Abstract
Construction of Z-scheme heterostructure is of great significance for realizing efficient photocatalytic water splitting. However, the conscious modulation of Z-scheme charge transfer is still a great challenge. Herein, interfacial Mo-S bond and internal electric field modulated Z-scheme heterostructure composed by sulfur vacancies-rich ZnIn2S4 and MoSe2 was rationally fabricated for efficient photocatalytic hydrogen evolution. Systematic investigations reveal that Mo-S bond and internal electric field induce the Z-scheme charge transfer mechanism as confirmed by the surface photovoltage spectra, DMPO spin-trapping electron paramagnetic resonance spectra and density functional theory calculations. Under the intense synergy among the Mo-S bond, internal electric field and S-vacancies, the optimized photocatalyst exhibits high hydrogen evolution rate of 63.21 mmol∙g−1·h−1 with an apparent quantum yield of 76.48% at 420 nm monochromatic light, which is about 18.8-fold of the pristine ZIS. This work affords a useful inspiration on consciously modulating Z-scheme charge transfer by atomic-level interface control and internal electric field to signally promote the photocatalytic performance.
Similar content being viewed by others
Introduction
With the rapid development of the industrial society, the energy crisis and environmental pollution issues are getting more and more serious. Therefore, finding an alternative energy source is of great significance for the long-term development of human society. Hydrogen (H2) has long been considered as an excellent candidate to substitute the fossil fuel, due to its advantages of clean, renewable, high energy density, and transportability1,2,3. However, at present, the low efficiency, high energy consumption, and environmentally hazardous H2 production technology seriously restrict the commercial application of hydrogen energy. By comparison, photocatalytic water splitting can tactfully convert the sustainable solar energy to H2 energy without discharging any pollutant during the whole process, thus has been considered as a sustainable and promising technique1,4,5.
In the past few years, metal chalcogenide semiconductor photocatalyst, such as ZnS, CdS, PbS, ZnIn2S4, have absorbed extensively attention due to the favorable visible-light response ability6,7,8. ZnIn2S4 is a typical ternary layered metal chalcogenide semiconductor with adjustable band gap of 2.06~2.85 eV, besides, the conduction band is about −1.21 eV, suggesting the intense reducing capacity of the photogenerated electrons9. In addition to the suitable band structure, ZnIn2S4 also possess the prominent photo-stability, environmental and human friendliness in comparison to CdS and PbS10. Whereas, the photocatalytic property of the single ZnIn2S4 is unsatisfying because of the serious carrier recombination. For pursuing the higher photocatalytic activity of ZnIn2S4, researchers have thrown tremendous efforts, including phase and morphology regulating, elements doping, cocatalyst-loading, defect engineering, and heterojunction constructing11,12,13,14,15. Among these strategies, defect engineering and heterojunction constructing are the two-effective means. In photocatalytic field, introducing anion vacancies in semiconductor can not only enhance the light absorption ability of the pristine semiconductor, but also introduce mid gap states in the band gap, which can serve as effective electron “traps” accelerating the separation efficiency of photocarriers16. Nevertheless, the excessive defects in photocatalyst can also act as the recombination sites of photocarriers, thus deteriorating the photocatalytic performance17. Therefore, regulating the defect in an appropriate concentration would ensure the high activity and stability of photocatalyst18. In addition, as known from the reported literatures, the only defect introduction is not enough for realizing efficient photocatalytic property.
Heterojunction constructed by coupling different materials with diverse energy level structure is another effective means to improve photocatalytic performance19,20,21,22,23. In recent years, Z-scheme heterostructure, especially the direct Z-scheme heterostructure, has become one of the most effective strategy for obtaining high-efficient photocatalyst 22,23. For example, Huang et al. reported a HxMoO3@ZnIn2S4 direct Z-scheme photocatalyst for efficient hydrogen production. The results demonstrates that the HxMoO3@ZnIn2S4 presents a 10.5 times higher H2-production activity (5.9 mmol·g−1·h−1) than pristine ZnIn2S424. To fabricate the Z-scheme heterostructure, the primary premise is the matching band structure, in which the conduction band of one semiconductor should locate as close to the valence band of another semiconductor as possible. It is reported that the conduction band potential of MoSe2 (about −0.45 eV25) is lower than the conduction band of ZnIn2S4, but very close to its valence band (0.99 eV9), which suggests that the photogenerated electrons in the conduction band of MoSe2 are likely to recombine with the photogenerated holes in the valence band of ZnIn2S4 following Z-scheme pathway. However, as known from the current literatures, MoSe2 can only play the role of cocatalyst in ZnIn2S4/MoSe2 instead of realizing Z-scheme charge transfer26,27. The question is that there is no direct and intimate interfacial connection between MoSe2 and ZnIn2S4. The poor interfacial contact is like erecting a “wall” between the two semiconductors, seriously preventing the trajection of charge flow. Therefore, the formation of intimate interface contact became the hinge to Z-scheme photocatalyst fabrication.
Recently, defect-induced heterostructure construction have opened thought for assembling the heterostructure with specific atomic-level interfacial contact22. Its basic principle lies on that the defective sites with abundant coordinative unsaturation atoms and delocalize local electrons can act as the anchoring sites for other semiconductors to form a unique heterostructure contact interface with chemical bond connection28. The interfacial chemical bond can act as specific “bridge” accelerating charge transfer between semiconductors. In addition to the intimate interface combination, internal electric field also emerging as a viable strategy to promote Z-scheme charge transfer29. Under the effect of internal electric field, the photogenerated electrons in the conduction band of one semiconductor with lower Fermi level could directionally transfer to the valence band of another semiconductor with higher Fermi level, thus realizing the Z-scheme charge transfer30. Inspired by the above considerations, an efficient Z-scheme photocatalyst can be obtained through establishing intimate interfacial chemical bond connection between two semiconductors with specific band structure and Fermi level. Up to now, however, the interfacial bonding and internal electric field are always considered separately, the jointly modulation and their synergy effect on photocatalytic performance still remains a challenging task.
Herein, taking S vacancies-rich ZnIn2S4 (Sv-ZIS) and MoSe2 as model material, through a defect-induced heterostructure constructing strategy, an interfacial Mo-S bond and internal electric field modulated Z-scheme Sv-ZIS/MoSe2 photocatalyst was fabricated. The addition of hydrazine monohydrate (N2H4 ∙ H2O) provides pivotal prerequisite for the formation of S vacancies and coordinative unsaturation S atoms, where the S vacancies can enhance light absorption and facilitate photocarriers separation, while the abundant coordinative unsaturation S atoms can serve as anchoring sites for Mo atoms, thus contributing the formation of Mo-S bond and the in-situ growth of MoSe2 on the surface of Sv-ZIS (as showing in Fig. 1). During photocatalytic reaction, the internal electric field induced by the different work function between Sv-ZIS and MoSe2 provide intense driving force steering the photogenerated electrons on the conduction band of MoSe2 transfer to the valence band of Sv-ZIS, that’s the Z-scheme mechanism. Meanwhile, the interfacial Mo-S bond afford the fast pathways for charge transfer from MoSe2 to Sv-ZIS, thus accelerating the Z-scheme charge transfer process. This work provides a constructive reference for atomic-level interfacial and internal electric field regulating Z-scheme heterostructure for efficient photocatalytic reaction.
Schematic presentation of the synthetic route of Sv-ZnIn2S4 and Sv-ZnIn2S4/MoSe2 heterostructure.
Results and discussion
Characterizations of as-prepared photocatalysts
The morphology and microstructure of the as-synthesized ZIS, MoSe2 and Sv-ZIS/MoSe2 (the optimized sample) were analyzed by the SEM, TEM and HRTEM characterizations. As observed in Fig. 2a, the basic morphology of ZIS is flower-like hierarchical microsphere composed by plenty of intersecting nanoflakes, which benefits to the exposure of active surface. The TEM image in Fig. 2b further reveals the hierarchical microsphere of ZIS assembled by nanoflakes. Furtherly, as shown in the HRTEM image in Fig. 2c, the clear lattice stripes with interplanar spacing (d) of 0.32 nm can be well indexed to the (102) lattice plane of hexagonal ZnIn2S4 (JCPDS:65-2023)9. Figures S1–S2 are the elements mapping and EDS spectrum of ZIS, it can be clearly seen the evenly distributed Zn, In and S elements, and the atomic ratio of Zn/In/S can be calculated to be about 1.00/1.85/4.13 (as listed in Table S1), very close to the stoichiometric ratio in ZnIn2S4. Figure S3 presents the SEM, TEM and element mapping images of the Sv-ZIS. It is found that the Sv-ZIS appears the identical morphology and structure with ZIS, suggesting that the N2H4 ∙ H2O-assisted hydrothermal treatment cannot destroy the flower-like microsphere structure of ZIS. The atomic ratio of Zn/In/S in Sv-ZIS sample is ~1.00/1.92/3.35 (as displayed in Table S2), the distinctly deficient of S atom compared to that in ZIS confirms the existence of abundant S vacancies in ZIS. Figure 2d is the TEM picture of MoSe2, which manifests the nanosheet feature. The HRTEM image (Fig. 2e and f) present the d-spacing of 0.65 and 0.24 nm, assigning to the (002) and (103) lattice planes of 2H-MoSe2 (JCPDS: 29-0914), respectively31. Figure 2g is the SEM image of Sv-ZIS/MoSe2, which exhibits almost the same morphology with ZIS, moreover, the ZIS and MoSe2 in the Sv-ZIS/MoSe2 structure are undistinguishable, indicating that the MoSe2 was grown on the surface of ZIS intimately to form a 2D/2D contact, and the introduction of MoSe2 can hardly affect the hierarchical microsphere morphology of ZIS. The TEM image displaying in Fig. 2h and i further reveal the hierarchical flower-like microsphere structure of Sv-ZIS/MoSe2, which could lead to the enhanced light absorption by the multilevel reflection and scattering of the incident light32. Furthermore, the HRTEM picture displaying in Fig. 2j shows the different lattice stripes with d value of 0.32 and 0.24 nm, respectively, which can be indexed to the (102) crystal face of hexagonal ZnIn2S4 (JCPDS:65-2023) and the (103) lattice planes of 2H-MoSe2 (JCPDS: 29-0914), respectively. The HRTEM results indicate that MoSe2 are directly grown and attach on the ZIS nanosheets substrate. Figure 2k-p is the EDS spectra and element mapping of Sv-ZIS/MoSe2, as displayed, the distribution of Zn, In, S elements are dense and uniform, meanwhile, the Mo and Se elements are relatively sparse but still evenly distributed. From the EDS spectrum, the mass ratio of MoSe2 to ZIS can be calculated to be about 4.8% (as presented in Table S4), which is very close to the ratio of the added raw materials. What’s more, the atomic ratio of Zn/In/S in Sv-ZIS/MoSe2 was determined to be 1.00/1.83/3.25, indicating that there is still a mass of S vacancies inside Sv-ZIS/MoSe2.
a–c SEM, TEM, and HRTEM pictures of ZIS, d–f TEM and HRTEM images of MoSe2, g–j SEM, TEM, and HRTEM images of Sv-ZIS/MoSe2, k–p EDS and elements mapping of Zn, In, S, Mo, and Se in Sv-ZIS/MoSe2, q XRD patterns of ZIS, Sv-ZIS, MoSe2 and Sv-ZIS/MoSe2, r Raman spectra of Sv-ZIS, MoSe2 and Sv-ZIS/MoSe2, and s EPR spectra of ZIS, Sv-ZIS and Sv-ZIS/MoSe2.
The ZIS, Sv-ZIS, MoSe2 and Sv-ZIS/MoSe2 were further characterized by X-ray diffraction (XRD) to determine the phase composition. As displayed in Fig. 2q, the XRD pattern of MoSe2 matches well with 2H-MoSe2 (JCPDS:29-0914)31. Meanwhile, ZIS displays the distinct peaks at 21.6°, 27.7°, 30.4°, 39.8°, 47.2°, 52.4°, 55.6° and 76.4°, which can be severally indexed to the (006), (102), (104), (108), (110), (116), (022) and (213) crystal planes of hexagonal ZnIn2S4 (JCPDS:65-2023)9. It is worth noting that the Sv-ZIS sample shows almost the same XRD pattern with ZIS, indicating that the introduction of S vacancies can hardly affect the size and crystal structure of ZIS. Moreover, in the XRD patterns of Sv-ZIS/MoSe2, in addition to the peaks of hexagonal ZIS, a new peak at about 13.7° can be well assigned to the (002) crystal face of MoSe2, reconfirming the successful synthesis of Sv-ZIS/MoSe2 composite.
To further characterize the chemical structures of the as-synthesized photocatalyst, the Raman spectra were carried out (shown in Fig. 2r). As observed in the Raman spectra of MoSe2, the peaks located at 235.4, 277.4 and 330.8 cm−1 stem from the A1g, E2g and B2g modes of 2H-MoSe2, respectively, while the peak at 142.1 cm−1 is associated to the E1g mode of the in-plane bending of Se atoms in 2H-MoSe232. For the Raman spectra of Sv-ZIS, the peaks located at 244.8 and 348.9 cm−1 can be severally assigned to the F2g and A1g modes of ZnIn2S4. Furtherly, as for the Sv-ZIS/MoSe2 (the red line), in addition to the E1g mode of 2H-MoSe2, and the F2g and A1g modes of ZnIn2S4, a new emerging peak situated at about 404.9 cm−1 can be indexed to the Mo-S bonding state33, suggesting that the Sv-ZIS and MoSe2 were combined intimately by Mo-S bond. Additionally, it can be observed that all the peaks in Sv-ZIS/MoSe2 exhibited evidently blue-shift compared to that in Sv-ZIS, further revealing the intense chemical coupling effect between the Sv-ZIS and MoSe234.
To further testify the existence of S vacancies, the electron paramagnetic resonance (EPR) was carried out (Fig. 2s). For the original ZIS sample, the EPR intensity can hardly be observed, in comparison, the Sv-ZIS sample shows the sharply increased EPR signal at a g-factor of 2.009, confirming the abundant S-vacancies in Sv-ZIS35,36. In addition, it is interesting to observe that the EPR intensity of Sv-ZIS/MoSe2 exhibits slightly decreased compared to that of Sv-ZIS, which should be contributed to the bonding effect among Mo and unsaturated S in Sv-ZIS, decreasing the number of unpaired electrons, but the S vacancies in ZIS have not been sewed up by compositing MoSe237.
The X-ray photoelectron spectroscopy (XPS) was applied to investigate the surface composition and chemical states of ZIS, Sv-ZIS and Sv-ZIS/MoSe2, and the results are showing in Fig. 3. As can be found from the survey spectrum (Fig. 3a), the Zn, In and S peaks are coexisting in ZIS and Sv-ZIS, in comparison, Mo and Se peaks can also be observed in the Sv-ZIS/MoSe2, which is agree with the EDS test results. As observed in Fig. 3b, the S 2p3/2 and 2p1/2 of the original ZIS located at 161.72 and 162.97 eV, respectively, in accordance with the reported literature36. In comparison, the S 2p3/2 and 2p1/2 of Sv-ZIS presented evident negative-shift of about 0.14 eV and 0.19 eV, respectively, verifying the generation of S vacancies in ZIS. The S-vacancies can serve as strong electron-withdrawing group for facilitating the ZIS electrons transfer to S-vacancies, thus decreasing the equilibrium electron cloud density of S atoms inside ZIS, and further leading to the decreased binding energy38,39. Furtherly, it can be noted that the S 2p3/2 and 2p1/2 of Sv-ZIS/MoSe2 exhibited a positive-shift of about 0.13 and 0.17 eV compared to that of Sv-ZIS, which should be caused by the strong interfacial interaction between MoSe2 and Sv-ZIS34. Besides, as shown in Fig. 3c and d, the Zn 2p and In 3d in Sv-ZIS also exhibited a slightly negative-shift compared to that in ZIS, which could be explained that the generation of S vacancies leading to the decreased coordination number of Zn and In37. After combining with MoSe2, the Zn 2p and In 3d peaks re-shift to the high binding energy region, revealing that the bonding effect between Mo atoms in MoSe2 and unsaturated coordination S in Sv-ZIS contributing to the slightly increased electron cloud density around Zn and In. Interestingly, it can also be observed that the binding energy variation of Zn 2p in ZIS, Sv-ZIS, and Sv-ZIS/MoSe2 are more notable than that of In 3d, revealing that the Mo were mainly bonded with the S around Zn sites37. What’s more, according to the XPS peak area, the actual atomic ratio of Zn/In/S in ZIS, Sv-ZIS and Sv-ZIS/MoSe2 are 1.00/2.15/3.87, 1.00/2.20/3.29, and 1.00/2.14/3.36, respectively. The lower S atom ratio in Sv-ZIS and Sv-ZIS/MoSe2 further confirm the presence of abundant S vacancies. As shown in Fig. 3e, the peaks at 228.05 and 230.5 eV can be attributed to Mo 3d5/2 and 3d3/2 of Mo4+ in MoSe2, meanwhile, the peak at 227.1 eV verified the formation of Mo-S bond40. Figure 3f is the Mo 3p spectrum, as observed, four distinct XPS peaks can be distinguished, where the peaks at 400.55 and 390.3 eV can be corresponded to the Se Auger peaks, and the peaks at 395 and 416 eV can be assigned to the Mo 3p3/2 and 3p1/2 of Mo4+. The Se 3d spectrum presented in Fig. 3g shows two peaks at 54.4 and 55.35 eV, which can be indexed to Se 3d5/2 and 3d3/2 of Se2- in MoSe2, respectively32. The XPS results further confirm the successful synthesis of Sv-ZIS and Sv-ZIS/MoSe2 with abundant S-vacancies, and the MoSe2 is attached on the surface of Sv-ZIS through Mo-S bond.
a survey, b S 2p, c Zn 2p, d In 3d for ZIS, Sv-ZIS and Sv-ZIS/MoSe2, e Mo 3d and S 2 s, f Mo 3p and g Se 3d of Sv-ZIS/MoSe2.
Photocatalytic H2 evolution activity measurements
The photocatalytic H2 evolution were evaluated under the visible light (λ > 420 nm) irradiation, the corresponding test results are showing in Fig. 4. As shown in Fig. 4a and b, all the tested samples exhibit H2 production activity except for MoSe2. The pristine ZIS exhibits the poor H2 production activity of about only 3.36 mmol∙g−1·h−1, in comparison, the Sv-ZIS presents a slightly improved H2 evolution rate of 4.77 mmol∙g−1·h−1. The improved photocatalytic performance of Sv-ZIS should be ascribed to the accelerated photocarriers separation induced by S vacancies as the electrons trap. Furtherly, the introduction of MoSe2 gave rise to the distinctly improved H2 evolution activity, and the H2 evolution rate of Sv-ZIS/MoSe2 increased with the mass ratio of MoSe2 to ZIS increasing. Until the mass ratio of MoSe2 to ZIS reaches to 5.0%, the H2 evolution rate reaches to the highest of 63.21 mmol∙g−1·h−1, which is about 18.8 and 13.3 times higher than that of pristine ZIS and Sv-ZIS, respectively, and superior to the recently reported ZnIn2S4-based photocatalytic system (as listed in Table S6). It can also be observed that the Sv-ZIS-5.0MoSe2 (synthesized by mixing Sv-ZIS and MoSe2 by ultrasound) performs obvious inferior H2 evolution property compared to that of Sv-ZIS/5.0MoSe2, indicating that the in-situ growth of MoSe2 on Sv-ZIS connecting by Mo-S bond plays critical influence on the photocatalytic performance of the ZIS-MoSe2 composite, which should be attributed to that the Mo-S bond could facilitate the charge transfer between Sv-ZIS and MoSe2. Besides, Fig. S5 shows the wavelength dependent hydrogen evolution efficiency of Sv-ZIS/MoSe2, which was tested following the similar procedure of photocatalytic H2 evolution, except that the band-pass filter was equipped to obtain monochromatic incident light (λ=380, 420, 500 and 600 nm). The detailed test results and the light power of different monochromatic light are displaying in Table S5. Accordingly, the AQY of photocatalytic H2 evolution over the Sv-ZIS/MoSe2 photocatalyst can be calculated (the detailed calculation process is shown in the Supporting Information) and the action spectrum was displayed in Fig. 4c. As observed, the action spectrum of Sv-ZIS/MoSe2 matches well with the UV-vis absorption spectra, besides, the AQY values of Sv-ZIS/MoSe2 are about 93.08% (380 nm), 76.48% (420 nm), 29.7% (500 nm) and 0.15% (600 nm), indicating the favorable optical absorption and utilization capacity of Sv-ZIS/MoSe2 photocatalyst. Fig. S6 is the AQY of ZIS and Sv-ZIS, it can be observed that under different monochromatic light wavelength, the AQY of Sv-ZIS are larger than that of ZIS, suggesting the more efficient photons to H2 conversion ability of Sv-ZIS, which should be caused by the enhanced light absorption and the promoted photocarriers separation efficiency by introducing abundant S-vacancies in Sv-ZIS. In addition to the excellent photocatalytic H2 evolution efficiency, the recycling stability is also a pivotal factor for the practical application of photocatalyst. As discerned in Fig. 4d, the H2 evolution amount of the optimized Sv-ZIS/MoSe2 photocatalyst remains about 90.5% after 20 h of 5 cycles of photocatalytic tests, signifying the favorable photocatalytic stability of Sv-ZIS/MoSe2 photocatalyst, which maybe contributed to the strong combination between ZIS and MoSe2 through Mo-S bond.
a H2 evolution amount at different irradiation time and b H2 evolution rate of different photocatalysts, c wavelength-dependent apparent quantum yield (AQY) and d cycling stability test of Sv-ZIS/5.0MoSe2. The vertical error bars indicate the maximum and minimum values obtained; the dot represents the average value.
Photophysical and Electrochemical Properties
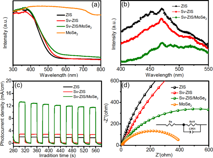
Figure 5a is the UV-vis absorption spectra of ZIS, Sv-ZIS, MoSe2 and Sv-ZIS/MoSe2. It is apparent that the MoSe2 shows the intense light absorption in the whole UV-vis light range, which should be caused by its dark black color. Meanwhile, it can be observed that light absorption intensity of Sv-ZIS is higher than that of ZIS, indicating that the introduction of S vacancies can influence the band structure of ZIS. Furtherly, after combining with MoSe2, the light absorption of Sv-ZIS/MoSe2 increased again compared to Sv-ZIS. The improved light absorption is in favor of the generation of photocarriers, and beneficial for the enhancement of photocatalytic performance9. Figure 5b is the PL spectroscopy. As displayed, under the 375 nm excitation wavelength, the pristine ZIS displays a prominent emission peak, indicating the intense recombination of photogenerated carriers inside ZIS. In comparison to ZIS, the emission peak intensity of Sv-ZIS decreases lightly, which should be contributed to that S vacancies can act as electrons trap for facilitating the photocarriers separation. It is worth noting that the PL signal of Sv-ZIS/MoSe2 sample is further quenched compared to that of Sv-ZIS, revealing the positive effect of MoSe2 for suppressing the recombination of photocarriers. Figure 5c is the photocurrent response. As observed, all the tested samples exhibit the light-response characteristic under the FX-300 Xe lamp. Obviously, the photocurrent density is in the order of Sv-ZIS/MoSe2 > Sv-ZIS > ZIS. The highest photocurrent density of Sv-ZIS/MoSe2 reveals the most accelerated photocarriers separation and migration efficiency. Figure 5d is the electrochemical impedance spectroscopy (EIS). As compared, MoSe2 express the smallest semicircle, meanwhile, the semicircle of ZIS is the largest. Obviously, the semicircle of Sv-ZIS is slightly lower than that of ZIS, and the semicircle of Sv-ZIS/MoSe2 is significantly decreased than that of pristine ZIS and Sv-ZIS, manifesting that the introduction of S vacancies and the combination with MoSe2 can decrease the interfacial charge transfer resistance, which is in favor of photogenerated carriers transfer and separation, and finally facilitate the photocatalytic property.
a UV-vis absorption spectrum, b photoluminescence spectra (PL, excited at 375 nm), c photocurrent response and d electrochemical impedance spectroscopy (EIS) of the as-prepared samples.
In order to investigate the effects of the MoSe2 to ZIS mass ratio on the photocatalytic performance of Sv-ZIS/MoSe2 composites. The light absorption, photocarriers separation and photocurrent density of Sv-ZIS/MoSe2 photocatalysts with different mass ratio of MoSe2 to ZIS were also characterized by UV-vis absorption, steady-state PL spectroscopy and photocurrent response. As observed in Fig. S7, with increasing the mass ratio of MoSe2 to ZIS, the light absorption intensity enhance gradually. It is worth mentioning that the Sv-ZIS/7.0MoSe2 sample displays the strongest light absorption ability, but its photocatalytic H2 production performance is not the best (as known from Fig. 4a), suggesting that the light absorption is not the only decisive factor for the photocatalytic activity. Fig. S8 is the PL spectra, it can be observed that the PL peak of Sv-ZIS/5.0MoSe2 is the lowermost, revealing the most effective photocarriers separation when the mass ratio of MoSe2 to ZIS is 5%, which directly explains why the Sv-ZIS/5.0MoSe2 sample has the best photocatalytic performance. Figure S9 shows the photocurrent response. As displayed, the Sv-ZIS/5.0MoSe2 shows the highest photocurrent density, which is the result of high-efficiency separation and transfer of photogenerated electron and hole, further revealing the optimum photocatalytic performance of Sv-ZIS/5.0MoSe2. As known from the above results, the prominent photocatalytic performance requires the coordination among the efficient light absorption, photocarrier separation and transfer ability.
Mechanism analysis
Furtherly, the bandgap value (Eg) of the tested sample can be obtained from the Kubelka-Munk function vs. the energy of incident light plots41. As displayed in Fig. 6a, the Eg of ZIS, Sv-ZIS and Sv-ZIS/MoSe2 can be estimated to be 2.35, 2.28 and 2.19 eV, respectively. The narrower Eg is beneficial for the incident light absorption and photocarriers generation, thereby contributing to the photocatalytic property42. The Mott-Schottky (M-S) plot can be obtained by the following formula of \({{C}}_{{sc}}^{-2}=\frac{2}{\varepsilon {\varepsilon }_{0}e{N}_{D}}\left(E-{E}_{{fb}}-\frac{{k}_{B}T}{e}\right)\), in which CSC represents space charge capacitance, ɛ represents the dielectric constant, ɛ0 represents the permittivity of vacuum, e represents the single electron charge, ND represents the charge carrier density, Efb represents the flat band potential, kB represents the Boltzmann constant, and T represents the temperature, E represents the electrode potential9. As displayed in Fig. 6b-d, the Efb of ZIS, Sv-ZIS and MoSe2 can be determined to be −0.96, −0.9 and −0.1 V (vs. NHE), respectively, by extending the linear part of M-S plots. Besides, all the tested samples exhibit the positive slope of M-S plots, indicating the n-type semiconductor traits43. As known, the conduction band potential (ECB) of n-type semiconductor is ~0.2 eV negative than the Efb44, thus the ECB of ZIS, Sv-ZIS and MoSe2 can be discerned to −1.16, −1.1 and −0.3 V (vs. NHE), respectively. According to the equation of EVB = ECB + Eg (EVB is the potential of valence band (VB)), the EVB of the ZIS and Sv-ZIS can be estimated to 1.19 and 1.18 V vs. NHE, respectively. According to the reported literature, the Eg of MoSe2 is about 1.89 eV, therefore, the EVB of MoSe2 can be determined to be 1.59 eV25.
a Kubelka-Munk function vs. the energy of incident light plots, b–d Mott-Schottky (M-S) plot, e UPS spectra of the as-prepared samples, and f band structure of Sv-ZIS, MoSe2 and Sv-ZIS/MoSe2.
The work function (ɸ) is an important nature for reflecting the escaping ability of free electron from Fermi level (Ef) to vacuum level45. To investigate the mechanism for the excellent photocatalytic performance of Sv-ZIS/MoSe2, the ultraviolet photoelectron spectroscopy (UPS) with He I as the excitation source was conducted. As displayed in Fig. 6e, the secondary cutoff binding energy (Ecutoff) of Sv-ZIS and MoSe2 can be respectively determined as 17.65 and 16.87 eV, by extrapolating the linear part to the base line of the UPS spectra. Based on the formula of ɸ=hv-Ecutoff, the ɸ of Sv-ZIS and MoSe2 can be calculated as 3.57 and 4.35 eV, respectively. Hence, the Ef of Sv-ZIS and MoSe2 can be determined as −0.93 and −0.15 V (vs. NHE), respectively. Based on the above calculation and analysis results, the detailed band structure of Sv-ZIS, MoSe2 and Sv-ZIS/MoSe2 were depicted in Fig. 6f. As observed, the Ef of MoSe2 is below that of Sv-ZIS, hence, when Sv-ZIS and MoSe2 contact and form an intimate interface, the free electrons in Sv-ZIS with high Ef would spontaneously diffuse to MoSe2 with low Ef, until a new equilibrium state Ef fabricated. The electron drifting from Sv-ZIS to MoSe2 result in the charge redistribution on the interface between Sv-ZIS and MoSe2, in which the interface near Sv-ZIS side is positively charged, while negatively charged near the MoSe2 side, as result, an internal electric field from Sv-ZIS to MoSe2 was built46.
To further reveal the photocatalytic reaction mechanism of Sv-ZnIn2S4/MoSe2 heterostructure, the density functional theory (DFT) calculations were conducted out. Figure 7(a) is the optimized structure of Sv-ZnIn2S4/MoSe2 heterostructure, where the coordinative unsaturation S atoms was simulated by breaking two Zn-S bonds in the surface of ZnIn2S4. According to Population analysis and Hirshfeld analysis results, the population of Mo001–S018 is 0.34, and the transferred charge between MoSe2 and Sv-ZnIn2S4 is 0.12 | e | . The above results directly demonstrate the intense bonding effect between the Mo atom in MoSe2 and the coordinative unsaturation S atom in ZnIn2S4. Figure 7(b) shows the side view of charge density difference of Sv-ZnIn2S4/MoSe2, where the red and blue iso-surfaces denote the accumulation and depletion of electron density, respectively. As observed, the electron cloud density presents distinctly localized distribution between the Mo atom in MoSe2 and the coordinative unsaturation S atoms in Sv-ZnIn2S4, which more intuitively manifests the intense bonding effect between Mo and S. In addition, it can be noted that the surface of MoSe2 was dominantly covered by red color, while Sv-ZnIn2S4 was chiefly filled by blue color, suggesting that the electrons in Sv-ZnIn2S4 were transfer to MoSe2 along the intimate heterointerface, which would subsequently induce the internal electric field in Sv-ZnIn2S4/MoSe2 heterostructure47.
a The optimized structure and b the side view of charge density difference of Sv-ZnIn2S4/MoSe2 heterostructure. c photocatalytic reaction mechanism of Sv-ZIS/MoSe2 under light irradiation, d Surface photovoltage (SPV) measurement of Sv-ZIS, MoSe2 and Sv-ZIS/MoSe2, and e DMPO spin-trapping electron paramagnetic resonance (EPR) spectra of DMPO- ∙ O2- of Sv-ZIS/MoSe2 in methanol solution.
Accordingly, the photocatalytic reaction mechanism of Sv-ZIS/MoSe2 can be elaborated in Fig. 7c. Under the irradiation of visible light, a mass of photoinduced electrons (e-) with enough energy would transfer from the VB of Sv-ZIS and MoSe2 to the CB of Sv-ZIS and MoSe2, respectively, while the holes (h+) be left on the VB of Sv-ZIS and MoSe2, respectively. It should be mentioned that the abundant S vacancies inside ZIS could introduce new donor level in the band gap of ZIS, which can act as efficient electrons trap to suppress the photogenerated electron-hole pairs recombination48. Furtherly, under the driving effect of the internal electric field, the electrons on the CB of MoSe2 would migrate to the VB of Sv-ZIS to recombine with the holes. The Mo-S bond acting as atomic-level interfacial “bridge” can promote the photoexcited carriers migration between Sv-ZIS and MoSe2, thus significantly accelerating the Z-scheme charge transfer. To validate the Z-scheme charge transfer mechanism, the SPV and EPR measurements were carried out. Figure 7d is the SPV spectra of Sv-ZIS, MoSe2 and Sv-ZIS/MoSe2 samples. It is noted that the pristine MoSe2 presents no SPV signals in the whole wavelength, suggesting the poor photocarriers separation efficiency inside the MoSe2, that’s why MoSe2 performed very poor hydrogen evolution. In comparison, a significant positive photovoltage response can be observed in the SPV spectra of Sv-ZIS, suggesting that the holes migrate to the surface of Sv-ZIS, which is the typical trait of n-type semiconductor49. Meanwhile, the SPV response of Sv-ZIS/MoSe2 is significantly lower than that of Sv-ZIS, which means that fewer photogenerated holes migrate to the surface of Sv-ZIS/MoSe2. This phenomenon should be contributed to that the photogenerated electrons on the CB of MoSe2 transfer to the VB of Sv-ZIS and recombine with the photogenerated holes, that’s the Z-scheme mechanism50. EPR spin-trapping experiment with DMPO as spin-trapping reagent was further proceeded to support the Z-scheme charge transfer mechanism in Sv-ZIS/MoSe2. As displayed in Fig. 7e, almost no DMPO- ∙ O2- signals can be observed under dark conditions. However, under visible light irradiation, the characteristic peaks of DMPO- ∙ O2- (1:1:1:1) can be monitored for the Sv-ZIS/MoSe2 methanol dispersion liquid, and the peak intensity increase with the time extending, suggesting that the ∙O2- was generated in the reaction system51. In theory, the electrons on MoSe2 cannot reduce O2 to product ∙O2- due to the lower CB potential of MoSe2 (−0.3 V vs. NHE) than the redox potential of O2/ ∙ O2- (−0.33 V vs. NHE)52. Therefore, the ∙O2- should be the reaction product between the photoinduced electrons on the CB of Sv-ZIS and O2 (the CB potential of Sv-ZIS is about −1.10 eV, lager than the redox potential of O2/ ∙ O2-), indicating that a mass of photogenerated electrons were accumulated on the CB of Sv-ZIS under irradiation of visible light, which should be contributed by the recombination between the electron on the CB of MoSe2 and the hole on the VB of Sv-ZIS, thus verifying the direct Z-scheme charge migration mechanism. Above SPV and EPR spin-trapping technique provides the direct proof for the direct Z-scheme charge transfer mechanism inside the Sv-ZIS/MoSe2 photocatalyst.
In summary, we have successfully demonstrated an interfacial Mo-S bond and internal electric field modulated Z-scheme Sv-ZnIn2S4/MoSe2 photocatalyst through a defect-induced heterostructure constructing strategy for boosting the photocatalytic H2 evolution performance. The internal electric field provide the necessary driving force steering the photogenerated electrons on the conduction band of MoSe2 transfer to the valence band of Sv-ZnIn2S4 following the Z-scheme mechanism, while the interfacial Mo-S bond creates direct charge transfer channels between Sv-ZnIn2S4 and MoSe2, further accelerates the Z-scheme charge transfer process. What’s more, the abundant S-vacancies also contribute to the enhanced light absorption and accelerated photocarriers separation. The above factors together lead to the efficient photocatalytic performance of the Sv-ZnIn2S4/MoSe2. Specifically, the optimized photocatalyst exhibits a high AQY of 76.48% at 420 nm, and an ultrahigh H2 evolution rate of 63.21 mmol·g−1 ∙ h−1 under visible light (λ > 420 nm), which is about 18.8 times higher than that of pristine ZnIn2S4. Besides, the Sv-ZnIn2S4/MoSe2 also shows favorable recycling stability by remaining above 90% rate retention after 20 h of 5 continuous photocatalytic tests. This work not only provides an efficient direct Z-scheme ZnIn2S4-based heterostructure photocatalyst, but also affords a beneficial prototype for designing other Z-scheme photocatalyst for efficient green energy conversion.
Methods
Materials
Analytical grade reagents were used directly without purification. Zinc acetate dihydrate (Zn(CH3COO)2·2H2O) was bought from Tianjin guangcheng chemical reagent Co. LTD. Thioacetamide (TAA), Indium chloride (InCl3), and Selenium power (Se, ≥99.99% metal basis) were bought from Shanghai Macklin biochemical technology Co. LTD. Ascorbic acid (AA) and hydrazine monohydrate (N2H4·H2O, 85%) were bought from Sinopharm Chemical Reagent Co., LTD. Sodium molybdate dihydrate (Na2MoO4·2H2O) was purchased from Tianjin Fengchuan Chemical Reagent Technology Co., LTD. Deionized water was obtained from local sources.
Synthesis of ZnIn2S4 and Sv-ZnIn2S4
In a representative experiment, InCl3 (1 mmol), Zn(CH3COO)2·2H2O (0.5 mmol), and TAA (4 mmol) were orderly dissolved into 50 mL deionized water, and then stirred at room temperature for 30 min. Thereafter, the clear solution was poured into 100 mL stainless steel autoclave, and maintained at 180 °C oven for 18 h. After cooling naturally to indoor temperature, the sediment was separated by centrifugation, followed by washing with deionized water and ethanol, and drying at 60 °C for 10 h. The obtained yellow powder ZnIn2S4 were labeled as ZIS. Sv-ZnIn2S4 was prepared via a N2H4·H2O-assisted hydrothermal method. Typically, 100 mg the as-synthesized ZIS was dispersed into 20 mL deionized water for 1 h, then, 5 mL N2H4·H2O was added into the mixing solution and stirred for another 30 min. After that, the mixture was transfer to 50 mL stainless steel autoclave, and maintained at 240 °C oven for 5 h. Finally, the precipitate was separated by centrifugation, and washing with deionized water for several times, then drying at 60 °C for 10 h. The obtained light-yellow powder was labeled as Sv-ZIS.
Synthesis of Sv-ZnIn2S4/MoSe2 heterostructure
The Sv-ZnIn2S4/MoSe2 heterostructure were synthesized by the similar process with Sv-ZnIn2S4, except that Na2MoO4·2H2O and Se powders were added into the mixture. The Sv-ZnIn2S4/MoSe2 with different mass ratio of MoSe2 to ZnIn2S4 (0.5%, 1.0%, 3.0%, 5.0%, and 7.0%) were synthesized by adjusting the addition of Na2MoO4·2H2O and Se, and the synthesized samples were labeled as Sv-ZIS/0.5MoSe2, Sv-ZIS/1.0MoSe2, Sv-ZIS/3.0MoSe2, Sv-ZIS/5.0MoSe2, Sv-ZIS/7.0MoSe2, respectively. For comparison, the pure MoSe2 was prepared following the above steps without adding ZIS. Besides, the Sv-ZIS-5.0MoSe2 mixture was also fabricated by ultrasonic mixing the Sv-ZIS with MoSe2 for 1 h.
Characterization
The morphology and microstructure were investigated by SU8010 scanning electron microscope (SEM) outfitted with an energy dispersive X-ray spectrometer (EDS), and JEM-2100 plus transmission electron microscope (TEM). The crystalline and phase information were characterized by Bruker D8 Advance X-ray diffraction (XRD). The chemical states were investigated by Thermo ESCALAB 250 XI X X-ray photoelectron spectroscopy (XPS, monochromatic Al Kα radiation), and the XPS data was calibrated by C 1 s spectrum (binding energy is 284.8 eV). The light absorption property was researched by the PerkinElmer Lambda 750 S UV-vis spectrophotometer using barium sulfate as standard reference. The recombination of photogenerated carriers was tested by F-4600 spectrofluorometer (375 nm excitation wavelength). The secondary cutoff binding energy was measured by AXIS SUPRA X-ray photoelectron spectroscopy with He I as the excitation source. The surface photovoltage (SPV) measurement were carried out on the system consisting a 500 W Xe lamp source equipped with a monochromator, a lock-in amplifier with a light chopper, a photovoltaic cell, and a computer. The Raman spectra were conducted on LabRAM HR Evolution Raman spectrometer with 325 nm excitation wavelength to analysis the composition. The electron paramagnetic resonance (EPR) measurement was conducted on JEOL JES-FA200 EPR spectrometer with a 9.054 GHz magnetic field. The 5,5-dimethyl-pyrroline N-oxide (DMPO) was adopted as spin-trapping reagent and the ∙O2- and ∙OH were tested in methanol and aqueous solution, respectively.
Photocatalytic water splitting for hydrogen evolution
The hydrogen production experiments were proceeded on Labsolar-6A (Beijing Perfectlight). Typically, photocatalyst (50 mg) was ultrasonically suspended into 100 mL solution involving 0.1 M ascorbic acid sacrificial agent. Prior to exerting light, the reaction system was degassed for 1 h to thoroughly exclude the air and the dissolved oxygen in reaction system. Then the reaction was proceeded under PLS-SEX300D 300 W Xenon lamp (Beijing Perfectlight) with a 420 nm cut-off filter. The light intensity was determined by PLMW2000 photoradiometer (Beijing Perfectlight) to be about 254 mW/cm2. The generated hydrogen was analyzed by GC 7900 gas chromatograph (Techcomp, 5 Å molecular sieve stainless steel packed column, Ar as carrier gas and TCD detector).
Photoelectrochemical and electrochemical measurements
All the electrochemical and photoelectrochemical measurements were conducted by a three-electrode system on CHI-660E electrochemical workstation. In the typical three-electrode system, the working electrode was a piece of nickel foam coating with the as-prepared photocatalyst, the reference electrode was Hg/HgO, while the counter electrode was Pt wire. The electrolyte was 0.5 M Na2SO4 aqueous solution. The electrochemical impedance spectroscopy (EIS) was conducted under open-circuit potential with 0.01 to 1×105 Hz frequency range and 0.005 V AC amplitude. The photocurrent response was tested under FX-300 Xe lamp. Mott-Schottky (M-S) plots were collected from −1 to −0.2 V under 10 kHz frequency and 0.01 V amplitude.
The working electrode was fabricated as follows: a certain amount of photocatalyst, carbon black and polyvinylidene fluoride were weighted according to the mass ratio of 8:1:1, and then dispersed into N-methyl-2-pyrrolidone to gain a homogeneous paste. The paste was daubed on a piece of pre-cleaned 1×1 cm2 FTO collector, and then dried in 60 °C vacuum for 1 h.
Theoretical calculation
Density functional theory (DFT) calculations were performed utilizing the CASTEP module of Materials Studio 6.153, the Perdew-Burke-Emzerhof (PBE) functional54, and ultrasoft pseudopotential (USPP) method55,56. The cut-off kinetic energy of 400 eV, a 3×3×3 Monkhorst-pack k-point (Γ point) mesh sampled the Brillouin zone with a smearing broadening of 0.05 eV were applied during the whole process. The convergence criteria of self-consistent field (SCF), total energy difference, maximum force, and maximum displacement are 2.0×10−6 eV/atom, 2.0×10−5 eV/atom, 5.0×10−2 eV/Å, and 2.0×10−3 Å, respectively.
Data availability
The experimental data that support the findings of this study are available from the corresponding author upon reasonable request. Source data are provided with this paper.
References
Hisatomi, T. & Domen, K. Reaction systems for solar hydrogen production via water splitting with particulate semiconductor photocatalysts. Nat. Catal. 2, 387–399 (2019).
Dai, B. Y. et al. Construction of infrared‐light‐responsive photoinduced carriers driver for enhanced photocatalytic hydrogen evolution. Adv. Mater. 32, 1906361 (2020).
Yang, J. L. et al. Boosting photocatalytic hydrogen evolution reaction using dual plasmonic antennas. ACS Catal. 11, 5047–5053 (2021).
Kosco, J. et al. Enhanced photocatalytic hydrogen evolution from organic semiconductor heterojunction nanoparticles. Nat. Mater. 19, 559–565 (2020).
Wang, Z. et al. Overall water splitting by Ta3N5 nanorod single crystals grown on the edges of KTaO3 particles. Nat. Catal. 1, 756–763 (2018).
Kageshima, Y., et al, Photocatalytic and photoelectrochemical hydrogen evolution from water over Cu2SnxGe1-xS3 particles. J. Am. Chem. Soc. (2021). https://doi.org/10.1021/jacs.0c12140.
Wang, S. B. et al. Supporting ultrathin ZnIn2S4 nanosheets on Co/N‐Doped graphitic carbon nanocages for efficient photocatalytic H2 generation. Adv. Mater. 31, 1903404 (2019).
Kim, Y. et al. Efficient photocatalytic production of hydrogen by exploiting the polydopamine-semiconductor interface. Appl. Catal. B: Environ. 280, 119423 (2021).
Li, Z. J. et al. CoNi bimetal cocatalyst modifying a hierarchical ZnIn2S4 nanosheet-based microsphere noble-Metal-Free photocatalyst for efficient visible-light-driven photocatalytic hydrogen production. ACS Sustain. Chem. Eng. 7, 20190–20201 (2019).
Mohanty, B., Chattopadhyay, A. & Nayak, J. Band gap engineering and enhancement of electrical conductivity in hydrothermally synthesized CeO2-PbS nanocomposites for solar cell applications. J. Alloy. Compd. 850, 156735 (2021).
Yu, H. et al. Enhanced photocatalytic tetracycline degradation using N-CQDs/OV-BiOBr composites: Unraveling the complementary effects between N-CQDs and oxygen vacancy. Chem. Eng. J. 402, 126187 (2020).
Wang, J. et al. Cubic quantum dot/hexagonal microsphere ZnIn2S4 heterophase junctions for exceptional visible-light-driven photocatalytic H2 evolution. J. Mater. Chem. A. 5, 8451–8460 (2017).
Gao, D. et al. Selenium-enriched amorphous NiSe1+x nanoclusters as a highly effcient cocatalyst for photocatalytic H2 evolution. Chem. Eng. J. 408, 127230 (2020).
Rao, F. et al. Mirabbos Hojamberdieve. In-situ generation of oxygen vacancies and metallic bismuth from (BiO)2CO3 via N2-assisted thermal-treatment for efcient selective photocatalytic NO removal. Appl. Catal. B Environ. 281, 119481 (2021).
Wang, Y. et al. Direct and indirect Z-scheme heterostructurecoupled photosystem enabling cooperation. of CO2 reduction and H2O oxidation. Nat. Commun. 11, 3043 (2020).
Wu, Z. et al. Recent progress of vacancy engineering for electrochemical energy conversion related applications. Adv. Funct. Mater. 31, 2009070 (2020).
Zhang, Y. et al. Structure-activity relationship of defective metal-based photocatalysts for water splitting: experimental and theoretical perspectives. Adv. Sci. 6, 1900053 (2019).
Liu, J. et al. Defects engineering in photocatalytic water splitting materials. ChemCatChem 11, 6177–6189 (2019).
Wang, J. Yang, L. & Zhang, L. Constructed 3D hierarchical micro-flowers CoWO4@Bi2WO6 Z-scheme heterojunction catalyzer: two-channel photocatalytic H2O2 production and anti‐biotics degradation. Chem. Eng. J. 127639 (2020)
Gu, Y. et al. Two dimensional porous molybdenum phosphide/Nitride heterojunction nanosheets for pH-universal hydrogen evolution reaction. Angew. Chem. Int. Ed. 60, 6673–6681 (2020).
Wu, J. et al. Piezotronic effect boosted photocatalytic performance of heterostructured BaTiO3/TiO2 nanofbers for degradation of organic pollutants. Nano Energy 77, 105122 (2020).
Xu, H. et al. Metal-oxide-mediated subtractive manufacturing of two-dimensional carbon nitride for high-efficiency and high-yield photocatalytic H2 evolution. ACS Nano. 13, 11294–11302 (2019).
Chao, Y. et al. Ultrathin visible-light-driven Mo Incorporating In2O3-ZnIn2Se4 Z-Scheme Nanosheet Photocatalysts. Adv. Mater. 31, 1807226 (2019).
Xing, F. S. et al. Tunable charge transfer efficiency in HxMoO3@ZnIn2S4 hierarchical direct Z-scheme heterojunction toward efficient visible-light-driven hydrogen evolution. Appl. Catal. B Environ. 285, 119818 (2021).
Kwon, I. S. et al. Se-rich MoSe2 nanosheets and their superior electrocatalytic performance for hydrogen evolution reaction. ACS Nano. 14, 6295–6304 (2020).
Yang, M. Q. et al. Self-surface charge exfoliation and electrostatically coordinated 2D hetero-layered hybrids. Nat. Commun. 8, 14224 (2017).
Zeng, D. et al. Hierarchical ZnIn2S4/MoSe2 nanoarchitectures for efficient noble-metal-free photocatalytic hydrogen evolution under visible Light. ChemSusChem 10, 4624–4631 (2017).
Zhang, S. et al. Atomic-level and modulated interfaces of photocatalyst heterostructure constructed by external defect-induced strategy: a critical review. Small 17, 2004980 (2020).
Tao, X. et al. Interfacial charge modulation: An efficient strategy for boosting spatial charge separation on semiconductor photocatalysts. Adv. Energy Mater. 9, 1803951 (2019).
Guo, Y. Shi, W. & Zhu, Y. Internal electric field engineering for steering photogenerated charge separation and enhancing photoactivity. EcoMat. 1, (2019).
Wang, Y. et al. Construction of Z-scheme MoSe2/CdSe hollow nanostructure with enhanced full spectrum photocatalytic activity. Appl. Catal. B Environ. 244, 76–86 (2019).
Vikraman, D. et al. Engineering the novel MoSe2-Mo2C hybrid nanoarray electrodes for energy storage and water splitting applications. Appl. Catal. B Environ. 264, 118531 (2020).
Li, F. et al. High-performance optoelectronic devices based on van der Waals vertical MoS2/MoSe2 heterostructures. Nano Res. 13, 1–7 (2020).
Cheng, C. et al. Facile preparation of nanosized MoP as cocatalyst coupled with g-C3N4 by surface bonding state for enhanced photocatalytic hydrogen production. Appl. Catal. B Environ. 265, 118620 (2020).
Huang, X. et al. Recent advances of doped graphite carbon nitride for photocatalytic reduction of CO2: a review. Res. Chem. Intermed. 46, 5133–5164 (2020).
Du, C. et al. Half-unit-cell ZnIn2S4 monolayer with sulfur vacancies for photocatalytic hydrogen evolution. Appl. Catal. B Environ. 248, 193–201 (2019).
Zhang, S. et al. MoS2 Quantum dot growth induced by S vacancies in a ZnIn2S4 monolayer: atomic-level heterostructure for photocatalytic hydrogen production. ACS nano. 12, 751–758 (2018).
Wang, Y. Z. et al. Hydrogenated ZnIn2S4 microspheres: boosting photocatalytic hydrogen evolution by sulfur vacancy engineering and mechanism insight. Phys. Chem. Chem. Phys. 21, 25484 (2019).
Ma, Y. W. et al. Carbon inserted defect-rich MoS2-X nanosheets@CdS nanospheres for efficient photocatalytic hydrogen evolution under visible light irradiation. Colloid Interface Sci. 569, 89–100 (2020).
Turner, N. H. & Singlet, A. M. Determination of peak positions and areas from wide-scan XPS spectra. Surf. Interface Anal. 15, 215–222 (1990).
Xu, F. et al. Unique S-scheme heterojunctions in selfassembled TiO2/CsPbBr3 hybrids for CO2 photoreduction. Nat. Commun. 11, 4613 (2020).
Li, P. S. et al. Visible-light-driven nitrogen fixation catalyzed by Bi5O7Br nanostructures: enhanced performance by oxygen vacancies. J. Am. Chem. Soc. 142, 12430–12439 (2020).
Meng, A. L. et al. Molybdenum sulfide-modified metal-free graphitic carbon nitride/black phosphorus photocatalyst synthesized via high-energy ball-milling for efficient hydrogen evolution and hexavalent chromium reduction. J. Hazard. Mater. 413, 125400 (2021).
Fan, L. L. et al. Controllable S-Vacancies of monolayered Mo-S nanocrystals for highly harvesting lithium storage. Nano energy 78, 105235 (2020).
Xu, W. et al. Interfacial chemical bond-modulated Z-scheme charge transfer for efficient photoelectrochemical water splitting. Adv. Energy Mater. 11, 2003500 (2021).
Shen, R. et al. Integrating 2D/2D CdS/α-Fe2O3 ultrathin bilayer Z-scheme heterojunction with metallic β-NiS nanosheet-based ohmic-junction for efficient photocatalytic H2 evolution. Appl. Catal. B Environ. 266, 118619 (2020).
Du, C. Yan, Bo & Yang, G. W. Self-integrated effects of 2D ZnIn2S4 and amorphous Mo2C nanoparticles composite for promoting solar hydrogen generation. Nano Energy 76, 105031 (2020).
Qiu, J., Li, M., Yang, L. & Yao Facile construction of three-dimensional netted ZnIn2S4 by cellulose nanofibrils for efficiently photocatalytic reduction of Cr(VI). J. Chem. Eng. J. 375, 121990 (2019).
Lin, Y. et al. The evolution from a typical type-I CdS/ZnS to type-II and Z-Scheme hybrid structure for efficient and stable hydrogen production under visible light. ACS Sustain. Chem. Eng. 8, 4537–4546 (2020).
Geng, Y. X. et al. Z-Scheme 2D/2D α-Fe2O3/g-C3N4 heterojunction for photocatalytic oxidation of nitric oxide. Appl. Catal. B Environ. 280, 119409 (2021).
Zhao, Z. et al. Recycling of spent alkaline Zn-Mn batteries directly: Combination with TiO2 to construct a novel Z-scheme photocatalytic system. J. Hazard. Mater. 400, 123236 (2020).
Zhu, Q. H. et al. Electron directed migration cooperated with thermodynamic regulation over bimetallic NiFeP/g-C3N4 for enhanced photocatalytic hydrogen evolution. Appl. Catal. B Environ. 259, 118078 (2019).
Segall, M. D. et al. First-principles simulation: ideas, illustrations and the CASTEP code. J. Phys.: Condens. Matter 14, 2717–2744 (2002).
Perdew, J., Burke, K. & Ernzerhof, M. Generalized gradient approximation made simple. Phys. Rev. Lett. 77, 3865–3868 (1996).
Vanderbilt, D. Soft self-consistent pseudopotentials in a generalized eigenvalue formalism. Phys. Rev. B. 41, 7892–7895 (1990).
Perdew, J., Burke, K. & Ernzerhof, M. Generalized gradient approximation made simple [Phys. Rev. Lett. 77, 3865 (1996)]. Phys. Rev. Lett. 78, 1396–1396 (1997).
Acknowledgements
The work reported here was supported by the National Natural Science Foundation of China under Grant No. 51672144, 51572137, 51702181, 52072196, 52002199, 52002200, Major Basic Research Program of Natural Science Foundation of Shandong Province under Grant No. ZR2020ZD09, Shandong Provincial Key Research and Development Program (SPKR&DP) under Grant No. 2019GGX102055, the Natural Science Foundation of Shandong Province under Grant No. ZR2019BEM042, the Innovation and Technology Program of Shandong Province under Grant No. 2020KJA004, Guangdong Basic and Applied Basic Research Foundation (Grant No. 2019A1515110933), China Postdoctoral Science Foundation (Grant No. 2020M683450) and the Taishan Scholars Program of Shandong Province under No. ts201511034. We express our grateful thanks to them for their financial support.
Author information
Authors and Affiliations
Contributions
X.W(1)., A.M., and Z.L. conceived the research. X.W(1). and X.W(2). prepared photocatalysts and conducted all the experiments. X.W(2). and J.H. performed the electrochemistry measurement. S.L. offered help to analyze the characterization experiment data. X.W(1)., X.W(2)., and Z.L. wrote and revised the manuscript. A.M., S.L., and J.H. gave suggestions on the experiment and writing.
Corresponding authors
Ethics declarations
Competing interests
The authors declare no competing interests.
Additional information
Peer review information Nature Communications thanks the anonymous reviewers for their contributions to the peer review of this work. Peer review reports are available.
Publisher’s note Springer Nature remains neutral with regard to jurisdictional claims in published maps and institutional affiliations.
Supplementary information
Source data
Rights and permissions
Open Access This article is licensed under a Creative Commons Attribution 4.0 International License, which permits use, sharing, adaptation, distribution and reproduction in any medium or format, as long as you give appropriate credit to the original author(s) and the source, provide a link to the Creative Commons license, and indicate if changes were made. The images or other third party material in this article are included in the article’s Creative Commons license, unless indicated otherwise in a credit line to the material. If material is not included in the article’s Creative Commons license and your intended use is not permitted by statutory regulation or exceeds the permitted use, you will need to obtain permission directly from the copyright holder. To view a copy of this license, visit http://creativecommons.org/licenses/by/4.0/.
About this article
Cite this article
Wang, X., Wang, X., Huang, J. et al. Interfacial chemical bond and internal electric field modulated Z-scheme Sv-ZnIn2S4/MoSe2 photocatalyst for efficient hydrogen evolution. Nat Commun 12, 4112 (2021). https://doi.org/10.1038/s41467-021-24511-z
Received:
Accepted:
Published:
Version of record:
DOI: https://doi.org/10.1038/s41467-021-24511-z
This article is cited by
-
Urea photosynthesis over a MOF-on-MOF S-scheme heterojunction
Nature Communications (2026)
-
GaSe/BiSCl Van Der Waals Heterostructure for High-Efficiency Photocatalysis
Journal of Electronic Materials (2026)
-
Defect-engineered S-scheme heterojunction boosts X–H bonds activation for synergistic hydrogen production and benzyl alcohol oxidation
Science China Chemistry (2026)
-
Internal electric field steering S-scheme charge transfer in ZnIn2S4/COF boosts H2O2 photosynthesis from water and air for sustainable disinfection
npj Clean Water (2025)
-
Enhanced H2 production in ZnIn2S4/Bi4NbO8Cl S-scheme heterojunction via engineered interfacial electric field
Journal of Materials Science (2025)









