Abstract
The industrial synthesis of ammonia (NH3) using iron-based Haber-Bosch catalyst requires harsh reaction conditions. Developing advanced catalysts that perform well at mild conditions (<400 °C, <2 MPa) for industrial application is a long-term goal. Here we report a Co-N-C catalyst with high NH3 synthesis rate that simultaneously exhibits dynamic and steady-state active sites. Our studies demonstrate that the atomically dispersed cobalt weakly coordinated with pyridine N reacts with surface H2 to produce NH3 via a chemical looping pathway. Pyrrolic N serves as an anchor to stabilize the single cobalt atom in the form of Co1-N3.5 that facilitates N2 adsorption and step-by-step hydrogenation of N2 to *HNNH, *NH-NH3 and *NH2-NH4. Finally, NH3 is facilely generated via the breaking of the *NH2-NH4 bond. With the co-existence of dynamic and steady-state single atom active sites, the Co-N-C catalyst circumvents the bottleneck of N2 dissociation, making the synthesis of NH3 at mild conditions possible.
Similar content being viewed by others
Introduction
NH3 is vital for the production of artificial fertilizer1,2. Over Fe-based-derived catalysts, the operation conditions of the Haber–Bosch process are harsh (400–600 °C, 20–40 MPa), and the energy input inevitably large3. The dissociation of the extremely stable N≡N triple bond (945 kJ/mol) is the bottleneck4. Significant efforts have been put in to develop high-performance catalysts to lower the dissociation energy of N2, but only a few can bypass the bottleneck via shifting the sluggish N2 dissociation to the formation of NHx (where x = 0–3)1,4,5. Through theoretical studies, Liu et al.6 demonstrated that if metal Fe is in the form of individual Fe3 clusters rather than in groups of C7 sites, there is N2 hydrogenation rather than direct N2 dissociation that follows the Langmuir–Hinshelwood (L–H) mechanism. The indirect dissociation of the weakened *N-NH2 bond occurs much more easily following the Eley–Rideal (E–R) mechanism. Nevertheless, there is no experimental evidence to validate that there is preferential hydrogenation of *N2 to *N-NHx (x = 2 or 4, and “*” means adsorbed) except those of the cobalt molybdenum system7. It is not easy to investigate the E–R mechanism over traditional catalysts because the reported active sites of Ru- and/or Co-based catalysts for NH3 synthesis exist in the form of nanoclusters or nanoparticles, and the cooperation of five metal atoms8 makes the energy barriers of L–H mechanism smaller than those of E–R mechanism6.
The development of single-atom catalysis (SAC)9,10,11,12, in which catalytically active metal is exclusively dispersed as single atoms, provides a good entry to make N2 dissociation impossible, while N2 hydrogenation feasible. It was recently reported that the coordination of transition metals with N could result in dramatic modification of surface electronic properties, such as negative charge density and d-band center as well as electron transfer to the antibonding p-orbitals of N213. According to Catlow and coworkers14, the presence of surface N defects on cobalt molybdenum catalysts could enhance NH3 synthesis activity at mild conditions. In general, the binding of a catalyst to N species should not be too strong to avoid catalyst poisoning or too weak to deny activation by H215. Taking into consideration the positive factors of single atoms and surface N defects as well as the excellent adsorption ability of graphitized carbon materials, we synthesized carbon supported N-anchored Co single atom catalyst of high BET surface area to bypass the bottleneck of N2 dissociation, and achieved superior NH3 synthesis activity under mild conditions. On the other hand, it is pivotal to clarify the structure of the single-atom active sites and to identify the related N-involved pathway for the design of catalysts that are efficient for NH3 production at mild conditions. Currently, direct identification and quantitative description of such N-involved active sites under realistic conditions are lacking. With this in mind, we proceeded to investigate the dynamic of single atom sites during NH3 synthesis by a suite of in situ experimental techniques.
Here we show a nitrogen-anchored Co single-atom catalyst (Co–N–C) with dual active sites for efficient and stable NH3 synthesis under mild conditions for the first time, to the best of our knowledge. The single atom Co-based catalyst shows high NH3 synthesis rate of 116.35 mmolNH3 gCo−1 h−1. The use of high-angle annular dark field (HAADF) imaging of aberration-corrected scanning transmission electron microscopy (AC-STEM), operando X-ray absorption spectroscopy (XAS), and in situ X-ray photoemission spectroscopy (XPS), together with 15N2 isotopic-labeling experiments and theoretical simulations, allows us to answer two fundamental questions: (1) What is the intrinsic nature of the active sites on single atom Co–N–C under NH3 synthesis conditions? (2) Does N in the case of Co–N–C take part in the NH3 production? If so, what kind of N species can participate in NH3 production and how to recycle the N species?
Our studies reveal that the atomically dispersed Co that is weakly coordinated with pyridine N reacts with adsorbed H2 to form NH3, leaving behind an anionic N vacancy. Then, the catalyst can be replenished with N species through the adsorption of gas-phase N2. In other words, the generation of NH3 is via a chemical looping pathway, revealing a reliable process in which single Co sites in the form of dynamic Co–Nx (0 < x ≤ 1.5) are involved in NH3 production. On the other hand, the single Co sites in the form of steady-state Co1–N3.5 are active for N2 adsorption and hydrogenation, as well as for the subsequent formation of NH3 via the breaking of *NH2–NH4 bond following the E–R mechanism.
Results
Confirmation of cobalt atomic dispersion
According to the results of inductively coupled plasma atomic emission spectroscopy (ICP-AES) and element analyses (Supplementary Table 1), the loading of Co is 3.73 wt% and the N/Co molar ratio is 6.04, and the Co−N coordination number (CN) is 5 as confirmed by EXAFS; and the sample is herein designated as Co–N–C. The surface N/Co atomic ratio of Co–N–C based on XPS data is 6.10 (Supplementary Table 1), which is close to the bulk value, implying homogeneous distribution of Co throughout the catalyst. To explore the specific role of single Co atoms, Co-free nitrogen-doped carbon (denoted as N–C) was prepared for comparison. The scanning electron microscopy (SEM) (Supplementary Fig. 1) and transmission electron microscopy (TEM) (Fig. 1a) images of Co–N–C show uniform hollow spheres (mean diameter ca. 130 nm), which are similar to those of N–C. The high-resolution (HR)-TEM images do not show any sight of Co nanoclusters (Fig. 1b), implying that the cobalt species must be highly dispersed as tiny clusters and/or single atoms that are undetectable by or invisible to the HR-TEM technique. The aberration-corrected STEM images of Co–N–C (Fig. 1c, d) show individual bright dots. They represent the presence of Co atoms which are much heavier than the C and N atoms. The individual Co atoms uniformly dispersed throughout. Single Co atoms are repeatedly observed in different regions of Co–N–C (Supplementary Fig. 2a–c), and the statistical results of Co size in terms of ~250 particles (Supplementary Fig. 2c) show that the particle size of these Co species is ~1.3 Å (Supplementary Fig. 2d), further confirming that Co predominantly exists as single atoms rather than in the form of small clusters or nanoparticles. The HAADF-STEM mappings (Fig. 1e) confirm the existence of C, N and Co, as well as the homogeneous distribution of Co atoms throughout the catalyst.XRD patterns (Supplementary Fig. 3a) of Co–N–C and N–C are similar, and the two weak peaks at 2θ of 22.8° and 44.0° can be attributed to the (002) plane of graphitic and (100) plane of disordered carbon10,16, respectively (Supplementary Fig. 3). In comparsion with CoPc (Supplementary Fig. 3b), no peaks assignable to Co or CoPc species can be found in the XRD pattern of Co–N–C, in agreement with the fact that the Co entities are in sub-nanometric scale. Raman spectrum of Co–N–C (Supplementary Fig. 4) displays G and D bands at 1333 and 1596 cm−1, respectively, corresponding to the characteristic of mesoporous carbonaceous flakes17.
a TEM, scale bar: 200 nm; b HR-TEM, scale bar: 10 nm; and c, d Aberration-corrected STEM images; scale bar: 5 nm of c and 2 nm of d; e HAADF-STEM images of Co–N–C; STEM-mapping of N-K; C-K; Co-K, scale bar: 50 nm; f Normalized Co K-edge XANES spectra (inset is the magnified image of f in the range of 7718–7722 eV) and g Co K-edge EXAFS spectra of Co–N–C and references.
To probe the state of Co species at atomic level, ex situ X-ray absorption near-edge structure (XANES) and extended X-ray absorption fine structure (EXAFS) analyses were conducted. The pre-edge peak for cobalt phthalocyanine (CoPc) at 7716.5 eV is assigned to the forbidden 1s → 3d transition. This peak originates from the Co−N4 coordination that corresponds to a planar central symmetry structure (D4h)10,18,19. Compared with the CoPc reference (Fig. 1f and Supplementary Fig. 5), Co–N–C is obviously lower in pre-edge peak intensity (feature b), indicating partial disruption of the planar central symmetry upon heat treatment20,21. The position of the absorption edge could be used as an indicator to estimate the valence states of Co species. According to the magnified XANES results (Fig. 1f), the absorption edge position of Co–N–C is located between that of CoO and Co(NH3)6Cl3, suggesting that the single Co atom carries positive charge with valence state between +2 and +3.
The oxidation state of surface Co was confirmed by XPS analysis (Supplementary Fig. 6). Before Ar+ etching, the binding energies of Co2p3/2 peak in the cases of fresh CoPc and Co–N–C are 780.9 and 780.8 eV, respectively, which are higher than that of Co0 (778.1 eV) and Co2+ (779.2 eV), and only slightly lower than that of Co3+ (781 eV)10, suggesting that the dominant states of Co in both fresh samples are +3 (Supplementary Fig. 6a). After Ar+ etching for 60 s under vacuum (Supplementary Fig. 6b), the binding energy of the Co2p3/2 peak of CoPc is 779.05 eV, which is close to that of Co2+ species (779.20 eV). As for Co–N–C, the binding energy of the Co2p3/2 peak is 780.7 eV, suggesting that the dominant state of Co is +3. The Fourier-transformed (FT) k3-weighted EXAFS spectrum of Co–N–C exhibits a distinct peak at 1.4 Å that matches well with the shell of Co–N (Fig. 1g)18. Since there is no detection of Co–Co coordination peak in comparison with Co foil reference (Fig. 1g), the absence of metallic clusters can be confirmed. Based on the above details, it is deduced that the single Co atoms of Co–N–C located in symmetric coordination and stabilized by N atoms are highly dispersed on the N-doped carbon hollow sphere.
Moreover, the Fourier transform EXAFS curves and the fitting results are shown in Supplementary Fig. 7 and Supplementary Table 2. The second weak peak at 2.3 Å is attributable to the replacement of the second shell of Co–N18. The CN over Co−N is 5. Specifically, the peaks at 1.4 and 2.3 Å can be associated with Co–N CN of around 3.5 and 1.5 (Supplementary Table 2), respectively. According to the nitrogen adsorption–desorption isotherm of Supplementary Fig. 8, the Brunauer–Emmett–Teller (BET) surface area of Co–N–C is 356 m2 g−1, and the average pore diameter is ca. 7.64 nm (Supplementary Table 1).
Ammonia synthesis performance
Co–N–C and N–C were evaluated for NH3 synthesis in a feed with composition of 25%N2–75%H2 at WHSV of 60,000 mL g−1 h−1. The NH3 synthesis rate over Co–N–C at 250–350 °C is much higher than that of N–C (Fig. 2a). Hence, it is reasonable to deduce that a proper assembly of single-atom Co center and nitrogen and/or carbon is required for effective NH3 synthesis. To further probe the nature of the active sites in Co–N–C, nitrogen-free cobalt-doped carbon (marked as Co/C, the corresponding structure and textural properties are described in Supplementary Figs. 3 and 8, respectively) was synthesized with Co content of 3.80 wt% as confirmed by ICP-AES analysis (Supplementary Table 1). At 350 °C and 1 MPa, NH3 synthesis rate over Co–N–C is 4.34 mmolNH3 gcat−1 h−1, which is 11-fold and 17-fold that of Co/C and N–C, respectively. The surface-area-normalized NH3 synthesis rates were calculated and compared in Supplementary Fig. 9. A NH3 synthesis rate of 3.36 × 10−6 mmol m−2 s−1 was obtained at 350 °C and 1 MPa on Co–N–C, which is 12-fold that of Co/C and 26-fold that of N–C, further confirming that the single Co sites in the form of Co–Nx are responsible for the superior catalytic performance of Co–N–C.
a NH3 synthesis rate for Co–N–C, Co/C, and N–C under 1 MPa and b NH3 synthesis rate of selected catalysts at 350 °C under 1 MPa (The data points and error bars represent the average and standard deviation based on multiple measurements on the same catalyst at different times over different batches of samples). c Time course of NH3 synthesis rate at 350 °C over Co–N–C and d Arrhenius plots.
In Fig. 2b, the NH3 synthesis rates of selected Co-based catalysts at 350 °C and 1 MPa are compared, and Co–N–C is much superior to the conventional Co catalysts. In terms of NH3 synthesis rate per gram of cobalt, it is 116.35 mmolNH3 gCo−1 h−1 over Co–N–C at 350 °C, which is much superior to those of the traditional Co-based catalysts displayed in Supplementary Table 3. Additionally, NH3 synthesis rate over Co–N–C exhibits an approximately linear increase with increasing pressure, from 2.92 to 12.91 mmolNH3 gcat−1 h−1 when the pressure was increased from 0.2 to 5.0 MPa at 350 °C (Supplementary Fig. 10). To evaluate the intrinsic activity of Co–N–C, we estimated the turnover frequency (TOFCo), which indicates the activity of a catalyst on a per-Co-active-site basis. Surprisingly, TOFCototal and TOFCosur of Co–N–C reaches 1.91 × 10−3 and 4.54 × 10−3 s−1 at 350 °C under 1 MPa (Supplementary Fig. 11), respectively.
The stability of the single-atom catalyst is a significant factor for practical use, and we tested the thermal stability of Co–N–C at 350 °C for 102 h and observed no obvious deactivation (Fig. 2c). During NH3 synthesis at either 350 or 400 °C for 100 h under 1 MPa, the outlet CH4 concentration is negligibly low (Supplementary Fig. 12), suggesting that under the adopted conditions the carbon support is highly stable. The structure of the used Co–N–C catalyst was examined by AC-STEM, and the images reveal atomic dispersion of Co and there is no obvious formation of nanoparticles or clusters (Supplementary Fig. 13). The excellent stability of the single-Co-atom sites in Co–N–C can be attributed to the coordination between the isolated Co atoms and adjacent N atoms. The XRD pattern (Supplementary Fig. 14) of used Co–N–C catalyst shows no significant change, indicating the absence of bulk transformation. Evidently, Co–N–C is a stable catalyst active for NH3 synthesis under mild conditions. Kinetic analysis was performed over Co–N–C to clarify the reaction mechanism. The apparent activation energy (Ea) obtained in the 300–375 °C range at 1 MPa is 50 ± 7 kJ/mol (Fig. 2d), which is similar to those of Co–LiH (40–60 kJ/mol)22 and Co/C12A7:e− (~50 kJ/mol)23. The researchers reported that the dissociation of N≡N triple bonds is not a rate-limiting step over Co–LiH and Co/C12A7:e−, owing to the much lower Ea values in comparison with those of traditional Co-based catalysts (Supplementary Table 3). To be noted, in Ar-TPD-MS investigation conducted over Co–N–C after NH3 synthesis (Supplementary Fig. 15), the primary desorption species are *N2H and *N2H2 rather than *NH or *NH2, implying that N2 is preferentially hydrogenated without undergoing direct dissociation on the single-atom Co–N–C catalyst, as demonstrated by DFT calculation. Accordingly, the Ea value over Co–N–C is not noticeably high, indicating that N2 hydrogenation can take place under mild conditions.
To find out whether the N species of Co–N–C could be involved in NH3 synthesis, we exposed Co–N–C to 10%H2/Ar at 350 °C and 1 MPa, and the cumulative amount of NH3 as a function of time is provided in Supplementary Fig. 16. Obviously, there is the formation of NH3 which comes to a steady state after 6 h. The amount of NH3 formed is 1.12 mmolNH3 per gram of catalyst, equivalent to the consumption of 29.3% of the nitrogen in Co–N–C. This observation confirms that there are N species in Co–N–C that can be hydrogenated to NH3 plausibly by a process of chemical looping.
In situ XANES and EXAFS
The intrinsic mechanism of NH3 synthesis could be disclosed by cutting edge operando techniques. Using a home-built cell (Supplementary Fig. 17), we performed operando XANES (Supplementary Fig. 18) and EXAFS (Supplementary Figs. 19 and 20) measurements to unveil the nature of the single atom Co active sites during NH3 synthesis. With the proceed of reaction from 0 to 60 min in the presence of 10%H2/He (Supplementary Fig. 18a) or N2–H2 mixture (VN2:VH2 = 1:3, Supplementary Fig. 18b), the Co K-edge XANES profiles are almost the same. Moreover, the Co K-edge EXAFS curve fitting of Co–N–C demonstrates the lack of Co–Co coordination in either 10%H2/He (Supplementary Fig. 19a–d) or N2–H2 mixture (Supplementary Fig. 20) atmosphere, further confirming the absence of metallic clusters during NH3 synthesis. The observation is consistent with the lack of change in the HAADF-STEM images and XRD patterns of the fresh and used Co–N–C samples. Moreover, the CN value of the first Co–N shell in Co–N–C is still 3.5 with the proceed of reaction in the presence of either 10%H2/He or N2–H2 mixture (Supplementary Table 2), further demonstrating that the single atom Co1–N3.5 active sites can remain stable in NH3 synthesis atmosphere. To be noted, the CN of second Co–N shell varies in the range of 0.9–1.5 upon exposure to 10%H2/He. Because the fitting error by itself was about 20%, it is meaningless to make any deduction based on the change of CN. Overall, the results suggest that the CN remains stable under the NH3 synthesis atmosphere.
H2 pulse and isothermal isotope-labeling experiments
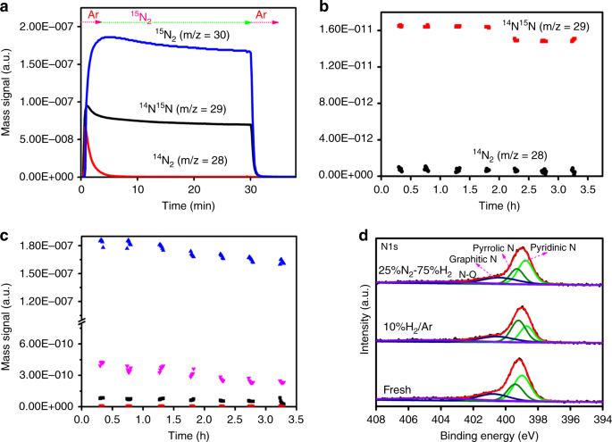
In order to explore the involvement of N species during NH3 production, H2-pulsing experiment and isothermal surface reaction (ISR) were performed at 350 °C in the adopted temperature range of NH3 synthesis (see “Methods” section for details). During the 40 pulses of H2 (Fig. 3a), the signal of NH3 formation synchronized that of H2 introduction, suggesting that the hydrogenation of the N species in Co–N–C is facile. In the ISR experiment in a feed of 10%H2/Ar (Fig. 3b), the NH3 signal decreases with time as a result of N consumption. With the purging of the Co–N–C sample by Ar for 4 h and subsequent treatment in N2 atmosphere for 2 h, NH3 signal can be almost restored to the previous value upon the feeding of 10%H2/Ar. On the basis of the above results, we conclude that a Co–N–C sample exhausted in N species can be replenished by gas-phase N2, it is confirmed that the weak-coordination of N at the atomically dispersed Co sites is essential for NH3 production by means of chemical looping using H2. To find out whether the N2 from the gaseous phase used for nitrogen replenishment is involved in the subsequent formation of NH3, a similar ISR was performed using isotopic 15N2 (99% 15N2, 30 min) for the replenishment (Fig. 3c). Upon the introduction of 10%H2/Ar, there is the detection of 15NH3 (H2O signal was deducted from m/z = 18, for more details, see “Methods” section), unequivocally confirming that the replenished N is entirely from 15N2.
a H2 pulse results at 350 °C, b isothermal surface reaction profiles; and c isothermal 15N isotopic labeling results over Co–N–C at 350 °C.
15N2 isotopic exchange and in situ XPS experiments
To monitor the transformation of nitrogen in Co–N–C, isothermal 15N2 isotopic exchange (INIE) investigation was conducted at 350 °C. As shown in Fig. 4a, upon the introduction of 15N15N, there is the detection of 15N14N and 14N14N, with the former constantly higher than the latter, undoubtedly confirming that there are nitrogen atoms in Co–N–C that are exchangeable. It should be emphasized that the exchanged N atoms in Co–N–C after 30 min at 350 °C is ca. 30% (more details about the number of N atoms exchanged (Ne) in the case of Co–N–C are provided in Supplementary Information), which is close to the amount of N atoms involved in NH3 production via chemical looping (ca. 29.3%, Supplementary Fig. 16). The exchange could be either homomolecular (14N2(g) + 15N2(g) ↔ 214N15N(g)) or heterolytic (15N2(g) + 14N(s) → 14N15N(g) + 15N(s))24. That the percentage of the 15N gas-phase atomic fraction remains constant with the advance of reaction is indicative of the homomolecular route. The facile 15N14N production reveals that the isotopically exchangeable N species in Co–N–C are active, and can be hydrogenated to NH3 via chemical looping. It is envisioned that the coordination between this kind of N species and the atomically dispersed Co is not too strong so that they can undergo isotopic exchange with gas-phase 15N2.
Isotopomer distribution of a 15N2 isotopic exchange experiment at 350 °C in the feeding of 15N2, b 15N2 isotopic exchange experiment at 350 °C in the feeding of 15N2 and H2 over Co–N–C at 350 °C, c 15N2 isotopic-labeling experiment over Co–N–C at 350 °C in the presence of 15N2 and H2 (blue dots are the signal of m/z = 30 (15N2); magenta dots are the signal of m/z = 18 (15NH3); black dots are the signal of m/z = 17 (15NH2) and red dots are the signal of m/z = 16 (14NH2), d XPS spectra of N1s over Co–N–C under different exposure atmospheres.
In the isothermal 15N2 isotopic-labeling experiment (INILE), the Co–N–C catalyst was exposed to a mixture of 15N2 and H2 at 350 °C, and the results are illustrated in Fig. 4b, c. There is the detection of 14N14N (m/z = 28) and 14N15N (m/z = 29) (Fig. 4b) as well as 15NH3 (Fig. 4c, m/z = 18, H2O signal was deducted from m/z = 18; for more details, see “Methods” section), and their amount decrease with time, in line with the formation of 14N15N (i.e., 14N2(g) + 15N2(g) ↔ 214N15N(g)) and 15NH3 (i.e., 15N2 + 3H2 ↔ 215NH3). The m/z = 16 signal could be due to 14NH2 or 15NH, and because its intensity is almost constant when there is a decrease of 15N2, it is reasonable to assign it to 14NH2. As for the m/z = 17 signal, its intensity changes with the change of 15N2 concentration (Supplementary Fig. 21); it is hence reasonable to assign it to 15NH2. Similar to the results of ISR experiment, the formation of 14NH3 is a result of chemical looping reaction involving the consumption of a certain amount of N species in Co–N–C. It is noted that the m/z = 29 (14N15N) signal is much larger than the m/z = 17 (14NH3) or m/z = 18 (15NH3) signal. Referring to these results and those of INIE investigation, if one assumes that N2 dissociation is the rate-determining step, the resulted N species should immediately react with H to produce NH3 rather than undergo isotopic exchange to produce a high amount of 14N15N. It is hence deduced that N2 dissociation is no more the bottleneck of NH3 synthesis, but the formation of *N2H2 bond is possibly the rate-determining step, as demonstrated by DFT calculation.
We chose in situ XPS analysis as a complimentary technique to acquire surface information to determine what kind of surface N species over Co–N–C would take part in NH3 production via the chemical looping pathway. Figure 4d shows the N1s spectrum of fresh Co–N–C and those of the catalyst exposed to 10%H2/Ar and 25%N2−75%H2. For the fresh Co–N–C sample, four N species can be identified (detailed parameters provided in Supplementary Table 4). They are graphitic (400.7 eV), pyrrolic (399.4 eV), pyridinic (398.9 eV), and N-oxide (404.3 eV)25. The surface composition of pyridinic N species is 38.9% (Supplementary Table 4). The N1s spectrum recorded after exposure to 10%H2/Ar at 350 °C for 2 h shows a surface pyridinic N composition of 24.4%. In the case of exposing the catalyst to 25%N2–75%H2 at 350 °C for 2 h, the surface composition of pyridinic N species returns back to 38.7%. These results indicate that surface pyridinic N can be consumed and then regenerated under synthetic NH3 atmosphere.
According to DFT calculation, the results of coordination affinity (Supplementary Fig. 22) illustrate that pyrrolic N and pyridinic N both can anchor single Co atoms. Interestingly, the bond length of pyridinic N interaction with Co (dCo–N = 3.36 Å) is much larger than that of pyrrolic N interaction with single atom Co (dCo–N = 2.14 Å, Supplementary Table 5), indicating pyridinic N interaction with Co is much weaker than the latter. The bond length of H–H is stretched from 0.75 Å of gas-phase H2 to 2.31 Å upon adsorption on the surface pyridinic N species (Supplementary Table 5), and considering that H2 adsorption energies on graphitic N, pyrrolic N and pyridinic N are 0.84, 0.43, and −1.98 eV, respectively (Supplementary Table 5), it is deduced that surface pyridinic N species could be easily activated by gas-phase H2. The adsorbed H2 spontaneously dissociated into two hydrogen atoms, one bonded to pyrrolic N and the other coordinated with the Co atom (Supplementary Fig. 23), and the overall process is exothermic (−2.87 eV). Based on the results of 15N2 isotopic labeling and in situ XPS experiments as well as those of DFT calculation, it is clear that the pyridinic N interacting weakly with a Co atom could participate in the dynamic cyclic reaction. As confirmed by isothermal 15N2 isotopic exchange, ca. 30% of the N atoms in Co–N–C are exchangeable, and therefore it can be inferred that x of the above dynamic Co–Nx site is in the range of “0 < x ≤ 1.5” during NH3 synthesis process. Furthermore, according to the AC-STEM and in situ EXAFS results, it is deduced that the pyrrolic N serves to anchor a single Co atom, and the stabilized Co sites in the form of Co1–N3.5 remains active in the process of NH3 synthesis.
DFT calculations
The production of NH3 can follow either the dissociative (L–H mechanism) or associative route (E–R mechanism)4,6,13,26. DFT calculation was performed to understand the pathway of NH3 synthesis over Co–N–C. The steps to construct the model of Co–N–C for NH3 synthesis is shown in Supplementary Fig. 24 (please see Supporting Information for more details), and it can be observed that the Co atom is located at the center of phthalocyanine and coordinates with the N-dopant site on the carbon sphere. The changes of free energy for the formation of NH3 and the detailed reaction steps of N2 + 3H2 → 2NH3 reaction on Co–N–C are illustrated in Fig. 5a and Supplementary Fig. 25, respectively. Notably, it is very difficult to dissociate N2 directly on a single Co atom, while the hydrogenation of *N2 to **NHNH on single Co sites in the form of steady-state Co1–N3.5 is feasible (Fig. 5a). The theoretical outcomes are in agreement with the Ar–TPD–MS result that N2 molecules are first adsorbed on single Co sites in the form of Co1–N3.5, and then directly activated by hydrogen species to form *NHNH intermediates rather than undergoing direct dissociation to N atoms. In the present study, the ΔG values for the hydrogenation of *NHNH to *NH–NH3 and that of *NH–NH3 to *NH2–NH4 on single atom Co1–N3.5 sites is −2.608 and −2.411 eV, respectively. Finally, *NH2–NH4 can transform into two NH3 molecules with ΔG value of −0.769 eV (Fig. 5a). The NH3 synthesis pathway over the single Co sites in the form of steady-state Co1–N3.5 is illustrated in Fig. 5b. In the absence of B5 sites, the single atom Co1–N3.5 sites enable N2 adsorption and hydrogenation, and then NH3 is much easily generated via the breaking of *NH2–NH4 bond. Following the E–R mechanism in such a way, the bottleneck of direct N≡N dissociation is bypassed and NH3 synthesis is made possible at mild conditions.
a Changes of free energy for the formation of NH3 on Co–N–C; b NH3 synthesis pathway on single Co sites in the form of steady-state Co1–N3.5 (A represents the active sites); c NH3 production on dynamic cyclic sites via chemical-looping pathway (x is in the range of 0 < x ≤ 1.5 and VN* stands for an anionic nitrogen vacancy; herein CoN6/C only represents the molar ratio of each element in the Co–N–C catalyst).
On the basis of the results of H2 pulsing experiment, 15N2 isotopic labeling and in situ XPS investigations, together with those of DFT calculation, we propose a dynamic cyclic reaction pathway for NH3 production via chemical looping. As shown in Fig. 5c, the pyridine N weakly coordinated to a single Co atom reacts with adsorbed H2 to produce NH3 and simultaneously leaving behind an anionic N vacancy. The N atoms in Co–N–C are exchangeable and can be replenished by gaseous N2 upon removal. The cycle of replenishment is (i) N2 adsorption on anionic nitrogen vacancies, and (ii) N2 from occupied VN* are fixed to bond with Co sites by donating electrons to the unoccupied d orbitals of Co1,27, hence restoring the initial state of Co–N–C. The dynamic cyclic sites of Co–N–C and the steady-state reaction of Co1–N3.5 are routes for energy-efficient synthesis of NH3 under mild conditions.
Discussion
To summarize, we have demonstrated the atomically dispersed Co–Nx sites are responsible for the outstanding performance of Co–N–C in NH3 synthesis under mild conditions, displaying an exceptionally high NH3 synthesis rate of 116.35 mmolNH3 gCo−1 h−1. The results of experimental investigations and theoretical calculations reveal that the excellent activity can be related to the single Co sites in the form of steady-state Co1–N3.5 and single Co sites in the form of dynamic Co–Nx (0 < x ≤ 1.5). The former enable N2 adsorption and hydrogenation as well as the subsequent formation of NH3 via the breaking of *NH2–NH4 bond following the E–R mechanism, while the latter afford surface pyridinic N to anchor single Co atoms for NH3 production via chemical looping. The results demonstrate that the dual active sites release NH3 synthesis from the bottleneck of N≡N dissociation, leading to superior NH3 production under mild conditions. It is anticipated that such understandings on Co–N–C shed light on the design of SAC with multiple active sites for efficient NH3 synthesis.
Methods
Chemicals and materials
N,N-Dimethylformamide (DMF, AR) and melamine (99%) were purchased from Shanghai Macklin Biochemical Co., Ltd. Resorcinol (99%) and formaldehyde as well as tetraethoxysilane (TEOS, 99.99%) were purchased from Aladdin. CoPc (97%) and F127 (PEO106PPO70PEO106) as well as cobalt chloride hexahydrate (99.99%) were purchased from Sigma-aldrich. Ammonia aqueous solution (25–28 wt%) was purchased from Xilong Scientific Co., Ltd. High purity helium (99.9999%) and argon (99.9999%) as well as nitrogen (99.9999%) gases were purchased from Linde Industrial Gases; the N2–H2 and H2–Ar mixture gases of designated proportions were also purchased from Linde Industrial Gases. 15N2 (98%) was supplied by Cambridge Isotope Laboratories, Inc. High purity 10%H2–90%He (99.9999%) mixture gas used for in situ XAS experiment was supplied by Beiwen Gas Manufacturing Plant in Beijing.
Catalyst preparation
Synthesis of hollow carbon and N-doped hollow Carbon spheres (CSs): Taking N-doped hollow CSs as an example, 10 mL of NH3 solution (25–28 wt%), 240 mL of ethanol, and 80 mL of deionized water were mixed, and stirred at room temperature (RT) for 1 h. Subsequently, 11.2 mL of tetraethyl orthosilicate was added to the above solution and the resulted mixture was stirred for 1 h. Then 1.2 g of F127, 1.6 g of resorcinol, and 2.24 mL of formaldehyde were added and the resulted solution was stirred for 0.5 h. Thereafter, 1.26 g of melamine and 1.68 mL of formaldehyde were sequentially added, and the mixture was stirred and heated at 100 °C for 24 h. The solid product was collected by filtration and washed with deionized water, and then slowly heated (2 °C min−1) in a quartz-tube furnace (OTF-1200X) to 700 °C under an Ar flow of 50 mL/min, and calcined at 700 °C for 2 h. Finally, SiO2 was removed by etching with HF solution, and the resulted substance was collected by filtration, washed with deionized water, and dried at 120 °C for 12 h. The as-prepared N-doped carbon support is herein referred to as N–C. Additionally, the synthesis of CSs is similar to that of N–C but without the introduction of nitrogen source (see Supplementary Methods).
Synthesis of Co–N–C: Typically, 60 mg of N–C and 40 mg of CoPc were added to 60 mL of DMF and the mixture was stirred for 2 h. Then, a CoPc–DMF solution was added to the N–C suspension, and the resulted mixture was stirred for 24 h. Finally, the product was dried in a vacuum oven at 60 °C for 12 h and heated to 500 °C at a rate of 2 °C min−1 under Ar flow for 2 h. For comparison, 3.8 wt%Co/C was also synthesized via incipient wetness impregnation using CoCl2·6H2O as cobalt precursor.
The preparations of other Co-based catalysts (Co/C, Ba–Co3O4, Co/CeO2@C, Co/CNTs, Co/AC, and Co/CeO2) for comparison purposes are detailed in Supplementary Information.
Synthesis of Co/CeO2: The preparation of Co/CeO2 was by simple co-precipitation. Nitrate salts of cobalt and cerium were simultaneously dissolved in deionized water. The content of Co was 4 wt% against CeO2. Aqueous ammonia was then added dropwise into the mixture with vigorous stirring. The resultant slurry was stirred for 0.5 h and washed several times with deionized water, then aged at 40 °C for 4 h and dried at 120 °C for 24 h to give the Co/CeO2 precursor, which was subject to heat treatment at 450 °C for 4 h.
Synthesis of Co/CeO2@C: The synthesis process was based on a previously reported method28. Typically, 20 g of glucose monohydrate was dissolved in 180 mL of deionized water, and a colorless solution was obtained after 15 min of vigorous stirring. Then the solution was transferred to and sealed in a stainless steel autoclave and kept at 180 °C for 9 h to afford a dark brown solid product, which was collected and dried at 120 °C for 24 h. The obtained carbon-sphere templates are herein labeled as CSs.
Next, 0.2 g of CSs was dispersed in 30 mL of absolute ethyl alcohol and subject to sonication of 0.5 h. Then 50 mL of a solution consisting 0.1302 g of Ce(NO3)3·6H2O and 0.13 g of hexamethylenetetramine (HMT) was poured into the CSs slurry. The resulted mixture was stirred for 2 h at RT and subject to reflux at 75 °C for 4 h to give CeO2@CSs nanospheres which were collected by suction filtration. The CeO2@CSs precursor black in color was dried at 120 °C for 24 h.
Finally, 0.2 g of CeO2@CSs was dispersed in 30 mL of absolute ethyl alcohol and subject to sonication of 0.5 h to give a slurry. Then 50 mL of a solution composed of nitrate salts of cobalt (4 wt% Co against CeO2@CSs) and 0.13 g of HMT was added to the slurry, and the mixture was stirred for 2 h at RT, followed by reflux at 75 °C for 4 h. The as-produced substance was collected and dried at 70 °C for 6 h, and calcined at 450 °C for 4 h under Ar atmosphere. The obtained material is herein denoted as Co/CeO2@C.
Synthesis of Ba/Co3O4: Typically, 0.028 g of barium acetate (C4H6BaO4) was dissolved in 1 mL of deionized water, and added to a mixed solution of cobalt nitrate and dimethylimidazole, and the as-resulted mixture was subject to agitation at RT for 3 h. After centrifugation, washing, and drying, a purple product was collected. Then the obtained product was impregnated with a certain amount of methanol solution in which furfuryl alcohol (FA) was dissolved. The FA in the pores underwent polymerization when heated in a muffle furnace at 80 and 150 °C for 14 and 6 h (heating rate = 2 °C/min), respectively. Subsequently, carbonization was carried out at 450 °C for 4 h (heating rate of 2 °C/min), and the obtained product is donoted herein as Ba–Co3O4.
Synthesis of Co/CNTs and Co/AC: Co/CNTs and Co/AC were prepared by impregnation method. The procedures for the generation of activated carbon (AC) were reported elsewhere29. The CNTs was purchased from nanoscience and technology companies in Nanjing of China, and Co was loaded on CNTs by impregnation using aqueous nitrate salt of cobalt (4 wt% Co against CNTs). The as-resulted mixture was dried at 120 °C overnight, and calcined at 450 °C for 4 h. The obtained sample is herein denoted as Co/CNTs. The Co/AC sample was prepared following the same procedures but with CNTs replaced by AC.
Physical characterization: Aberration-corrected high-angle annular dark-filed scanning transmission electron microscopy (HAADF-STEM) was conducted on a JEOL JEM-ARM 200 F instrument equipped with a CEOS probe corrector, with a guaranteed resolution of 0.08 nm. SEM was performed on a Hitachi Model S-4800 microscope operated at 5 kV. TEM and HR-TEM were conducted on a JEM-2010 microscope. High-angle annular dark field scanning transmission electron microscopy (HAADF-STEM) mapping was performed over a JEOL JEM-ARM 200 F instrument. Powder X-ray diffraction (XRD) was performed on a Panalytical X’Pert Pro diffractometer using Cu-Kα radiation (λ = 0.1789 nm) operating at 40 kV and 40 mA. The BET surface area and Barrett–Joyner–Halenda (BJH) pore size distribution were measured by N2 adsorption–desorption on a Micromeritics ASAP 2020 instrument at −196 °C after the sample was degassed at 120 °C for 2 h in vacuum. Elemental analysis (EA) was performed on a Vario EL-Cube. The Raman measurement was performed on a multi-channel modular triple Raman system (Renishaw Co.) with confocal microscopy at RT excited with the 532 nm line of an Ar laser. A 50 microscope objective lens was applied for focusing the laser beam and collection of the scattered light. The spot diameter of the focused laser beam on the sample was about 1 mm and a typical spectrum acquisition time was 50 s. ICP-AES analysis was conducted using an Ultima 2 spectrometer.
Evaluation of performance for ammonia synthesis: Before the evaluation of catalytic performance for NH3 synthesis, the samples (0.25 g, diluted with quartz powder in a 1:8 volumetric ratio) were reduced in a flow of 10%H2/Ar at 400 °C for 4 h. Under the condition for NH3 synthesis in a 25%N2−75%H2 mixture at a WHSV of 60,000 mL g−1 h−1 and a given pressure, the outlet NH3 concentrations were measured using a known amount of diluted H2SO4 solution (0.02 mol L−1), as well as analyzed by ion chromatography (Thermo Scientific, DIONEX, ICS-600). Finally, the NH3 synthesis rates were acquired on the basis of outlet NH3 concentrations.
Turnover frequency (TOFCototal) was acquired having the NH3 synthesis rate divided by total number of Co atoms, while TOFCosur.was obtained having the NH3 synthesis rate divided by surface number of Co atoms.
Available nitrogen testing: A sample of 0.25 g of Co–N–C diluted with quartz powder was exposed to a 10%H2/Ar mixture at 350 °C and 1 MPa with WHSV of 60,000 mL g−1 h−1; the outlet NH3 concentration was analyzed by ion chromatography (Thermo Scientific, DIONEX, ICS-600).
Experiments for methanation determination
In the determination of the possibility of methanation, 0.25 g of Co–N–C was exposed to a flow of 10%H2/Ar at 400 °C for 4 h. In another case, the conditions were under a 25%N2–75%H2 mixture at WHSV of 60,000 mL g−1 h−1 and pressure of 1 MPa. In both experiments, the outlet CH4 concentrations were measured using an on-line GC–Mass (GCMS-QP2010 SE).
Temperature-programmed Argon (Ar) desorption: Ar-TPD-MS experiment was performed by mass spectrometry using an Autochem 2920 instrument. After the NH3 synthesis activity test, 50 mg of the catalyst was recovered and flushed with Ar before being heated to 600 °C at a rate of 10 °C min−1. The desorbed species were monitored by recording the signals at m/z = 30 (N2H2), 29 (N2H), 17 (NH3), 16 (NH2), and 15 (NH).
Isothermal 15N2 isotopic-labeling experiment
INILE was performed by mass spectrometry employing an Autochem 2920 instrument. Before the experiment, the carrier gas pipeline was purged with 15N2 (30 mL/min) for 15 min. Then, a sample of 50 mg was heated from RT to 350 °C in Ar, and then the catalyst was exposed to a 10%H2/Ar atmosphere at 350 °C for 10 h, and flushed with Ar for 4 h. Next, the sample was exposed to 15N2 for 30 min. A short time gas flow system was adopted to minimize the use of expensive 15N2. Then, the feed gas was once again changed to 10%H2/Ar at 350 °C and followed by Ar flushing. The m/z = 2, m/z = 17, and m/z = 18 signals were recorded as a function of time. It should be emphasize that the m/z = 18 signal of H2O over CoN6/C was also collected under similar experimental condition but with 14N2 rather than 15N2 (99% 15N2) being fed in, and the H2O signal was recorded to be deducted from the m/z = 18 signal of the 15N2 experiment to obtain the genuine 15NH3 signal.
Isothermal 15N isotopic exchange experiment: 14N–15N isotope exchange experiment was performed also using the Autochem 2920 instrument. A Co–N–C sample of 50 mg was heated from RT to 350 °C in Ar, and then the catalyst was exposed to 15N2 at 350 °C for 30 min. The signals of N2 (m/z = 28), 14N15N (m/z = 29), and 15N2 (m/z = 30) were measured as a function of time.
Isothermal surface reaction: ISR experiment was performed by mass spectrometry employing an Autochem 2920 instrument. A Co–N–C sample of 50 mg was heated from RT to 350 °C in an Ar atmosphere, and then the catalyst was exposed to a 10%H2/Ar atmosphere at 350 °C for 10 h, and then flushed with Ar for 4 h. Next, the sample was exposed to N2 for 2 h, and then the feed gas was changed to 10%H2/Ar at 350 °C and followed by Ar flushing. The m/z = 2 (H2), m/z = 17 (NH3), and m/z = 18 (H2O) signals were monitored as a function of time. Additionally, a similar ISR experiment was performed on N–C but with the feed time of 10%H2/Ar and N2 shortened.
XANES and EXAFS measurements: The ex situ XANES and EXAFS analyses were performed at the 1W2B beam line of Beijing Synchrotron Radiation Facility. The Co K-edge spectra of samples and references in fluorescence mode were measured at RT. A Si(111) double-crystal monochromator was used to abate the harmonic content of the monochrome beam.
In situ XAS measurments: In situ XAS was also performed at the 1W2B beam line of Beijing Synchrotron Radiation Facility. The apparatus for the experiment was provided by Beijing Institute of Chemical Industry of Sinopec, which contains an in situ cell and systems for gas circulation and sample heating (Supplementary Fig. 17). Catalyst sample was cast pressed into uniform flakes to allow fluorescence signals to pass from the sample to the detector. Then in situ XAS data was collected at 350 °C in the presence of 10%H2/He or N2–H2 (VN2:VH2 = 1:3) as a function of time.
EXAFS data analysis: The acquired EXAFS data was treated on the basis of the standard procedures using the ATHENA module implemented in the IFEFFIT software packages. The k3-weighted EXAFS spectra were gained by subtracting the post-edge background from the overall absorption and then normalized with respect to the edge-jump step. Subsequently, the k3-weighted χ(k) data of Co K-edge was Fourier transformed to real (R) space employing a Hanning windows (dk = 1.0 Å−1) to segregate the EXAFS contributions from different coordination shells. To acquire the quantitative structural parameters around central atoms, least-squares curve parameter fitting was implemented via adopting the ARTEMIS module of IFEFFIT software packages30.
Hydrogen pulse experiment: H2 pulse experiment was conducted on an Autochem 2920 instrument. A catalyst sample of ca. 50 mg was heated from RT to 350 °C in an Ar atmosphere. Afterward, using Ar as carrier gas (flow rate = 30 mL/min), 10%H2/Ar was pulsed in at 350 °C for 40 times. The mass signals of m/z = 2 and m/z = 17 were measured as a function of H2 pulses.
Isothermal 15N2 and hydrogen reaction: Isothermal 15N2 and H2 reaction was performed using an Autochem 2920 instrument. A sample of 50 mg was heated from RT to 350 °C in an Ar atmosphere, and then the catalyst was exposed to 15N2 and H2 in volume ratio of 1:3 at 350 °C for 30 min. The signals of N2 (m/z = 28), 14N15N (m/z = 29), 15N2 (m/z = 30), and m/z = 17 (14NH3, 15NH2), m/z = 16 (14NH2, 15NH) as well as m/z = 18 (15NH3) were measured as a function of time. It should be emphasize that the m/z = 18 signal of H2O over the catalyst was also collected under similar experimental condition but using 14N2 rather than 15N2 (99% 15N2), and the H2O signal was recorded to be deducted from the m/z = 18 signal of the experiment to obtain the genuine 15NH3 signal.
Ex situ X-ray photoelectron spectroscopy (XPS) measurement and etching
XPS measurement was performed on an ESCALAB 250Xi photoelectron spectrometer (Thermo Fisher Scientific) equipped with monochromatic Al-Kα source (Kα = 1,486.6 eV) and a charge neutralizer. The XPS binding energy was calibrated against the C1s peak at 284.6 eV of adventitious carbon. Prior to in situ measurements, XPS spectra of fresh sample were first acquired. Etching was carried out with the MAGCIS dual mode ion source, which can be operated as a monatomic argon ion source. The monatomic mode was operated at energy of 1000 eV.
In situ XPS measurement: The catalyst was treated at 350 °C for 2 h in a feed of 10%H2/Ar mixture (50 mL/min) in a pretreatment chamber attached to the spectrometer, followed by the acquisition of the Co2p, C1s, and N1s spectra. Finally, the sample was further in situ treated under a stream of 25%N2–75%H2 at 350 °C for 2 h. Afterward, the Co2p, C1s, and N1s spectra were collected.
Computational method: First-principles calculations based on density functional theory (DFT) were performed using the Vienna ab initio simulation package (VASP) and the projected augmented wave (PAW) method6. The generalized gradient approximation Perdew–Burke–Ernzerhof (PBE) exchange-correlation functional was employed, and the DFT-D3 method of Grimme was employed to represent van der Waals interactions. The kinetic energy cutoff plane-wave expansion was set to 400 eV, and only Γ point was involved in the Brillouin zone integration. The convergence thresholds of the energy change and the maximum force for the structural optimizations were set to 10–5 eV and 0.05 eV/Å, respectively. To investigate the catalytic reaction on Co–N–C more accurately, hybrid functional B3LYP-D3 was also employed to calculate the electronic energy based on the optimized structure of PBE-D3 functional6. The adsorption energies of H2 on Co–N–C were calculated by ∆E = E(Co–N–C_H2)—E(Co–N–C)—E(H2), Here E(Co–N–C_H2), E(Co–N–C), and E(H2) are the energies of optimized structures of Co–N–C-adsorbed H2, Co–N–C, and H2. Note that because H2 adsorption weakened the interaction between phthalonitrile Co and carbon sphere, the H2 adsorption energies on graphitic N and pyrrolic N are positive. However, there is the negative H2 adsorption energies on pyrindinic N. It is because the H2 directly dissociates to two hydrogen atoms, one bonded to pyrindinic N and the other coordinated with the Co atom, and the interaction between phthalonitrile Co and carbon sphere was not weakened.
Data availability
The data that support the findings of this study are available from the corresponding author upon reasonable request.
References
Wang, P. et al. Breaking scaling relations to achieve low-temperature ammonia synthesis through LiH-mediated nitrogen transfer and hydrogenation. Nat. Chem. 9, 64–70 (2016).
Sato, K. et al. A low-crystalline ruthenium nano-layer supported on praseodymium oxide as an active catalyst for ammonia synthesis. Chem. Sci. 8, 674–679 (2017).
Liu, H. Ammonia synthesis catalyst 100 years: practice, enlightenment and challenge. Chin. J. Catal. 35, 1619–1640 (2014).
Gong, Y. et al. Ternary intermetallic LaCoSi as a catalyst for N2 activation. Nat. Catal. 1, 178–185 (2018).
Kobayashi, Y. et al. Titanium-based hydrides as heterogeneous catalysts for ammonia synthesis. J. Am. Chem. Soc. 139, 18240–18246 (2017).
Liu, J. et al. Heterogeneous Fe3 single-cluster catalyst for ammonia synthesis via an associative mechanism. Nat. Commun. 9, 1610 (2018).
Zeinalipour-Yazdi, C. D., Hargreaves, J. S. J., Laassiri, S. & Catlow, C. R. A. The integration of experiment and computional modelling in heterogeneously catalysed ammonia synthesis over metal nitrides. Phys. Chem. Chem. Phys. 20, 21803–21808 (2018).
Honkala, K. et al. Ammonia synthesis from first-principles calculations. Science 307, 555–558 (2005).
Mitchell., S., Vorobyeva, E. & Pérez-Ramírez, J. The multifaceted reactivity of single-atom heterogeneous catalysts. Angew. Chem. Int. Ed. 57, 15316–15329 (2018).
Pan., Y., Chen, C. & Li, Y. Design of single-atom Co–N5 catalytic Site: a robust electrocatalyst for CO2 reduction with nearly 100% CO selectivity and remarkable Stability. J. Am. Chem. Soc. 140, 4218–4221 (2018).
Zhang, M. et al. Metal (Hydr)oxides@polymer core−shell strategy to metal single-atom materials. J. Am. Chem. Soc. 139, 10976–10979 (2017).
Cui, X., Li, W., Ryabchuk, P., Junge, K. & Beller, M. Bridging homogeneous and heterogeneous catalysis by heterogeneous single-metal-site catalysts. Nat. Catal. 1, 385–397 (2018).
Li, X. et al. Topotactic transformation of metal-organic frameworks to graphene-encapsulated transition-metal nitrides as efficient fenton-like catalysts. ACS Nano 10, 11532–11540 (2016).
Zeinalipour-Yazdi, C. D., Hargreaves, J. S. J. & Catlow, C. R. A. Low-t mechanisms of ammonia synthesis on Co3Mo3N. J. Phys. Chem. C 122, 6078–6082 (2018).
Chang, F. et al. Alkali and alkaline earth hydrides-driven N2 activation and transformation over Mn nitride catalyst. J. Am. Chem. Soc. 140, 14799–14806 (2018).
Cao, L. et al. Identification of single-atom active sites in carbon-based cobalt catalysts during electrocatalytic hydrogen evolution. Nat. Catal. 2, 134–141 (2019).
Zhu, C. et al. Hierarchically porous M–N–C (M=Co and Fe) single-atom electrocatalysts with robust MNx active moieties enable enhanced ORR performance. Adv. Energy Mater. 8, 1801956–1801964 (2018).
Liu, W. et al. Single-atom dispersed Co–N–C catalyst: structure identification and performance for hydrogenativecoupling of nitroarenes. Chem. Sci. 7, 5758–5764 (2016).
Rossi, G. et al. Local environment of metal ions in phthalocyanines: K-edge X-ray absorption spectra. Phys. Chem. Chem. Phys. 18, 23686–23694 (2016).
Su, H. et al. Hetero-N-coordinated Co single sites with high turnover frequency for efficient electrocatalytic oxygen evolution in an acidic medium. ACS Energy Lett. 4, 1816–1822 (2019).
Sa, Y. J. et al. Heterogeneous Co–N/C Electrocatalysts with controlled cobalt site densities for the hydrogen evolution reaction: structure–activity correlations and kinetic insights. ACS Catal. 9, 83–97 (2019).
Gao, W. et al. Barium hydride-mediated nitrogen transfer and hydrogenation for ammonia synthesis: a case study of cobalt. ACS Catal. 7, 3654–3661 (2017).
Inoue, Y. et al. Direct activation of cobalt catalyst by 12CaO·7Al2O3 electride for ammonia synthesis. ACS Catal. 9, 1670–1679 (2019).
Hunter, S. M. et al. A Study of 15N/14N Isotopic exchange over cobalt molybdenum nitrides. ACS Catal. 3, 1719–1725 (2013).
Fei, H. et al. Atomic cobalt on nitrogen-doped graphene for hydrogen generation. Nat. Commun. 6, 8668 (2015).
Wang, M. et al. Over 56.55% Faradaic efficiency of ambient ammonia synthesis enabled by positively shifting the reaction potential. Nat. Commun. 10, 341 (2019).
Kojima, R. & Aika, K.-i Cobalt molybdenum bimetallic nitride catalysts for ammonia synthesis, Part 2. Kinetic study. Appl. Catal. A 218, 121–128 (2001).
Wang, X. et al. Efficient ammonia synthesis over a core-shell Ru/CeO2 catalyst with a tunable CeO2 size: DFT calculations and XAS spectroscopy studies. Inorg. Chem. Front. 9, 396–406 (2019).
Brown, D., Edmonds, T., Joyner, R., McCarroll, J. & Tennison, S. The Genesis and development of the commercial BP doubly promoted catalyst for ammonia synthesis. Catal. Lett. 144, 545–552 (2014).
Ravel, B. & Newville, M. Athena, artemis, hephaestus: data analysis for X-ray absorption spectroscopy using IFEFFIT. J. Synchrotron Radiat. 12, 537–541 (2005).
Acknowledgements
The work was supported by the National Science Fund for Distinguished Young Scholars of China (21825801), the National Natural Science Foundation of China (21972019), and Fujian Outstanding Youth Fund (2019J06011). We thank Prof. Bin Wang of Beijing Institute of Chemical Industry of Sinopec for providing the in situ equipment for EXAFS analysis, and Prof. Jingdong Lin of Xiamen University for providing the 15N2 isotope gas.
Author information
Authors and Affiliations
Contributions
L.J. and X.W. proposed the research idea and supervised the entire project. X.P. performed the synthesis and catalytic measurements. X.P. and X.W. performed characterization. J.N. provides instrument Platform. W.C. and A.Z. carried out the model construction and density functional theory calculations. X.W. and G.L. performed in situ X-ray absorption fine-structure measurements. L.Z. performed the fit of EXAFS data. X.W. wrote the paper with significant contributions from C.A. All authors participated in the interpretation of results and made comments on the manuscript.
Corresponding authors
Ethics declarations
Competing interests
The authors declare no competing interests.
Additional information
Peer review information Nature Communications thanks the anonymous reviewers for their contribution to the peer review of this work. Peer reviewer reports are available.
Publisher’s note Springer Nature remains neutral with regard to jurisdictional claims in published maps and institutional affiliations.
Supplementary information
Source data
Rights and permissions
Open Access This article is licensed under a Creative Commons Attribution 4.0 International License, which permits use, sharing, adaptation, distribution and reproduction in any medium or format, as long as you give appropriate credit to the original author(s) and the source, provide a link to the Creative Commons license, and indicate if changes were made. The images or other third party material in this article are included in the article’s Creative Commons license, unless indicated otherwise in a credit line to the material. If material is not included in the article’s Creative Commons license and your intended use is not permitted by statutory regulation or exceeds the permitted use, you will need to obtain permission directly from the copyright holder. To view a copy of this license, visit http://creativecommons.org/licenses/by/4.0/.
About this article
Cite this article
Wang, X., Peng, X., Chen, W. et al. Insight into dynamic and steady-state active sites for nitrogen activation to ammonia by cobalt-based catalyst. Nat Commun 11, 653 (2020). https://doi.org/10.1038/s41467-020-14287-z
Received:
Accepted:
Published:
Version of record:
DOI: https://doi.org/10.1038/s41467-020-14287-z
This article is cited by
-
Nanoconfinement steers nonradical pathway transition in single atom fenton-like catalysis for improving oxidant utilization
Nature Communications (2024)
-
Progress and challenges in energy storage and utilization via ammonia
Surface Science and Technology (2023)
-
Potassium hydride-intercalated graphite as an efficient heterogeneous catalyst for ammonia synthesis
Nature Catalysis (2022)
-
Single-Atom Catalysts: Advances and Challenges in Metal-Support Interactions for Enhanced Electrocatalysis
Electrochemical Energy Reviews (2022)
-
Advanced Strategies for Stabilizing Single-Atom Catalysts for Energy Storage and Conversion
Electrochemical Energy Reviews (2022)







