Abstract
Quantum control of a system requires the manipulation of quantum states faster than any decoherence rate. For mesoscopic systems, this has so far only been reached by few cryogenic systems. An important milestone towards quantum control is the so-called strong coupling regime, which in cavity optomechanics corresponds to an optomechanical coupling strength larger than cavity decay rate and mechanical damping. Here, we demonstrate the strong coupling regime at room temperature between a levitated silica particle and a high finesse optical cavity. Normal mode splitting is achieved by employing coherent scattering, instead of directly driving the cavity. The coupling strength achieved here approaches three times the cavity linewidth, crossing deep into the strong coupling regime. Entering the strong coupling regime is an essential step towards quantum control with mesoscopic objects at room temperature.
Similar content being viewed by others
Introduction
Laser cooling has revolutionised our understanding of atoms, ions and molecules. Lately, after a decade of experimental and theoretical efforts employing the same techniques1,2,3,4,5,6,7,8, the motional ground state of levitated silica nanoparticles at room temperature has been reported9. While this represents an important milestone towards the creation of mesoscopic quantum objects, coherent quantum control of levitated nanoparticles10,11 still remains elusive.
Levitated particles stand out among the plethora of optomechanical systems12 due to their detachment, and therefore high degree of isolation from the environment. Their centre of mass, rotational and vibrational degrees of freedom13 make them attractive tools for inertial sensing14, rotational dynamics15,16,17,18, free fall experiments19, exploration of dynamic potentials20, and are envisioned for testing macroscopic quantum phenomena at room temperature2,10,21,22.
Recently, the centre-of-mass motion of a levitated particle has successfully been 3D cooled employing coherent scattering (CS)8,23. Cooling with CS is less sensitive to phase noise heating than actively driving the cavity7,24, because optimal coupling takes place at the intensity node. Lately, this has enabled phonon occupation numbers of less than one9.
For controlled quantum experiments, such as the preparation of non-classical, squeezed25,26 or entangled states27,28, the particle’s motional state needs to be manipulated faster than the absorption of a single phonon from the environment. A valuable but less stringent condition is the so-called strong coupling regime (SCR), where the optomechanical coupling strength g between the mechanical motion of a particle and an external optical cavity exceeds the particle’s mechanical damping Γm and the cavity linewidth κ (g ≫ Γm, κ). The SCR presents one of the first stepping stones towards full quantum control and has been demonstrated in opto- and electromechanical systems29,30,31, followed by quantum-coherent control32.
Here, we observe normal mode splitting (NMS) in SCR with levitated nanoparticles33, as originally reported in atoms34. In contrast to previous experiments, we employ CS8,23,35,36. Our table-top experiment offers numerous ways to tune the optomechanical coupling strength at room temperature, a working regime that is otherwise nearly exclusive to plasmonic nanocavities37,38.
Results
Experimental setup for levitation
Our experimental setup is displayed in Fig. 1. A silica nanoparticle (green) of radius R ≈ 90 nm, mass m = 6.4 × 10−18 kg and refractive index nr = 1.45 is placed in a cavity (purple) by an optical tweezers trap (yellow) with wavelength \(\lambda\)t = 2π/kt = 1064 nm, power Pt ≃ 150 mW, numerical aperture NA = 0.8, and optical axis (z) perpendicular to the cavity axis (y). The trap is linearly polarised along the axis defined as \({\epsilon }_{\theta }={\epsilon }_{{{x}}}\cos \theta\) (see inset in Fig. 1).
An optical tweezers trap (yellow) levitates a silica nanoparticle inside a high finesse cavity. The trapping field is locked relatively to the cavity resonance ωcav using Pound-Drever-Hall locking with a detuning Δ = ωt − ωcav. A 3D piezo stage positions the particle precisely inside the cavity at variable y0. The inset displays the linear trap polarisation axis along \({\epsilon }_{\theta }={\epsilon }_{{{x}}}\cos \theta\). The rate of coherently scattered photons into the cavity mode (purple) depends on y0, ϵθ and Δ. The transmitted cavity output field is monitored on a photodiode (CO) and the forward scattered trapping light is used to detect the particle motion (see “Experimental setup” section).
The nanoparticle’s eigenfrequencies Ωx,y,z = 2π × (172 kHz, 197 kHz, 56 kHz) are non-degenerate due to tight focusing. The trap is mounted on a nano-positioning stage allowing for precise 3D placement of the particle inside the low loss, high finesse Fabry-Pérot cavity with a cavity linewidth κ ≈ 2π × 10 kHz, cavity finesse F = 5.4 × 105 and free spectral range ΔωFSR = πc/Lc = 2π × 5.4 GHz. The relative detuning Δ = ωt − ωc between the trap and the cavity resonance is tunable. The intracavity photon number ncav is estimated from the transmitted cavity power Pout (CO in Fig. 1), and the particle position displacement is measured by interfering the scattered light with a co-propagating reference beam39. In CS, scattering events from the detuned trapping field, locked at Δ, populate the cavity. This contrasts the approach of actively driving the cavity3,7,24. A particle in free space, solely interacting with the trapping light, Raman scatters photons into free space and the energy difference between incident and emitted light equals ±ℏΩm with m = x, y, z. In this case, photon up and down conversion are equally probable40. The presence of an optical cavity alters the density of states of electromagnetic modes and enhances the CS into the cavity modes through the Purcell effect. If trap photons are red (blue) detuned with respect to the cavity resonance, the cavity enhances photon up (down) conversion and net cooling (heating) takes place.
Coherent scattering theory
In order to estimate the corresponding optomechanical coupling strength in CS, we follow ref. 36. The interaction Hamiltonian for a polarisable particle interacting with an electric field E(R) is given by \({\hat{{\rm{H}}}}_{{\rm{int}}}=-\frac{1}{2}\alpha {{\bf{E}}}^{2}({\bf{R}})\) with the particle polarizability \(\alpha =4\pi {\epsilon }_{0}{R}^{3}\frac{{n}_{{\rm{r}}}^{2}-1}{{n}_{{\rm{r}}}^{2}+2}\) and vacuum permittivity ϵ0. The total electric field consists of the trap (\({{\bf{E}}}_{{\rm{tr}}}({\bf{R}})\)), cavity (Ecav(R)) and free space electromagnetic modes (Efree(R)) yielding the interaction Hamiltonian
where Ecav(R) and Efree(R) are only populated by scattering events from the particle (ntrap ≫ ncav with ntrap (ncav) being the number of trap (cavity) photons). As can be seen from Eq. (1), the interaction Hamiltonian consists of six terms of which only the two terms proportional to \({{\bf{E}}}_{{\rm{tr}}}({\bf{R}}){{\bf{E}}}_{{\rm{cav}}}({\bf{R}})\) and Ecav(R)2 are relevant for the following discussion36. The former one gives rise to the optomechanical coupling by CS, and the latter to the coupling achieved by actively driving the cavity. The term \(\propto {{\bf{E}}}_{{\rm{tr}}}^{2}({\bf{R}})\) gives rise to the trapping potential, while the term \(\propto {{\bf{E}}}_{{\rm{tr}}}({\bf{R}}){{\bf{E}}}_{{\rm{free}}}({\bf{R}})\) causes recoil heating36,41, which can be neglected for the moderate vacuum conditions presented here7,41. The remaining two terms can be safely neglected according to ref. 36.
In the following, we use the simplified interaction Hamiltonian given by Eq. (2) where we separate the parts contributing to the optomechanical coupling due to CS \({\hat{{\rm{H}}}}_{{\rm{CS}}}\), active driving \({\hat{{\rm{H}}}}_{{\rm{DR}}}\), and population of the intracavity field \({\hat{{\rm{H}}}}_{{\rm{CAV}}}\) (see “Interaction Hamiltonian and power spectral densities” section).
For the measurements presented here, the trap is x-polarised with θ = 0 (see inset Fig. 1). This simplifies \({\hat{{\rm{H}}}}_{{\rm{CS}}}\) to \({\hat{{\rm{H}}}}_{{\rm{CS}}}=-\hslash [{g}_{{{y}}}({\hat{a}}^{\dagger }+\hat{a})({\hat{{b}_{y}}}^{\dagger }+\hat{{b}_{y}})+{g}_{{{z}}}({\hat{a}}^{\dagger }-\hat{a})({\hat{{b}_{z}}}^{\dagger }+\hat{{b}_{z}})]\), where \(\hat{a}\) (\({\hat{a}}^{\dagger }\)) is the photon annihilation (creation) operator and \(\hat{b}\) (\({\hat{b}}^{\dagger }\)) is the phonon annihilation (creation) operator. The CS optomechanical coupling strengths gy,z are
with cavity wavevector kc = 2π/\(\lambda\)c, zero-point fluctuations \({y}_{{\rm{zpf}}},{z}_{{\rm{zpf}}}=\sqrt{\frac{\hslash }{2m{{{\Omega }}}_{{{y}},{{z}}}}}\) and ϕ = 2πy0/\(\lambda\)c, with y0 being the particle position along the cavity axis and y0 = \(\lambda\)c/4 corresponding to the intensity minimum.
The optical cavity resonance frequency shift caused by a particle located at maximum intensity of the intracavity standing wave is \({G}_{\perp }=\alpha {E}_{0}\sqrt{\frac{{\omega }_{{\rm{c}}}}{2\hslash {\epsilon }_{0}{V}_{{\rm{c}}}}}\) with cavity mode volume \({V}_{{\rm{c}}}=\pi {{\rm{w}}}_{{\rm{c}}}^{2}{L}_{{\rm{c}}}/4\), cavity waist wc, cavity length Lc, and ωc = 2πc/\(\lambda\)c The trap electric field is \({E}_{0}=\sqrt{\frac{4{P}_{{\rm{t}}}}{\pi {\epsilon }_{0}c{{{\mathrm{w}}}}_{{{x}}}{{{\mathrm{w}}}}_{{{y}}}}}\) with trap waists wx and wy.
Due to the intracavity standing wave, the optomechanical coupling strength has a sinusoidal dependence on y0 with opposite phase for gy and gz. In contrast, gx = 0 if θ = 0.
For clarity, we limit the discussion to coupling along the cavity axis (y), such that Ωm = Ωy and g = gy. Similar results can be obtained for the other directions x, z with the same level of control.
The maximum expected coupling strength from CS is \({g}_{{{y}}}^{\max }={G}_{\perp }{k}_{{\rm{c}}}\,{y}_{{\rm{zpf}}}=2\pi \times 31.7\ {\rm{kHz}}\) for our parameters. However, we displace the particle by δz ≈ 40 μm from the cavity centre for better experimental stability. Hence, our expected optomechanical coupling strength is reduced by ≈30% down to \({g}_{{{y}}}^{{\rm{th}}}=2\pi \times 22.6\ {\rm{kHz}}\), enabling the SCR with gy > κ. Despite the fact that this value is a factor of ≈3 lower than previously reported9, the deep SRC with g > κ remains unaccomplished.
Transition to the SCR
In the weak coupling regime g < κ, the Lorentzian-shaped spectra of our mechanical oscillator displays a single peak at its resonance frequency Ωm. When g increases, the energy exchange rate between optical and mechanical mode grows until the SCR is reached at g > κ/4 (ref. 33). In the SCR, the optical and mechanical mode hybridise, which gives rise to two new eigenmodes at shifted eigenfrequencies Ω± (see Eq. (9)). At this point, the energy exchange in between the optical and mechanical mode is faster than the decoherence rate of each individual mode. The hybridised eigenmode frequencies
experience an avoided crossing, the so-called NMS, which reaches a maximum of Ω+ − Ω− = 2gy at the optimal detuning Δ = − Ωm. The linewidth of the hybrid modes at this detuning is (κ + Γm)/2. Therefore, Γm needs to be smaller or comparable to κ to resolve the NMS of 2gy.
As can be seen from Eq. (3), we control gy through various parameters like the trap power Pt, the particle position y0 and the polarisation angle θ. The optical coupling rate Γopt depends additionally on the trap detuning Δ and is maximised at Δ = − Ωm to \({{{\Gamma }}}_{{\rm{opt}}}=4{g}_{{{y}}}^{2}/\kappa\) (refs. 7[,12). While Pt and Δ only influence the magnitude of the coupling strength, y0 and θ change also the nature of the coupling from 1D to potentially 3D36. For simplicity, we focus on varying Δ and y0 in the following measurements and keep Pt, θ and Γm = 2π × 0.8 kHz, corresponding to p = 1.4 mBar, fixed (see “Experimental setup” section). The range of Δ is limited due to instabilities in the experiment.
Observation of strong coupling
Figure 2 left panel displays the experimental position power spectral density (PSD) versus Δ for different y0. Throughout the remaining part of the manuscript, we fit our PSD to Eq. (9), if not stated differently. From this fit, we can extract the hybridised modes Ω± that are separated by 2gy. We cover a total distance of δy0 ≈ \(\lambda\)c/4 and change the optomechanical coupling strength, and therefore also the NMS, from (a) gy/2π = 22.8 kHz, (b) 15.4 kHz, (c) 4.6 kHz and (d) 0 kHz, exploring the entire range from strong coupling to zero coupling. The right panel shows the fit, which is in good agreement with the data. We observe two eigenmodes Ω± with an exceptional NMS of 2gy ≈ 4.6κ at Δ = − Ωm, corresponding to 20% of the bare mechanical eigenfrequency, once the system enters the SCR at g > κ/4 (ref. 33). For gy = 0, we observe only the mechanical mode with slightly increased frequency Ωm = 2π × 200 kHz due to the additional trapping potential supplied by the cavity field (see Fig. 2d). In Fig. 2a and b, we observe an additional NMS in the y-mode, which stems from a second cross polarised optical mode. Note that, throughout all our measurements (see Figs. 2–4), the second NMS is the largest source for discrepancies between experiment and theory (for more details, see Supplementary Information). We also attribute the NMS of the x-mode at Ω/Ωm = 0.89 to the second optical mode as observed in Fig. 2d, since the x-mode should be decoupled from the first mode (gx = 0 if θ = 0).
Particleʹs position power spectral density PSD(Ω) versus Δ for different y0 and therefore various gy. Experimental data are displayed on the left, and theory on the right. The bare mechanical (optical) modes correspond to horizontal (diagonal) lines. a Maximum normal mode splitting of 2gy is observed at Δ = − Ωm yielding a value of gy = 2π × 22.8 kHz = 2.3κ, where y0 ≈ λc/4 is close to the intensity minimum (see Eq. (3)). b When the particle is moved by δy0 ≈ 0.12λc, the coupling reduces to gy = 2π × 15.4 kHz = 1.5κ. c Normal mode splitting is still visible at δy0 ≈ 0.2λc, yielding gy = 2π × 4.6 kHz = 0.46κ. d At the intensity maximum, corresponding to a shift of δy0 ≈ λc/4 and gy = 0 kHz, the normal mode splitting vanishes and we only see a shift of δΩm ≈ 2π × 5 kHz in the mechanical frequency due to the increased intracavity photon number (see Supplementary Fig. 1). In general, we observe a good agreement between experimental data and theory. We attribute discrepancies to a second cross polarised cavity mode inducing a second normal mode splitting (for more details, see Supplementary Information).
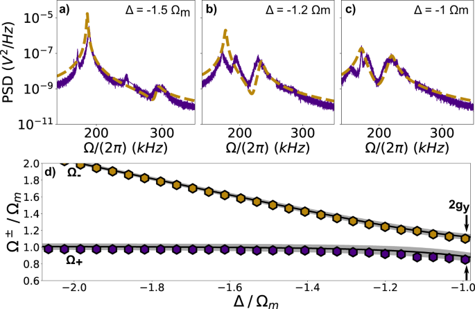
a–c Experiment (purple) and theory (yellow, dashed) fitted to Eq. (9) at Δ = −2π × 293 kHz ≈ −1.5Ωm (a), Δ = −2π × 225 kHz ≈ −1.2Ωm (b) and Δ = −2π × 205 kHz ≈ −Ωm (c). The optomechanical coupling strength gy grows with increasing Δ. Optical and mechanical modes start to hybridise clearly at Δ≥ −1.5Ωm. We attribute the discrepancy between data and theory to the second optical mode (see Supplementary Informtation). d Hybridised eigenmodes Ω± versus Δ at the intensity minimum (y0 ≈ λc/4). Maximum normal mode splitting of 2gy with gy = 2π × 22.8 kHz = 2.3κ occurs at Δ = −Ωm. The black line fits the data to Eq. (4), while the inner (outer) edges of the grey area correspond to a fit using solely to the upper (lower) branch Ω− (Ω+).
a Experiment and b theory according to Eq. (9). Particle position power spectral density PSD(Ω) at the optimal Δ = − 2π × 193 kHz ≈ −Ωm along y0 is shown. The hybridised modes split by 2gy. The white dashed line displays Ω±/Ωm = 1 ± gy/Ωm where gy follows Eq. (3). The mechanical mode at Ω/Ωm ≈ 0.89 corresponds to the mechanical x−mode. The data and fit show very good agreement. c ∣gy∣ at Δ ≈ −Ωm versus y0. Maximum and minimum coupling are separated by δy0 = λc/4 as expected by Eq. (3). Black dashed line fits to the absolute value of Eq. (3) with a maximum \({g}_{{{y}}}^{\max }\approx -2.3\kappa\) and the grey shaded area corresponds to 3σstd of the fit. The dotted lines indicate the positions used in Fig. 2.
Figure 3a–c displays the particle’s position PSD at different Δ while it is located at the intensity minimum, corresponding to the position of maximum coupling gy = 2.3κ, displayed in Fig. 2a. Our theory (yellow) captures the data (purple) well. In Fig. 3a, the optical mode and mechancial mode begin to hybridise into new eigenmodes at Δ = −1.5Ωm which is confirmed by a second peak appearing at Ω ≈ 2π × 300 kHz. The hybridisation becomes stronger as Δ approaches the cavity resonance and the NMS is maximised at Δ ≈ −Ωm as shown in Fig. 3c. The dependence of the new eigenmodes Ω± on Δ is shown in Fig. 3d, displaying clearly the expected avoided crossing of 2gy. The solid line is a fit to Eq. (4). The edges of the shaded area represent the upper and lower limit of the fit, which we obtain by fitting only the upper branch (yellow) or the lower branch (purple), respectively.
As already discussed previously, our experiment allows to change the optomechanical coupling by changing various experimental parameters, which stands in contrast to many other experimental platforms. Figure 4 displays this flexibility to reach the SCR by demonstrating the position dependence of gy at optimal detuning Δ ≈ −Ωm extracted from the data Fig. 2a–d. The experimental and theoretical position PSDs versus y0 are depicted in Fig. 4a and b. The mode at Ω/Ωm ≈ 0.89 corresponds to the decoupled x-mode. The dashed line highlights the theoretical frequency of the eigenmodes Ω±/Ωm following Eq. (4). In both experiment and theory, we observe the expected sinusoidal behaviour predicted by Eq. (3). Figure 4c depicts ∣gy∣ = (Ω+ − Ω−)/2 (circles) extracted from Fig. 4a. The dashed line represents the fit to the absolute value of Eq. (3) yielding \({g}_{{{y}}}^{\exp }=2\pi \times (22.8\pm 0.2)\)kHz which coincides well with the theoretical value of \({g}_{{{y}}}^{{\rm{th}}}=2\pi \times 22.6\) kHz. The measured period coincides with the expected period of \(\lambda\)c/4. The shaded area corresponds to 3σstd of the fit.
Discussion
As a figure of merit to assess the potential of our system for quantum applications, we use the quantum cooperativity, which yields here \({C}_{{\rm{CS}}}={(2{g}_{{{y}}}^{\max })}^{2}/(\kappa {{{\Gamma }}}_{{\rm{m}}}({n}_{{\rm{th}}}+1))=8\times 1{0}^{-6}\) at a pressure p = 1.4 mbar and promises a value as large as CCS ≈ 36 at p = 3 × 10−7 mbar, since Γm ∝ p. At this low pressure, the photon recoil heating rate Γrec41 equals our mechanical decoherence rate Γm(nth + 1)), and therefore halves the reachable CCS. The maximum CCS is ultimately limited by Γrec, regardless if we reduce the pressure even further. Nevertheless, this predicted value of CCS is many orders of magnitude larger than what has been achieved in levitation setups by actively driving the cavity7,24 and larger than achieved in ref. 9. More importantly it enables coherent quantum control at g ≫ κ, Γm ⋅ nth at pressure levels p ≤ 10−6 mbar, a pressure regime commonly demonstrated in numerous levitation experiments7,9,41.
Furthermore, our experimental parameters promise the possibility of motional ground state cooling in our system9, which in combination with coherent quantum control enables us to fully enter the quantum regime with levitated systems and to create non-classical states of motion and superposition states of macroscopic objects in free fall experiments10,11 in the future.
Methods
Experimental setup
The experimental setup is displayed in Fig. 5. A silica nanoparticle is loaded at ambient pressure into a long range single beam trap and transferred to a more stable, short range optical tweezers trap42 (with wavelength \(\lambda\)t = 1064 nm, power P ≃ 150 mW, focusing lens NA = 0.8) inside a vacuum chamber. Due to the tight focusing, the nanoparticle non-degenerate eigenfrequencies are Ωx,y,z = 2π × (172 kHz, 197 kHz, 56 kHz), respectively. The optical tweezers are mounted on a 3D nanometre resolution piezo system allowing for precise 3D positioning inside a high finesse Fabry-Perot cavity (with cavity finesse F = 540,000, free spectral range FSR = 2π × 5.4 GHz).
A 1064 nm Mephisto laser (yellow) traps a silica particle of d = 177 nm inside a high finesse cavity (purple). The trap light is locked at a variable detuning Δ + FSR from the cavity resonance via the Pound-Drever-Hall technique by detecting the error signal on a photodiode (PDH). The particle motion is detected in backreflection (BR) and balanced forward detection (FS). The intracavity field is estimated from the transmitted power detected on a photodiode (CO).
In order to control the detuning Δ = ωt − ωc between the cavity resonance ωc and the trap field ωt, we use a weak cavity field for locking the cavity via the Pound-Drever-Hall technique (PDH) on the TEM01 mode minimising additional heating effects through the photon recoil heating of the cavity lock field. The PDH errorsignal acts on the internal laser piezo and an external AOM (not shown). We separate lock and trap light in frequency space by one free spectral range (FSR) such that the total detuning between lock and trap yields ωt = ω − FSR − Δ. The variable EOM modulation FSR + Δ is provided by a signal generator. The intracavity power can be deduced from the transmitted cooling light observed on a photodiode behind the cavity (CO).
All particle information shown is gained in forward balanced detection interfering the scattered light field and the non-interacting part of the trap beam as shown in Fig. 5. The highly divergent trap light is collected using a lens (NA = 0.8). We use three balanced detectors (FS) to monitor the oscillation of the particle in all three degrees of freedom.
The data time traces are acquired at 1 MHz acquisition rate. Each particle position PSD is obtained by averaging over N = 25 samples of which each one is calculated from individual 40 ms time traces, corresponding to a total measurement time of t = 1 s.
We keep the pressure stable at p = 1.4 mbar. The thermal bath couples as
where Qm = Ωm/Γm is the mechanical quality factor, \({n}_{{\rm{th}}}=\frac{{k}_{{\mathrm{B}}}T}{\hslash {{{\Omega }}}_{{{m}}}}\) the thermal occupation number, R the particle radius, p the surrounding gas pressure and \({v}_{{\rm{gas}}}=\sqrt{3{k}_{{\mathrm{B}}}T/{m}_{{\rm{gas}}}}\).
In the measurements presented, we cool our particle’s centre of mass motion to T = 235, corresponding to a reduction of the phonon occupation by roughly 20%. The theoretically expected heating rate due to the residual gas accounts fully for the experimentally observed heating rate.
Interaction Hamiltonian and power spectral densities
Following ref. 36, the relevant contributions to the CS interaction Hamiltonian for θ = 0 are given by
The single photon optomechanical coupling strength achieved by actively driving the cavity is \({g}_{{{y}}}^{{\rm{dr}}}=\frac{\alpha {\omega }_{{\rm{c}}}}{2{\epsilon }_{0}{V}_{{\rm{c}}}}{k}_{{\rm{c}}}{y}_{{\rm{zpf}}}\sin (2\phi )=2\pi \times 0.05\;{\rm{Hz}}\sin (2\phi )\). This value is enhanced by the intracavity photon number ncav = 1.6 × 108, inferred from the transmitted cavity power Pout. At optimal conditions, we achieve \({g}_{{{y}}}^{{\rm{rp}}}\sqrt{{n}_{{\rm{c}}}}=2\pi \times 0.6\) kHz. Thus, the optomechanical coupling strength is about 40 times larger for CS, since the photons contributing to the CS interaction are confined in a much smaller volume due to the much smaller trap waist \({{{w}}}_{{\mathrm{t}}}\times {{{w}}}_{{\mathrm{c}}}\ll {{{w}}}_{{\mathrm{c}}}^{2}\).
The mechanical susceptibility χ is given as33
with the effective (optical) damping Γeff (Γopt) and the optomechanical spring effect δΩm. We fit the three mechanical modes Ωx,y,z to Eq. (9) where gy, κ, Γm and the relative mode amplitudes are chosen as free fit parameters.
Data availability
The data that support the findings of this study are available from the corresponding author upon request.
References
Chang, D. E. et al. Cavity opto-mechanics using an optically levitated nanosphere. Proc. Natl Acad. Sci. USA 07, 1005–1010 (2010).
Romero-Isart, O., Juan, M. L., Quidant, R. & Cirac, J. I. Toward quantum superposition of living organisms. N. J. Phys. 12, 033015 (2010).
Kiesel, N. et al. Cavity cooling of an optically levitated submicron particle. Proc. Natl Acad. Sci. USA 110, 35 (2013).
Asenbaum, P., Kuhn, S., Nimmrichter, S., Sezer, U. & Arndt, M. Cavity cooling of free silicon nanoparticles in high vacuum. Nat. Commun. 4, 2743 (2013).
Millen, J., Fonseca, P. Z. G., Mavrogordatos, T., Monteiro, T. S. & Barker, P. F. Cavity cooling a single charged levitated nanosphere. Phys. Rev. Lett. 114, 123602 (2015).
Fonseca, P. Z. G., Aranas, E. B., Millen, J., Monteiro, T. S. & Barker, P. F. Nonlinear dynamics and strong cavity cooling of levitated nanoparticles. Phys. Rev. Lett. 117, 173602 (2016).
Meyer, N. et al. Resolved-sideband cooling of a levitated nanoparticle in the presence of laser phase noise. Phys. Rev. Lett. 123, 1–6 (2019).
Delić, U. et al. Cavity cooling of a levitated nanosphere by coherent scattering. Phys. Rev. Lett. 122, 123602 (2019).
Delić, U. et al. Cooling of a levitated nanoparticle to the motional quantum ground state. Science 367, 892–895 (2020).
Romero-Isart, O. et al. Large quantum superpositions and interference of massive nanometer-sized objects. Phys. Rev. Lett. 107, 020405 (2011).
Bateman, J., Nimmrichter, S., Hornberger, K. & Ulbricht, H. Near-field interferometry of a free-falling nanoparticle from a point-like source. Nat. Commun. 5, 1–5 (2014).
Aspelmeyer, M., Kippenberg, T. J. & Marquardt, F. Cavity optomechanics. Rev. Mod. Phys. 86, 1391–1452 (2014).
Millen, J., Monteiro, T. S., Pettit, R. & Vamivakas, A. N. Optomechanics with levitated particles. Rep. Prog. Phys. 83, 026401 (2020).
Hempston, D. et al. Force sensing with an optically levitated charged nanoparticle. Appl. Phys. Lett. 111, 133111 (2017).
Arita, Y., Mazilu, M. & Dholakia, K. Laser-induced rotation and cooling of a trapped microgyroscope in vacuum. Nat. Commun. 4, 2374 (2013).
Kuhn, S. et al. Optically driven ultra-stable nanomechanical rotor. Nat. Commun. 8, 1670 (2017).
Monteiro, F., Ghosh, S., van Assendelft, E. C. & Moore, D. C. Optical rotation of levitated spheres in high vacuum. Phys. Rev. A 97, 051802(R) (2018).
Reimann, R. et al. GHz rotation of an optically trapped nanoparticle in vacuum. Phys. Rev. Lett. 121, 033602 (2018).
Hebestreit, E., Frimmer, M., Reimann, R. & Novotny, L. Sensing static forces with free-falling nanoparticles. Phys. Rev. Lett. 121, 063602 (2018).
Rondin, L. et al. Direct measurement of Kramers turnover with a levitated nanoparticle. Nat. Nanotechnol. 12, 1130–1134 (2017).
Marshall, W., Simon, C., Penrose, R. & Bouwmeester, D. Towards quantum superpositions of a mirror. Phys. Rev. Lett. 91, 13 (2003).
Kleckner, D. et al. Creating and verifying a quantum superposition in a micro-optomechanical system. N. J. Phys. 10, 095020 (2008).
Windey, D. et al. Cavity-based 3D cooling of a levitated nanoparticle via coherent scattering. Phys. Rev. Lett. 122, 123601 (2019).
Delić, U. et al. Levitated cavity optomechanics in high vacuum. Quantum Sci. Technol. 5, 025006 (2020).
Safavi-Naeini, A. H. et al. Squeezed light from a silicon micromechanical resonator. Nature 500, 185–189 (2013).
Riedinger, R. et al. Non-classical correlations between single photons and phonons from a mechanical oscillator. Nature 530, 313–316 (2016).
Riedinger, R. et al. Remote quantum entanglement between two micromechanical oscillators. Nature 556, 473–477 (2018).
Chen, J., Rossi, M., Mason, D. & Schliesser, A. Entanglement of propagating optical modes via a mechanical interface. Nat. Commun. 11, 943 (2020).
Gröblacher, S., Hammerer, K., Vanner, M. R. & Aspelmeyer, M. Observation of strong coupling between a micromechanical resonator and an optical cavity field. Nature 460, 724–727 (2009).
Teufel, J. D. et al. Circuit cavity electromechanics in the strong-coupling regime. Nature 471, 204–208 (2011).
Teufel, J. D. et al. Sideband cooling of micromechanical motion to the quantum ground state. Nature 475, 359–363 (2011).
Verhagen, E., Deléglise, S., Weis, S., Schliesser, A. & Kippenberg, T. J. Quantum-coherent coupling of a mechanical oscillator to an optical cavity mode. Nature 482, 63–67 (2012).
Dobrindt, J. M., Wilson-Rae, I. & Kippenberg, T. J. Parametric normal-mode splitting in cavity optomechanics. Phys. Rev. Lett. 101, 1–4 (2008).
Thompson, R. J., Rempe, G. & Kimble, H. J. Observation of normal-mode splitting for an atom in an optical cavity. Phys. Rev. Lett. 68, 1132–1135 (1992).
Vuletić, V., Chan, H. W. & Black, A. T. Three-dimensional cavity Doppler cooling and cavity sideband cooling by coherent scattering. Phys. Rev. A 64, 033405 (2001).
Gonzalez-Ballestero, C. et al. Theory for cavity cooling of levitated nanoparticles via coherent scattering: master equation approach. Phys. Rev. A 100, 013805 (2019).
Chikkaraddy, R. et al. Single-molecule strong coupling at room temperature in plasmonic nanocavities. Nature 535, 127–130 (2016).
Kleemann, M. E. et al. Strong-coupling of WSe2 in ultra-compact plasmonic nanocavities at room temperature. Nat. Commun. 8, 1296 (2017).
Gieseler, J. Dynamics of Optically Levitated Nanoparticles in High Vacuum. Ph.D. thesis, ICFO (2014).
Tebbenjohanns, F., Frimmer, M., Jain, V., Windey, D. & Novotny, L. Motional sideband asymmetry of a nanoparticle optically levitated in free space. Phys. Rev. Lett. 124, 13603 (2020).
Jain, V. et al. Direct measurement of photon recoil from a levitated nanoparticle. Phys. Rev. Lett. 116, 243601 (2016).
Mestres, P. et al. Cooling and manipulation of a levitated nanoparticle with an optical fiber trap. Appl. Phys. Lett. 107, 151102 (2015).
Acknowledgements
The authors thank J. Gieseler and C. González-Ballestero for stimulating discussions. The project acknowledges financial support from the European Research Council through grant QnanoMECA (CoG-64790), Fundació Privada Cellex, CERCA Programme/Generalitat de Catalunya, and the Spanish Ministry of Economy and Competitiveness through the Severo Ochoa Programme for Centres of Excellence in R&D (SEV-2015-0522). This project has received funding from the European Union’s Horizon 2020 research and innovation programme under the Marie Skłodowska-Curie grant agreement No. 713729.
Author information
Authors and Affiliations
Contributions
A.d.l.R.S. performed the measurements, N.M. evaluated the data and wrote the manuscript, R.Q. supervised the study.
Corresponding author
Ethics declarations
Competing interests
The authors declare no competing interests.
Additional information
Peer review information Nature Communications thanks James Millen and the other anonymous reviewer(s) for their contribution to the peer review of this work.
Publisher’s note Springer Nature remains neutral with regard to jurisdictional claims in published maps and institutional affiliations.
Supplementary information
Rights and permissions
Open Access This article is licensed under a Creative Commons Attribution 4.0 International License, which permits use, sharing, adaptation, distribution and reproduction in any medium or format, as long as you give appropriate credit to the original author(s) and the source, provide a link to the Creative Commons license, and indicate if changes were made. The images or other third party material in this article are included in the article’s Creative Commons license, unless indicated otherwise in a credit line to the material. If material is not included in the article’s Creative Commons license and your intended use is not permitted by statutory regulation or exceeds the permitted use, you will need to obtain permission directly from the copyright holder. To view a copy of this license, visit http://creativecommons.org/licenses/by/4.0/.
About this article
Cite this article
de los Ríos Sommer, A., Meyer, N. & Quidant, R. Strong optomechanical coupling at room temperature by coherent scattering. Nat Commun 12, 276 (2021). https://doi.org/10.1038/s41467-020-20419-2
Received:
Accepted:
Published:
Version of record:
DOI: https://doi.org/10.1038/s41467-020-20419-2
This article is cited by
-
High purity two-dimensional levitated mechanical oscillator
Nature Communications (2025)
-
Cavity-mediated long-range interactions in levitated optomechanics
Nature Physics (2024)
-
Nonlinear multi-frequency phonon lasers with active levitated optomechanics
Nature Physics (2023)
-
Microcavity phonoritons – a coherent optical-to-microwave interface
Nature Communications (2023)
-
Scalable all-optical cold damping of levitated nanoparticles
Nature Nanotechnology (2023)







