Abstract
Electron band topology is combined with intrinsic magnetic orders in MnBi2Te4, leading to novel quantum phases. Here we investigate collective spin excitations (i.e. magnons) and spin fluctuations in atomically thin MnBi2Te4 flakes using Raman spectroscopy. In a two-septuple layer with non-trivial topology, magnon characteristics evolve as an external magnetic field tunes the ground state through three ordered phases: antiferromagnet, canted antiferromagnet, and ferromagnet. The Raman selection rules are determined by both the crystal symmetry and magnetic order while the magnon energy is determined by different interaction terms. Using non-interacting spin-wave theory, we extract the spin-wave gap at zero magnetic field, an anisotropy energy, and interlayer exchange in bilayers. We also find magnetic fluctuations increase with reduced thickness, which may contribute to a less robust magnetic order in single layers.
Similar content being viewed by others
Introduction
The emergence of van der Waals (vdW) magnetic materials has provided rich opportunities to explore magnetic orders in systems that continuously approach the true two-dimensional (2D) limit1,2,3,4. While it is widely recognized that no long-range magnetic order can exist in 2D for an exchange isotropic system5, real materials need to be taken into account to predict or detect magnetic order in vdW magnets, known to be highly anisotropic. For example, long-range magnetic order is found to persist down to the monolayer limit in FePS36 and CrI31,7, but breaks down in NiPS3 monolayers8. The detection of magnons, collective spin excitations above a magnetically ordered ground state, serves to confirm the presence of long-range magnetic order. Furthermore, by analyzing magneticfield-dependent magnon resonances, critical information on various energetic terms such as exchange and anisotropy can be extracted. The interplay between these energetic terms ultimately determines the stability of magnetic orders in 2D magnetic materials.
MnBi2Te4 (referred to as MBT below) and related compounds MnBi2nTe3n+1 are newly synthesized materials that combine electronic topology with intrinsic magnetic order (i.e., not via dilute magnetic dopants)9,10,11,12,13,14,15,16,17,18. The quantum anomalous Hall effect and correlated insulating states have been reported in thin flakes, although the nature of the insulating states is still under debate19,20,21,22. While the electronic topological properties originate from the Bi and Te layers, the long-range spin ordering is attributed to the magnetic Mn2+ ion layers. The interplay between magnetism and electronic topology has been shown to be thickness-dependent23,24,25. Although single septuple layer (SL) MBT is topologically trivial, two or more SLs present distinct topological phases according to their magnetic order and number of layers9. At low temperature, the Mn moments in each SL are ferromagnetically (FM) ordered while the Mn moments in the adjacent septuple layer exhibit an antiferromagnetic (AFM) order, leading to a vanishing net magnetic moment in samples with an even number of SLs.
Results
Here we investigate magnons and magnetic fluctuations in MBT in the ultrathin thickness limit using Raman spectroscopy measurements. We focus on a 2-SL partially because it represents the thinnest sample in which MBT exhibits all three possible magnetic orders: AFM, canted-AFM (c-AFM), and FM when an external magnetic field perpendicular to the 2D plane is tuned. We observe a long-wavelength magnon mode at low temperature under both zero and finite external magnetic fields and in all three magnetic phases, revealing the formation of long-range magnetic order in MBT 2-SLs. In the AFM phase, the unusual selection rule and the lack of magnetic field-dependent frequency shift suggest that two-magnon scattering leads to the observed mode. Using spin-wave theory, we extract a spin-wave gap at zero magnetic field ~0.2 meV with an anisotropy energy of ~0.02 meV and interlayer exchange ~−0.14 meV in the bilayer. The energetic terms as well as the magnon selection rules suggest that MBTs are in a different class of vdW magnets from the widely studied CrI3. Magnetic fluctuations in the few-layer samples and a bulk crystal are quantified by analyzing the quasi-elastic scattering (QES) mode and found to increase with decreasing layer thickness.
An MBT crystal consists of seven atomic blocks or SLs in the sequence of Te-Bi-Te-Mn-Te-Bi-Te stacked along the c-axis. Upon cleaving along the (001) surface, the termination layer is typically a Te layer followed by a Bi layer. Mn atoms form a triangular lattice in each SL with an ABC stacking order between the layers, i.e. a Mn atom of the top layer (dark purple in Fig. 1a) is aligned with the center of a triangle in the bottom layer (lighter purple). The magnetic phase diagram for the 2-SL sample as a function of temperature and magnetic field is illustrated in Fig. 1b, which is informed by recent magnetic circular dichroism spectroscopy measurements on few-layerthick MBT21,26. At low temperature and small field, MBT exhibits an AFM phase. At zero magnetic field, the Néel temperature is TN ≈ 17 K, slightly lower than the bulk value TN ≈ 24 K as determined from transport measurements18,19,20,21. When a magnetic field is applied perpendicular to the 2D plane, the spin-flop transition occurs at Hsf ≈ 2 T and the FM transition at HFM ≈ 6 T for a 2-SL. We caution that the precise B-field range over which the c-AFM phase exists in ultrathin samples is still under debate26,27, and the transition field can differ depending on the magnetic defect density18,28.
a Illustration of two triangular magnetic lattices formed by Mn ions in the top (bottom) layer indicated by dark (light) purple spheres. The layers follow an ABC stacking order. D and Jc represent anisotropy and interlayer exchange coupling. b Phase diagram as a function of temperature and an applied magnetic field perpendicular to the 2D plane. c Magnons in antiferromagnetic (AFM) phase: spins from two layers oscillate with different amplitudes, corresponding to two magnon modes. Illustrations of spins before and after applying a time-reversal \({{{{{{{\mathcal{T}}}}}}}}\), inversion \({{{{{{{\mathcal{I}}}}}}}}\) and two-fold rotational (\({{{{{{{\mathcal{C}}}}}}}}\) w.r.t x-axis) operator (\({{{{{{{\mathcal{ITC}}}}}}}}\)). d Magnons in canted AFM (c-AFM) phase: the spin are canted at an angle with respect to the applied magnetic field. Illustrations of spins before and after time-reversal and two-fold rotational (y-axis) operator (\({{{{{{{\mathcal{CT}}}}}}}}\)). e Magnons in ferromagnetic (FM) phase: spins in the two layers oscillate in-phase or out of phase. Illustrations of spins before and after inversion operator (\({{{{{{{\mathcal{I}}}}}}}}\)). Shaded modes are either Raman silent or near zero frequency. ωL (ωH) refers to the magnon branch with a higher (lower) frequency in the left (right) column.
In a 2-SL, the magnetic unit cell contains two Mn atoms, leading to two magnon branches. In each of the three phases, symmetry operations and Raman tensors derived from the magnetic point groups are different (more details in SI). Spin wave theory calculations (analogous to DFT calculations for phonons) are then performed. The calculated magnon wavefunctions carry further symmetry constraints and predict the polarization configurations of the Raman signal associated with a magnon mode (more details in SI).
We illustrate the possible magnon modes in each phase and their invariance under unique symmetry operations in Fig. 1c–e. When the magnetic structure is (not) inversion-symmetric, a magnon mode is Raman active (silent). In the simplest case of the FM phase, only the highfrequency branch ωH of the two calculated magnon modes is invariant under inversion \({{{{{{{\mathcal{I}}}}}}}}\) operation, and thus, Raman active (right panel in Fig. 1e). One expects to observe this magnon mode in the (σ+/σ+) configuration, i.e., the incident and scattered photons have the same helicity. In the AFM phase, magnons oscillate with different amplitudes in each layer (Fig. 1c). While these modes break inversion symmetry, they are symmetric following the combined operation of inversion, time-reversal, and a two-fold rotation (\({{{{{{{\mathcal{I}}}}}}}}{{{{{{{\mathcal{T}}}}}}}}{{{{{{{\mathcal{C}}}}}}}}\)). One expects to observe these magnons in the cross-circularly polarized channel (σ+/σ−). In the c-AFM phase shown in Fig. 1d, the canted moments remain symmetric under the combined operations of a two-fold rotation and time reversal (\({{{{{{{\mathcal{C}}}}}}}}{{{{{{{\mathcal{T}}}}}}}}\)). In this phase, the high-frequency branch is observable in the co-circular polarization configuration. The low-frequency branch has a vanishing frequency at the Brillouin zone center even in the presence of single-ion anisotropy, and thus, is not observable in Raman experiments. These selection rules, in conjunction with the energy scale, guide us in identifying magnon modes in different phases. However, we caution that they are only applicable to one-magnon scattering process.
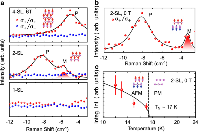
We first report magneto-Raman measurements of the FM phase on the 1-SL, 2-SL, and 4-SL samples at 11 K with a 6 T B-field (Fig. 2a). The spectra taken with co-circular (red points) and cross-circular (blue points) polarization are compared to identify the symmetry of the modes. In all displayed Raman spectra, we removed a quasi-elastic scattering (QES) background, which will be discussed later in this paper. After this background removal, Raman spectra from the 1-SL sample exhibit little signal in the frequency range from −3 cm−1 to −12 cm−1. We only show the anti-Stokes side of each spectrum because our instrument has an artifact in the ultralow frequency Raman line which obscures real signals from samples in the Stokes side. In both the 2- and 4-SL samples, we observe a phonon mode that persists above the magnetic transition temperature. The co-circular selection rule is in good agreement with that of an Ag phonon mode with a crystalline symmetry point group D3d. We attribute this phonon to the layer breathing mode, often observed in vdW materials29.
a Raman spectra taken at 12 K and 6 T field in 1-SL (bottom), 2-SL (middle), and 4-SL (top) MBT taken with co-circular σ+/σ+ (red points) and cross-circular σ+/σ− (blue points) polarized incident and scattered photons. Black solid line is fitting with the sum of two Lorentzian functions, corresponding to a phonon (P) and a magnon (M) mode, respectively. b Raman spectrum from the 2-SL taken with co-circular polarizations at 12 K and 0 T. c Temperature dependence of the integrated Raman intensity of the ~3.4 cm−1 magnon peak from the 2-SL at 0 T. The intensity diminishes as the 2-SL goes through the antiferromagnetic (AFM) to paramagnetic (PM) transition.
In the 2-SL, an additional peak with a central frequency ~5.7 cm−1 is observed in the co-circular configuration. To elucidate the nature of this mode, we present another Raman spectrum taken at low temperature and zero external B-field, which reveals a mode at ~3.4 cm−1 (see Fig. 2b). The intensity of this zero-field mode decreases with temperature and disappears above the Néel temperature of ~17.5 K, suggesting its dependence on the magnetic order. The temperature-dependent intensity can be fitted with a function of \(\sqrt{1-T/{T}_{{{{{{\rm{N}}}}}}}}\) (solid line in Fig. 2c), consistent with the mean-field theory of magnetic moments. The co-circular selection rule, however, contradicts that expected for one-magnon scattering in the AFM phase.
We further study the systematic evolution of Raman spectra from the 2-SL sample at low temperature (12 K) as a function of magnetic field (Fig. 3) in the co-circular polarization configuration. All spectra in Fig. 3a are fitted with two Lorentzian functions and the extracted central frequencies of the modes are summarized in Fig. 3b. The phonon frequency (black dots) does not show any magnetic field dependence, while the magnon mode shows distinct B-field dependence in different magnetic phases. At the low field, the AFM magnon mode shows a frequency of ~3.4 cm−1 independent of the applied magnetic field. Both the magnetic-field independence of the energy and the selection rules (i.e. co-circular polarization) contradict the expectations for a one-magnon process. At 3 T, we observe a discontinuity in the frequency, signaling a transition into the c-AFM phase. The transition between the c-AFM to FM phases at ~5.5 T causes a subtle change in the slope of magnon frequency vs. B-field (more details included in SI). The B fields at which the magnetic phase transitions occur are difficult to identify based on magnon spectra. Our assignments are informed by recent magnetic circular dichroism spectroscopy measurements on few-layer thick MBT21,26 and calculations presented below.
a Raman spectra at 12 K as a function of B-field. Black solid line is fitting with the sum of two Lorentzian functions. P and M represent phonon and magnon, respectively. b Extracted central frequency for both the phonon and magnon vs. B field. Error bars displayed are smaller than the data points. c Calculated magnon modes in the antiferromagnetic (AFM), canted-AFM (c-AFM), and ferromagnetic (FM) phases.
Theoretically, we model the magnons in 2-SL MBT using a simple spin Hamiltonian with nearest-neighbor interlayer (Jc) and intralayer (J1) Heisenberg interactions and single-ion anisotropy (D). We obtain the corresponding magnon spectra in each of the three magnetic ground-states within non-interacting spin-wave theory (Fig. 3c). In the AFM and FM phases, the Brillouin-zone center magnons (i.e., at Γ point with k = 0) can be modeled using simple expressions: \({\omega }_{AFM}^{H(L)}({{{{{{{\boldsymbol{k}}}}}}}}=0)=2\sqrt{SD(SD-S{J}_{c}{z}_{c})}\pm \gamma {H}_{z}\), and ωH(k = 0) = 2SD + γHz, where zc = 3 is the number of interlayer nearest-neighbors for 2-SL and γ = 0.9343 cm−1/T is the gyromagnetic ratio. The interaction energies SJc and SD are used as fitting parameters in our theory, where S ≈ 5/2. In both cases, we anticipate a simple linear relation between the magnon frequency vs. applied magnetic field Hz. The Raman-active magnon in the c-AFM phase follows (\(\sqrt{S{J}_{c}{z}_{c}({(\gamma {H}_{z})}^{2}\frac{S{J}_{c}{z}_{c}-SD}{{(S{J}_{c}{z}_{c}+SD)}^{2}})+4SD}\)). Fitting the field-dependent magnon frequencies in the cAFM phase, we find magnetic ion anisotropy SD ≈ 0.024 ± 0.011 meV and interlayer exchange interaction ∣SJc∣ ≈ 0.138 ± 0.013 meV, with SD < ∣SJc∣. In Fig. 3c, we plot the predicted magnon modes using the parameters SJc = − 0.138 meV and SD = 0.024 meV.
In the AFM phase, the theory predicts two Raman active magnon modes with opposite field-dependent frequency shifts (Zeeman shifts). The calculated AFM one-magnon frequency is below our experimental detection range ≳3 cm−1 (shaded area). Summing the energies of these two magnon branches leads to a field-independent two-magnon resonance, close to the observed resonance at ~3.4 cm−1. Furthermore, the Loudon–Fleury scattering theory model30,31,32,33 adopted in our calculation predicts that two-magnon scattering is observable in the co-circular polarized configuration, consistent with the experimental observation but in contrast with the selection rule expected for one-magnon scattering (Fig. 1c). The transition between the AFM to c-AFM phase is predicated to be ~2 T by theory (see Fig. 3c), which is smaller than the 3 T inferred from dichroism spectroscopy measurements performed on similar samples21. Two-magnon scattering has been reported in Raman spectra of other AFM materials, e.g., LiMnPO434,35. The narrow linewidth of the two magnon scattering peaks in MBT is somewhat surprising and should be further investigated in future studies. The slightly different slopes for magnon frequency vs. B-field in the c-AFM and FM phases are also captured in our theory and are associated with the finite angle between the applied B-field and the magnetic moments.
In all Raman spectra displayed so far, we have removed a background. This background, plotted over a broader frequency range, is attributed to a QES peak with zero frequency shift from the excitation laser (see Fig. 4). This peak originates from magnetic fluctuations due to coupling to the lattice that is stronger at higher temperatures in the paramagnetic phase36. We present room-temperature Raman measurements from several flakes with different thicknesses (a more complete data set is included in SI). Multiple phonons superimposed on the QES peak are identified and discussed in the supplementary. For quantitative analysis, we first apply a Bose factor correction to obtain the normalized Raman susceptibility:
where n is the Bose–Einstein factor, and I(ω) is the Raman intensity. The intensity of the peak is proportional to magnetic specific heat Cm. The linewidth is determined by the spin-lattice relaxation time in the hydrodynamic theory of spin waves and characterized by κmk2, where κm is the magnetic contribution to thermal conductivity37,38,39. The fitted normalized Raman susceptibility \(\frac{{\chi }^{^{\prime\prime} }(\omega )}{\omega }\) for multiple flakes is summarized in Fig. 4b. We also obtain the dynamic Raman susceptibility \({\chi }_{{{{{{\rm{dyn}}}}}}}^{^{\prime\prime} }\) (Fig. 4c) via the Kramers–Kronig relation, \({\chi }_{{{{{{\rm{dyn}}}}}}}^{^{\prime\prime} }=(2/\pi )\int\nolimits_{0}^{{{\Omega }}}\chi ^{\prime\prime} /\omega {{{{{\rm{d}}}}}}x\) and by fitting the measured QES background from 18 cm−1 to 180 cm−1 (22.3 meV)40. Afterward, we extrapolated the fitting down to 0 cm−1 and integrated the spectral response, consistent with the common practice in the literature. We observe that \({\chi }_{{{{{{\rm{dyn}}}}}}}^{^{\prime\prime} }\) is peaked at the Nèel temperature, ~17 K (data in SI), which is expected for the critical behavior of magnetic phase transition8,38 and supports our analysis of the QES. The stronger QES signal in thinner flakes is attributed to increased magnetic fluctuations upon approaching the 2D limit1,2. Phonon peaks also broaden as the layer thickness decreases,41 likely related to increased phonon damping due to coupling to spin fluctuations.
a Normalized Raman susceptibility χ″/ω for different SLs. The blue dots represent data points. The purple curves are fittings given by Eq. (1). Black solid lines are fitting for several phonon modes using either Lorentzian or Fano functions. b Summary of the fitted χ″/ω for several flakes with different thicknesses. c Layer-dependent dynamic Raman susceptibility \({\chi }_{dyn}^{^{\prime\prime} }\) calculated from the integration of χ″/ω up to 180 cm−1.
Since the study magnons in atomically thin vdW layers is an emergent field, we offer a brief comparison between MBT and CrI3 bilayers. While the ground state in both bilayers are AFM with FM order within each layer, there are important differences between them. The first difference lies in the symmetry. Cr3+ are arranged in a honeycomb lattice, where two Cr3+ ions per unit cell reside in two sub-lattices within a monolayer. The second difference is the relative energy scale between interlayer exchange coupling and anisotropy. As a weak interlayer exchange system, the selections rule for magnons in CrI3 bilayers can be derived from those in monolayers with the additional consideration of broken inversion symmetry in the AFM phase. In contrast, MBT bilayers exhibit strong exchange coupling between the layers42. Thus, each layer cannot be considered separately, and the magnetic point group of the entire 2-SL must be considered.
These energy scales also have important implications for stability of magnetic order in the single-layer limit. From the measured magnon modes in MBT bilayer, we extract a spin wave gap at zero magnetic field \(2\sqrt{SD(SD-S{J}_{c}{z}_{c})}\approx 0.2\) meV using anisotropy SD = 0.024 meV and interlayer exchange SJc = − 0.138 meV. Since magnetic anisotropy stabilizes the long-range magnetic order in these 2D magnets43, the weak magnetic anisotropy energy may contribute to a less robust magnetic order in 1-SL MBT. In contrast, the anisotropy energy in CrI3 is estimated to be 0.27 meV from Raman measurements7, which is nearly one order of magnitude stronger and sufficient to stabilize the FM order in CrI3 monolayers. This interplay between anisotropy and interlayer exchange also leads to a new c-AFM phase in MBT.
Discussion
In summary, we report direct observations of magnons in a 2-SL MBT as the ground state is tuned through three magnetically ordered phases by an external field. We were not able to observe a systematic evolution in magnon spectra as a function of layer thickness. In 4-SLs for example, the low-frequency phonon mode spectrally overlaps with and masks the anticipated magnon resonances. Magnetic fluctuations increase with reduced thickness due to enhanced spin-lattice coupling, which may contribute to the absence of magnons in the 1-SL MBT. We cannot completely rule out the possibility that the absence of magnons in 1-SL is related to coupling to the substrate. Future experiments on 1-SLs performed under different conditions (e.g. at higher magnetic fields) are needed. MBT provides an interesting comparison with CrI3 as a strongly coupled exchange system with rich magnetic phases including a c-AFM phase controllable via electric field44. A recent scanning tunneling microscopy experiment suggests that electronic structures fluctuate at the atomic scale on the surfaces45 although it is likely related to disorders that have yet to be better controlled for realizing interesting quantum phases46. Our finding complements these prior studies by investigating magnetic orders in ultra-thin MBT layers. Our studies will also guide future investigations of coupled collective excitations and searches for exotic phases. For example, the spectral overlap between a magnon and a phonon may lead to hybridization between these modes, which would fundamentally change the topological nature of magnons in MBT47,48.
Methods
Sample preparation
High-quality MnBi2Te4 (MBT) crystals were grown by the flux method18. We obtained thin MBT flakes using the Al2O3-assisted exfoliation method20,49. Optical transmittance measurements were used to determine the layer thickness based on the Beer–Lambert law20. Ultrathin MBT layers may degrade in an ambient environment. The samples studied here were prepared in a glove box and exposed to air for no more than 1 min. We have also performed measurements on encapsulated samples but found reduced polarization contrast. Thus, we choose to present results from a sample without encapsulation layers. We present low-frequency Raman spectra from 1-SL to 5-SL flakes in the SI. The systematic frequency shift as well as their reasonably narrow linewidths support the high crystalline quality of these ultrathin layers.
Raman spectroscopy
Raman measurements were performed using a 632.81 nm excitation laser with a full-width-half maximum (FWHM) of 0.85 cm−1. The laser power was kept below ~100 μW to avoid local heating and damage to the samples. The laser beam was focused onto the sample via a ×40 microscope objective to a spot size of about 3 μm in diameter. The Raman signal was collected in the back-scattering geometry and measured with a Horiba LabRAM HR Evolution Raman microscope (1800 grooves/mm grating). All measurements were taken in a closed-cycle helium cryostat from 11 to 300 K with a base pressure lower than 7 × 10−7 Torr. An out-of-plane magnetic field ranging from 0 to 7 T was applied.
Data availability
The data sets generated and/or analyzed during the current study are available from the corresponding author upon reasonable request.
References
Huang, B. et al. Layer-dependent ferromagnetism in a van der Waals crystal down to the monolayer limit. Nature 546, 270–273 (2017).
Gong, C. et al. Discovery of intrinsic ferromagnetism in two-dimensional van der Waals crystals. Nature 546, 265–269 (2017).
Burch, K. S., Mandrus, D. & Park, J.-G. Magnetism in two-dimensional van der Waals materials. Nature 563, 47–52 (2018).
Gibertini, M., Koperski, M., Morpurgo, A. & Novoselov, K. Magnetic 2D materials and heterostructures. Nat. Nanotechnol. 14, 408–419 (2019).
Mermin, N. D. & Wagner, H. Absence of ferromagnetism or antiferromagnetism in one- or two-dimensional isotropic Heisenberg models. Phys. Rev. Lett. 17, 1133–1136 (1966).
Lee, J.-U. et al. Ising-type magnetic ordering in atomically thin FePs3. Nano Lett. 16, 7433–7438 (2016).
Cenker, J. et al. Direct observation of two-dimensional magnons in atomically thin CrI3. Nat. Phys. 17, 20–25 (2021).
Kim, K. et al. Suppression of magnetic ordering in xxz-type antiferromagnetic monolayer NiPs3. Nat. Commun. 10, 1–9 (2019).
Otrokov, M. M. et al. Prediction and observation of an antiferromagnetic topological insulator. Nature 576, 416–422 (2019).
Gong, Y. et al. Experimental realization of an intrinsic magnetic topological insulator. Chin. Phys. Lett. 36, 076801 (2019).
Hu, C. et al. A van der Waals antiferromagnetic topological insulator with weak interlayer magnetic coupling. Nat. Commun. 11, 97 (2020).
Hu, C. et al. Realization of an intrinsic ferromagnetic topological state in MnBi8Te13. Sci. Adv. 6, eaba4275 (2020).
Jahangirli, Z. A. et al. Electronic structure and dielectric function of Mn-Bi-Te layered compounds. J. Vac. Sci. Technol. B 37, 062910 (2019).
Aliev, Z. S. et al. Novel ternary layered manganese bismuth tellurides of the MnTe-Bi2Te3 system: synthesis and crystal structure. J. Alloy. Compd. 789, 443–450 (2019).
Cui, J. et al. Transport properties of thin flakes of the antiferromagnetic topological insulator MnBi2Te4. Phys. Rev. B 99, 155125 (2019).
Wu, J. et al. Natural van der waals heterostructural single crystals with both magnetic and topological properties. Sci. Adv. 5, eaax9989 (2019).
Vidal, R. C. et al. Topological electronic structure and intrinsic magnetization in MnBi4Te7: a Bi2Te3 derivative with a periodic mn sublattice. Phys. Rev. X 9, 041065 (2019).
Yan, J.-Q. et al. Crystal growth and magnetic structure of MnBi2Te4. Phys. Rev. Mater. 3, 064202 (2019).
Liu, C. et al. Robust axion insulator and Chern insulator phases in a two-dimensional antiferromagnetic topological insulator. Nat. Mater. 19, 522–527 (2020).
Deng, Y. et al. Quantum anomalous Hall effect in intrinsic magnetic topological insulator MnBi2Te4. Science 367, 895–900 (2020).
Ovchinnikov, D. et al. Intertwined topological and magnetic orders in atomically thin Chern insulator mnbi2te4. Nano Lett. 21, 2544–2550 (2021).
Ge, J. et al. High-Chern-number and high-temperature quantum Hall effect without Landau levels. Natl Sci. Rev. 7, 1280–1287 (2020).
Li, J. et al. Intrinsic magnetic topological insulators in van der Waals layered MnBi2Te4-family materials. Sci. Adv. 5, eaaw5685 (2019).
Otrokov, M.-M. et al. Unique thickness-dependent properties of the van der Waals interlayer antiferromagnet MnBi2Te4 films. Phys. Rev. Lett. 122, 107202 (2019).
Lei, C., Chen, S. & MacDonald, A. H. Magnetized topological insulator multilayers. Proc. Natl Acad. Sci. USA 117, 27224–27230 (2020).
Yang, S. et al. Odd-even layer-number effect and layer-dependent magnetic phase diagrams in MnBi2Te4. Phys. Rev. X 11, 011003 (2021).
Li, B. et al. Two-dimensional ferromagnetism with long-range interactions in the layered magnetic topological insulator MnBi2Te4. https://arxiv.org/abs/2007.08468 (2020).
Huang, Z., Du, M.-H., Yan, J. & Wu, W. Native defects in antiferromagnetic topological insulator MnBi2Te4. Phys. Rev. Mater. 4, 121202 (2020).
Lui, C. H., Ye, Z., Keiser, C., Xiao, X. & He, R. Temperature-activated layer-breathing vibrations in few-layer graphene. Nano Lett. 14, 4615–4621 (2014).
Fleury, P. A. & Loudon, R. Scattering of light by one- and two-magnon excitations. Phys. Rev. 166, 514–530 (1968).
Chen, C.-C., Jia, C. J., Kemper, A. F., Singh, R. R. P. & Devereaux, T. P. Theory of two-magnon raman scattering in iron pnictides and chalcogenides. Phys. Rev. Lett. 106, 067002 (2011).
Li, S. et al. Symmetry-resolved two-magnon excitations in a strong spin-orbit-coupled bilayer antiferromagnet. Phys. Rev. Lett. 125, 087202 (2020).
Das, S. K., Singh, V. N. & Majumdar, P. Magnon spectrum in the domain ferromagnetic state of antisite-disordered double perovskites. Phys. Rev. B 88, 214428 (2013).
Calderon Filho, C., Gomes, P., García-Flores, A., Barberis, G. & Granado, E. Two-magnon Raman scattering in LiMnPo4. J. Magn. Magn. Mater. 377, 430–435 (2015).
Toft-Petersen, R. et al. Magnetic phase diagram of magnetoelectric LiMnPo4. Phys. Rev. B 85, 224415 (2012).
Tian, Y., Gray, M. J., Ji, H., Cava, R. J. & Burch, K. S. Magneto-elastic coupling in a potential ferromagnetic 2D atomic crystal. 2D Mater. 3, 025035 (2016).
Halley, J. W. Light scattering as a probe of dynamical critical properties of antiferromagnets. Phys. Rev. Lett. 41, 1605–1608 (1978).
Reiter, G. F. Light scattering from energy fluctuations in magnetic insulators. Phys. Rev. B 13, 169–173 (1976).
Kim, K. et al. Suppression of magnetic ordering in XXZ-type antiferromagnetic monolayer NiPS3. Nat. Commun. 10, 345 (2019).
Gupta, L. & Multani, M. Selected Topics in Magnetism, Vol. 2 (World Scientific, 1993).
Choe, J. et al. Electron–phonon and spin–lattice coupling in atomically thin layers of MnBi2Te4. Nano Lett. 21, 6139–6145 (2021).
Li, B. et al. Competing magnetic interactions in the antiferromagnetic topological insulator MnBi2Te4. Phys. Rev. Lett. 124, 167204 (2020).
Gong, C. & Zhang, X. Two-dimensional magnetic crystals and emergent heterostructure devices. Science 363, eaav4450 (2019).
Cai, J. et al. Electric control of a canted-antiferromagnetic Chern insulator. Nat. Commun. 13, 1668 (2021).
Yuan, Y. et al. Electronic states and magnetic response of MnBi2Te4 by scanning tunneling microscopy and spectroscopy. Nano Lett. 20, 3271–3277 (2020).
Li, H., Chen, C.-Z., Jiang, H. & Xie, X. C. Coexistence of quantum Hall and quantum anomalous Hall phases in disordered MnBi2Te4. Phys. Rev. Lett. 127, 236402 (2021).
Zhang, S., Go, G., Lee, K.-J. & Kim, S. K. Su (3) topology of magnon-phonon hybridization in 2d antiferromagnets. Phys. Rev. Lett. 124, 147204 (2020).
Rodriguez-Vega, M. et al. Light-driven topological and magnetic phase transitions in thin-layer antiferromagnets. arXiv preprint arXiv:2107.14361 (2021).
Deng, Y. et al. Gate-tunable room-temperature ferromagnetism in two-dimensional Fe3GeTe2. Nature 563, 94–99 (2018).
Acknowledgements
We thank Chao Lei, B. Wieder, A. Ernst, and M. G. Vergniory for helpful discussions. This research was primarily supported by the National Science Foundation through the Center for Dynamics and Control of Materials: an NSF MRSEC under Cooperative Agreement No. DMR-1720595, which also supported the facility used in sample preparation. Additional support from NSF DMR-1949701 and DMR-2114825 is gratefully acknowledged by G.A.F. This work was performed in part at the Aspen Center for Physics, which is supported by the National Science Foundation grant PHY-1607611. A.L. acknowledges support from the funding grant: PID2019-105488GB-I00. Z.Y. and R.H. acknowledge support by the NSF CAREER Grant No. DMR-1760668 and NSF Grant No. DMR-2104036. X.L. gratefully acknowledges the Welch Foundation grant F-1662 for support in sample preparation. Work at ORNL was supported by the U.S. Department of Energy, Office of Science, Basic Energy Sciences, Materials Sciences and Engineering Division. M. R-V. was supported by LANL LDRD Program and by the U.S. Department of Energy, Office of Science, Basic Energy Sciences, Materials Sciences and Engineering Division, Condensed Matter Theory Program. L.-J.C. and S.-F.L. were primarily funded by the Ministry of Science and Technology 105-2112-M-001-031-MY3 in Taiwan, and the collaboration with UT-Austin is facilitated by the Air Force Office of Scientific Research under award number FA2386-21-1-4067. Partial funding for L.-J.C. while visiting UT-Austin was provided by a Portugal-UT collaboration grant.
Author information
Authors and Affiliations
Contributions
J.Y. grew the MBT bulk crystals. D.L. prepared the exfoliated samples, and N.N., L.-J.C., and S.-F.L. helped characterize the samples. D.L., J.C., and Z.Y. performed magneto-Raman measurements under the supervision of R.H. and X.L. Data were analyzed by D.L., J.C, R.H., and X.L. The model calculations are led by M.R.V. and G.A.F., and the first-principles calculations are led by A.L.. D.L., M.R.-V., R.H., and X.L. wrote the paper with the input from all authors.
Corresponding authors
Ethics declarations
Competing interests
The authors declare no competing interests.
Peer review
Peer review information
Nature Communications thanks the anonymous reviewer(s) for their contribution to the peer review of this work. Peer reviewer reports are available.
Additional information
Publisher’s note Springer Nature remains neutral with regard to jurisdictional claims in published maps and institutional affiliations.
Supplementary information
Rights and permissions
Open Access This article is licensed under a Creative Commons Attribution 4.0 International License, which permits use, sharing, adaptation, distribution and reproduction in any medium or format, as long as you give appropriate credit to the original author(s) and the source, provide a link to the Creative Commons license, and indicate if changes were made. The images or other third party material in this article are included in the article’s Creative Commons license, unless indicated otherwise in a credit line to the material. If material is not included in the article’s Creative Commons license and your intended use is not permitted by statutory regulation or exceeds the permitted use, you will need to obtain permission directly from the copyright holder. To view a copy of this license, visit http://creativecommons.org/licenses/by/4.0/.
About this article
Cite this article
Lujan, D., Choe, J., Rodriguez-Vega, M. et al. Magnons and magnetic fluctuations in atomically thin MnBi2Te4. Nat Commun 13, 2527 (2022). https://doi.org/10.1038/s41467-022-29996-w
Received:
Accepted:
Published:
Version of record:
DOI: https://doi.org/10.1038/s41467-022-29996-w
This article is cited by
-
Phase-controlled growth of 2D crystals of the MB2T4 family via a flux-assisted method
Nature Communications (2026)
-
Long-lived zone-boundary magnons in an antiferromagnet
Nature Communications (2025)
-
Laser-modulated MnBi2Te4 terahertz biosensor for high-sensitivity marine bacterial detection
Analytical and Bioanalytical Chemistry (2025)
-
Observation of the axion quasiparticle in 2D MnBi2Te4
Nature (2025)
-
Intrinsic exchange biased anomalous Hall effect in an uncompensated antiferromagnet MnBi2Te4
Nature Communications (2024)






