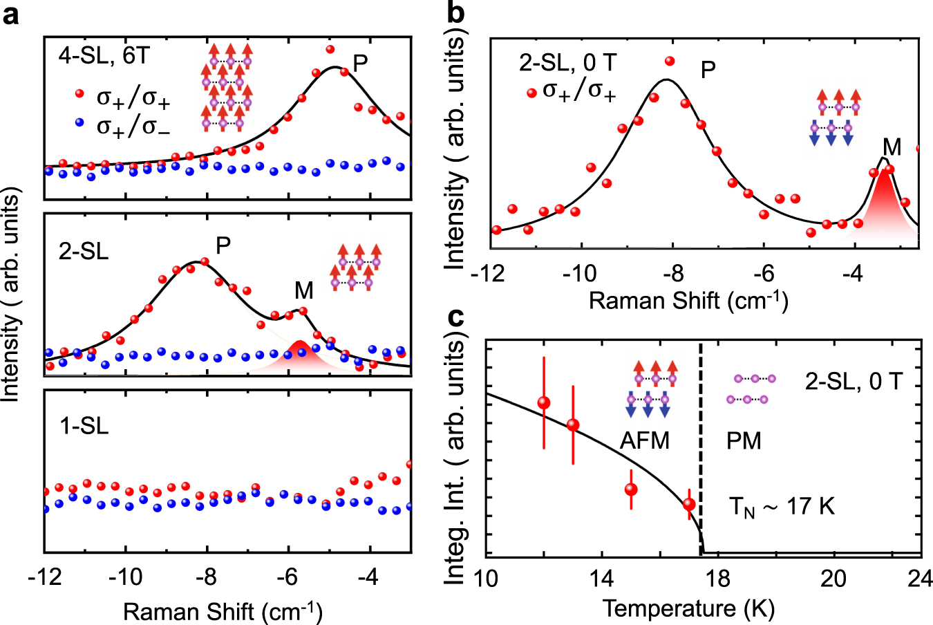
Fig. 2: Raman spectra of magnon in different setuple layers, magnetic fields, and its temperature dependence at zero field.
From: Magnons and magnetic fluctuations in atomically thin MnBi2Te4

a Raman spectra taken at 12 K and 6 T field in 1-SL (bottom), 2-SL (middle), and 4-SL (top) MBT taken with co-circular σ+/σ+ (red points) and cross-circular σ+/σ− (blue points) polarized incident and scattered photons. Black solid line is fitting with the sum of two Lorentzian functions, corresponding to a phonon (P) and a magnon (M) mode, respectively. b Raman spectrum from the 2-SL taken with co-circular polarizations at 12 K and 0 T. c Temperature dependence of the integrated Raman intensity of the ~3.4 cm−1 magnon peak from the 2-SL at 0 T. The intensity diminishes as the 2-SL goes through the antiferromagnetic (AFM) to paramagnetic (PM) transition.