transition in MoTe2. Phys. Rev. Lett. 121, 156401 (2018).
He, W. Y. and Law, K. T. Novel Magnetoelectric Effects in Gyrotropic Superconductors and the Case Study of Transition Metal Dichalcogenides. ArXiv Preprint at https://arxiv.org/abs/1902.02514 (2019)
Acknowledgements
We thank Xianxin Wu, Heng Fan, Jianlin Luo, Hsin Lin, and Jiangping Hu for stimulating discussions. This work has been supported by the National Basic Research Program of China from the MOST under the grant nos. 2016YFA0300600 and 2015CB921101, by the NSFC under the grant nos. 11527806 and 11874406. Research in Singapore was funded by the Singapore National Research Foundation under NRF award number NRF-RF2013-08, MOE Tier 2 MOE2016-T2-2-153, MOE2015-T2-2-007, and A*Star QTE program. J.L. and K.S. acknowledge JST-ACCEL and JSPS KAKENHI (JP16H06333 and P16382) for financial support. J.L. acknowledges financial support from the Hong Kong Research Grants Council (Project No. ECS26302118). K.L. thanks the support of the Croucher Foundation and HKRGC through grants C6026-16W, 16309718, 16307117, and 16324216. This research is partially supported by the Science, Technology, and Innovation Commission of Shenzhen Municipality (No. ZDSYS20170303165926217).
Author information
Authors and Affiliations
Contributions
J.C., P.L., J.Z., and W.-Y.H. contributed equally to this work. G.L. and Z.L. conceived and supervised the project, and designed the experiments; J.C., P.L., and X.H. fabricated the devices and carried out the transport measurements; J.Z. synthesized the sample; J.Y., J.F., Z.J., X.J., F.Q., and Z.G.C. made the transport measurement setup. J.L. and K.S. did the measurements and data analysis on STEM; W.-Y.H. and K.T.L. predicted the presence of the anisotropic SOC and its experimental implications. J.L. performed the first-principle calculations. G.L. prepared the manuscript with input from Z.L., J.L., J.Z., W.-Y.H., K.T.L., J.L., C.Y., and L.L. All the authors discussed the results and commented on the manuscript.
Corresponding authors
Ethics declarations
Competing interests
The authors declare no competing interests.
Additional information
Journal peer review information: Nature Communications thanks Hadar Steinberg and other anonymous reviewer(s) for their contribution to the peer review of this work. Peer reviewer reports are available
Publisher’s note: Springer Nature remains neutral with regard to jurisdictional claims in published maps and institutional affiliations.
Supplementary information
Rights and permissions
Open Access This article is licensed under a Creative Commons Attribution 4.0 International License, which permits use, sharing, adaptation, distribution and reproduction in any medium or format, as long as you give appropriate credit to the original author(s) and the source, provide a link to the Creative Commons license, and indicate if changes were made. The images or other third party material in this article are included in the article’s Creative Commons license, unless indicated otherwise in a credit line to the material. If material is not included in the article’s Creative Commons license and your intended use is not permitted by statutory regulation or exceeds the permitted use, you will need to obtain permission directly from the copyright holder. To view a copy of this license, visit http://creativecommons.org/licenses/by/4.0/.
About this article
Cite this article
Cui, J., Li, P., Zhou, J. et al. Transport evidence of asymmetric spin–orbit coupling in few-layer superconducting 1Td-MoTe2. Nat Commun 10, 2044 (2019). https://doi.org/10.1038/s41467-019-09995-0
Received:
Accepted:
Published:
Version of record:
DOI: https://doi.org/10.1038/s41467-019-09995-0
This article is cited by
-
Vortex-driven superconducting diode effect in asymmetric multilayer heterostructures
Communications Physics (2026)
-
Enhanced Ising superconductivity in a unicompositional bulk 4Hb-TaS2 superlattice via pressure
npj Quantum Materials (2025)
-
Nematic Ising superconductivity with hidden magnetism in few-layer 6R-TaS2
Nature Communications (2024)
-
Metal telluride nanosheets by scalable solid lithiation and exfoliation
Nature (2024)
-
Topological superconductivity in monolayer Td−MoTe2
Communications Physics (2024)






