Abstract
Diode is one of the basic electronic components. It has a nonreciprocal current response, associated with a broken space/time reversal symmetry. Here we demonstrate prototypes of superconducting diodes operational at zero magnetic field. They are based on conventional niobium planar Josephson junctions, in which space/time symmetry is broken by a combination of self-field effect from nonuniform bias and stray fields from a trapped Abrikosov vortex. We demonstrate that nonreciprocity of critical current in such diodes can reach an order of magnitude and rectification efficiency can exceed 70%. Furthermore, we can easily change the diode polarity and switch nonreciprocity on/off by changing the bias configuration and by trapping/removing of a vortex. This facilitates a memory functionality. We argue that such a diode-with-memory can be used for a future generation of in-memory superconducting computers.
Similar content being viewed by others
Introduction
Large computation facilities, such as big data centers and supercomputers have become major energy consumers with a power budget often in excess of 100 MW. It has been argued that a small fraction of this power would be sufficient for cooling down the facility to cryogenic temperatures, suitable for operation of superconductors (SC)1. SC electronics would not only enable effective utilization of energy by removing resistive losses, it could also greatly enhance the operation speed. Since there is no resistance, R = 0, the RC time constant is no longer a limiting factor. The ultimate operation frequency is determined by the SC energy gap. For many SCs it is in the THz range2. This enables clock frequencies several orders of magnitude higher than for modern semiconducting electronics. Such perspectives has lead to a renewed interest in development of a digital SC computer1,3,4,5,6,7.
Diode is one of the primary electronic components. Its nonreciprocal current–voltage (I–V) characteristics allow rectification of alternating currents, which is necessary for signal processing and ac–dc conversion. Diodes can be also used as building blocks for Boolean logics in digital computation. SC diodes should have strongly asymmetric critical currents, ∣Ic+∣ ≠ ∣Ic−∣. It is well known that nonreciprocity may appear in spatially asymmetric SC devices8,9. SC diodes, based on spatially nonuniform Josephson junctions (JJs), were demonstrated long time ago10. Also SC ratchets11, rectifying motion of either Josephson12,13,14,15 or Abrikosov16,17,18,19,20,21,22,23 vortices, were intensively studied. However, such spatially asymmetric devices operate only at finite magnetic fields, while computer components should work at zero field. Nonreciprocity at H = 0 is prohibited by the time-reversal symmetry, which requires invariance of electromagnetic characteristics upon simultaneous flipping of current and magnetic field10,24. Therefore, zero-field SC diode requires breaking of both space and time-reversal symmetry.
Recently it was shown that nonreciprocity can be induced in noncentrosymmetric SC by spin–orbit interaction (SOI)25,26,27,28,29. This renewed search for diode effects in noncentrosymmetric SC25,29,30,31 and heterostructures32,33,34. SOI can induce asymmetry of either resistance in the fluctuation region near Tc25,26,27,29,31,35, or supercurrent at low T32,33,36,37,38,39,40. However, SOI-based diodes require significant magnetic field. In several works zero-field SC diode operation was reported34,37, involving additional nontrivial effects. In this respect, nonreciprocity can be a tool for investigation of unconventional SC35,36,37,38,39,40.
In this work, we demonstrate prototypes of SC diodes with a large and switchable nonreciprocity of supercurrent at zero magnetic field. They are made of a conventional Nb SC and contain cross-like planar Josephson junctions with additional electrodes and an artificial vortex trap. Nonreciprocity is induced by a combination of self-field effect from asymmetric bias and stray fields from trapped Abrikosov vortex (AV). We demonstrate that the ratio, ∣Ic+/Ic−∣, of such diodes can reach an order of magnitude and rectification efficiency can exceed 70%. Furthermore, we can switch nonreciprocity on and off, as well as change diode polarity in one and the same device. This is achieved by trapping/removing either a vortex, or an antivortex, and/or by changing the bias configuration. This facilitates memory functionality. We argue that such a diode-with-memory can be used for a new generation of superconducting in-memory computers.
Results
The concept
We consider the simplest case of a short JJ with the length L < 4λJ, where λJ is the Josephson penetration depth. This allows neglecting of complex phenomena associated with screening effects and Josephson vortices9,10,41. Realization of zero-field SC diode requires breaking of space/time symmetry. Time-reversal leads to inversion of transport currents and magnetic fields generated by these currents. The role of an external field, H, is somewhat more tricky24. However, since it induces a spatial phase gradient in a JJ, it is connected with the spatial symmetry41.
Our concept has two simple ingredients: (i) Utilization of a nonuniform bias for achieving nonreciprocity at finite fields10; and (ii) Shifting it to zero field by persistent stray fields from a trapped AV41,42,43. These effects are summarized in Fig. 1a and b. Here black lines represent the conventional Fraunhofer modulation of the critical current versus magnetic flux, Ic(Φ), for a uniform JJ without a vortex. In this case, there are both time-reversal, Ic+(H) = ∣Ic−(H)∣, and space-reversal, Ic±(H) = Ic±( − H), symmetries.
a Self-field phenomenon, induced by a spatial nonuniformity and (b) Flux offset by stray fields from a trapped Abrikosov vortex. a Simulated Ic(Φ) modulation: black—for a uniform JJ with constant critical current density, Jc, and bias, Ib; olive - for Jc = const with a slightly nonuniform bias, Ib(x), leading to appearance of self-field; blue—for Jc = const with a strongly nonuniform bias, Ib(x); magenta—the same as for blue with added V-shape spatial inhomogeneity of Jc(x). b Simulated Ic(Φ) for a uniform JJ with a uniform bias without (black) and with a trapped antivortex (red) at xv = L/2 and zv = 0.1L. The inset represents a sketch of the vortex-junction configuration. c The nonreciprocity, ∣Ic+(Φ)/Ic−(Φ)∣, for the cases from a, b in the same color palette. It is seen that nonuniformity induces nonreciprocity, but only at a finite field, H ∝ Φ ≠ 0. Vortex stray fields offset and distort Ic(Φ), but do not induce nonreciprocity.
Nonuniformity of junction characteristics breaks the spatial symmetry. Most common are nonuniform critical current density, Jc(x), and bias current, Ib(x), distributions. Both lead to the appearance of self-field effect8,9,10: a nonuniformly distributed current generates magnetic field component parallel to H. Olive and blue lines in Fig. 1a represent calculated Ic(Φ) patterns (see Methods) for small and large self-field effects in a JJ with a uniform critical current, Jc(x) = const, but with a nonuniform bias, Ib(x) ≠ const. Magenta lines are calculated for the same Ib(x) ≠ const as for the blue curves, with additional nonuniformity of Jc(x) ≠ const. As discussed in ref. 10, asymmetric nonuniformities of both Jc(x) and Ib(x) tilt Ic(H) patterns and lead to appearance of a nonreciprocity, Ic+(H) ≠ ∣Ic−(H)∣, at finite H. However, for any nonuniformity, the Ic(H) modulation remains centrosymmetric, Ic+(H) = −Ic−(−H). This is the consequence of space/time symmetry: simultaneous flipping of I and H is equivalent to looking at the same JJ from the back side and, therefore, should lead to the identical observation10.
Red lines in Fig. 1b represent the Ic(Φ) modulation in a uniform junction with a trapped AV, placed symmetrically in the middle of the electrode, xv = L/2, at a distance zv = 0.1L from the JJ (see the sketch in the inset). Stray fields from AV both distort and shift the Ic(H) pattern42,43,44. This breaks the space-reversal, Ic±(H) ≠ Ic±( − H), but preserves the time-reversal, Ic+(H) = ∣Ic−(H)∣, symmetry. Note that for short JJs this symmetry is preserved even for asymmetric vortex locations, xv ≠ L/2, but for long JJs all types of symmetries are removed due to appearance of Josephson vortices41.
In Fig. 1c we plot the nonreciprocity, ∣Ic+(Φ)/Ic−(Φ)∣, for the curves from panels (a) and (b). It is seen that uniform JJs without (black) or with (red) a vortex are reciprocal, ∣Ic+/Ic−∣ = 1. Nonuniform JJs exhibit the nonreciprocity, which grows with increasing the inhomogeneity of Jc(x) and Ib(x). Such Josephson diodes were studied earlier10. Their nonreciprocity could be very high: the largest peak at Φ/Φ0 ≃ − 1 for the magenta curve in Fig. 1c reaches two orders of magnitude. However, due to the centrosymmetric Ic(H) there is no effect at H = 0.
For shifting the nonreciprocity to H = 0, we utilize persistent stray fields from a trapped AV. As shown in refs. 43,44, a flux offset introduced by AV in planar JJs is determined by the polar angle, Θv, of the vortex within the junction (see the sketch in Fig. 1 b). It depends on the vortex location (xv, zv), which is the tunning geometrical factor for the vortex-induced flux offset43,44. In Fig. 2 we show calculated variation of the Ic(Φ) modulation (left) and the nonreciprocity, ∣Ic+(Φ)/Ic−(Φ)∣, (right panels) upon approaching AV towards the junction from (a) zv = ∞ to (e) zv = 0.01L along the middle line, xv = L/2. Simulations are done for the same nonuniform JJ depicted by the magenta line in Fig. 1. It is seen that with approaching the vortex to the JJ, the central nonreciprocal peak moves gradually from Φ/Φ0 ≃ − 1 toward 0 without significant reduction of the amplitude. At (d) zv = 0.05L it passes through Φ = 0. This is the optimal geometrical configuration for a zero-field diode operation.
Left panels show simulated Ic(H) patterns for a nonuniform JJ (the same as shown by magneta curves in Fig. 1) upon approaching an Abrikosov vortex to the JJ along the middle line, xv = L/2, from a zv = ∞ to e zv = 0.01L. Right panels represent corresponding nonreciprocities, ∣Ic+(H)/Ic−(H)∣. It is seen that upon approaching the vortex to the junction, growing stray fields progressively shifts nonreciprocal peaks. At a certain distance (d) the main peak passes through H = 0. This is the optimal geometrical configuration for a zero-field diode.
Experimental verification
Zero-field diodes are realized using four-terminal cross-like JJs. Figure 3a, b shows scanning electron microscope images of the two studied devices, D1 and D2. They have similar geometries. Each contains two planar JJs with L = 5.6 μm, seen as horizontal lines, and a vortex trap—a hole with diameter ~ 50 nm, placed at xv ≃ L/2 and zv ≃ 0.1L from JJ1. D1 is made from a Nb(70 nm)/CuNi(50 nm) bilayer with superparamagnetic CuNi, while D2 is made from a single Nb film (70 nm). Therefore, D1 contains proximity-coupled Nb-CuNi-Nb JJs and D2—variable thickness type constriction JJs, Nb-c-Nb. Both devices behave in a similar way, but Nb-c-Nb JJs have much larger IcRn, approaching 1 mV at low T45. This increases both the readout voltage and the upper operation frequency, fc = IcRn/Φ0, which is advantageous for electronic applications. Details of junction fabrication, characterization and experimental setup can be found in Methods, Supplementary information and refs. 3,42,43,45,46,47,48. Magnetic field is applied perpendicular to Nb film (in the y-direction).
SEM images of the two studied devices: a D1 with Nb-CuNi-Nb junctions and b D2 with constriction-like Nb-c-Nb variable thickness bridges (false color). They have similar geometries and contain two planar junctions and a vortex trap. As seen from b, devices have cross-like geometry. This allows controllable variation of the self-field effect by changing bias configurations, as sketched in c. Field is applied perpendicular to the film, in the y-direction, (x, y, z) is the right-handed coordinate system. Measured Ic(H) patterns for JJ1 on d D1 and e D2 for three bias configurations. The straight bias (olive lines) does not induce self-field. Left (blue) and right (red) corner biases induce self-fields of opposite signs, causing tilting of the Ic(H) patterns in opposite directions. f The I–V curves for JJ1 on D1 at three magnetic fields marked by dashed lines in d. A profound nonreciprocity with a factor ~ 10 difference between Ic+ and ∣Ic−∣ can be seen.
As can be seen from Fig. 3b, the studied devices have a cross-like geometry with four electrodes (left, right, top, bottom). This allows a controllable introduction of a bias asymmetry47. In Fig. 3c we sketch three bias configurations for JJ1. The straight (bottom-to-top) bias does not generate Hy field component, while biases over right/left corners do induce positive/negative self-fields, Hy, in the junction. This strongly affects junction characteristics and facilitates tunable introduction of spatial asymmetry.
Figure 3d, e shows Ic(H) patterns of JJ1 in the vortex-free case, measured using the three bias configurations for (d) D1 and (e) D2. The straight bias (olive curves) leads to a regular Fraunhofer-type modulation. However, right (red) and left (blue) corner biases tilt Ic(H) patterns in opposite directions due to the appearance of self-fields10. Figure 3f shows the I–V characteristics at three fields indicated by dashed lines in Fig. 3d. At H = 0 (green) the I–V is symmetric Ic+ = ∣Ic−∣, however, at H ≃ ± 0.8 Oe, profound nonreciprocities appear, reaching an order of magnitude of either direction. This demonstrates that the cross-like geometry allows simple and controllable introduction of the spatial (bias) asymmetry and the associated nonreciprocity at H ≠ 0.
Figure 4 summarizes diode performance for D1 with the right-corner bias (a) without AV, and (b) with a trapped vortex, or (c) antivortex. AV is controllably introduced and removed by short current pulses3,44, as described in the Supplementary. Top panels show Ic(H) modulations for JJ1 (black) and JJ2 (olive). Red lines represent numerical fits (see Methods). In Fig. 4a it is identical with the magenta curve in Fig. 1a. Fits in panels (b) and (c) are made for the actual geometry of the vortex trap and with AV-induced flux δΦ/Φ0 = ± 0.47 as a fitting parameter. It is consistent with Θv1/2π ≃ 0.44.
a Without a vortex, b with a trapped vortex, and c with an antivortex. Top panels show the Ic(H) modulations. Middle panels show the nonreciprocities, ∣Ic+/Ic−∣, upper curves, and Ic−/Ic+, lower curves. Bottom panels show rectified dc-voltage calculated for harmonic ac-bias with Iac = 220 μA ≃ Ic0. Black and olive lines represent data for junctions 1 and 2 on D1, red lines are numerical fits. Appearance of a profound nonreciprocity and rectification at H = 0 is marked by cyan circles in b, c. All measurements are performed at T ≃ 6.9 K.
Middle panels in Fig. 4 represent main experimental results of this work: the nonreciprocities ∣Ic+/Ic−∣ and Ic−/Ic+ for both JJs on D1. It can be seen that without AV, ∣Ic−/Ic+∣ at H ≃ 0.8 Oe exceeds an order of magnitude, while it is absent at H = 0. Introduction of AV shifts the maxima so that a significant nonreciprocity occurs at zero field, as indicated by cyan ovals in (b) and (c). The maximum for JJ2 in (b) exceeds a factor four. For JJ1 it is slightly offset (by ~0.1 Oe) but still exceeds a factor two at H = 0. In (c) nonreciprocity at H = 0 is more than three for both JJs. Note, that diode polarity is opposite for vortex, Ic+ > ∣Ic−∣, and antivortex, Ic+ < ∣Ic−∣. Moreover, in our cross-like devices, the polarity can also be flipped by changing bias configuration. In Fig. 4 we use the right-corner bias. If we change to the left-corner bias, both the self-field and polarity change the sign, as demonstrated in Fig. 3d, e. For the left-corner bias the polarity of vortex and antivortex states flips so that ∣Ic−∣ > Ic+ for the vortex and Ic+ > ∣Ic−∣ for the antivortex. All mentioned states are persistent and are achievable in one and the same device. Therefore, our diode is switchable. This enables a memory functionality3 with three distinct states at H = 0: a reciprocal state “0" without AV, Fig. 4a, and states “+1" and “−1" with positive and negative polarities, shown in Fig. 4b, c. Such reconfigurability is a unique property of vortex-based devices44.
Rectification is an important property of a diode. Bottom panels in Fig. 4 show rectified time-average dc-voltage, calculated for ac-bias with the amplitude Iac = 220 μA. Oscillatory field dependencies, with significant rectified voltages at central peaks, can be seen10. The maximum rectifiable voltage for the case when one side of the I–V is fully open, Iac < Ic, and the other is fully closed, Ic = 0, is 〈Vmax〉 = IacRn/π. Central peaks for simulated red curves, which have nonreciprocities in the range of 30–50, are practically ideal. Experimental peaks for the vortex-free case (a) are exceeding 80% of that value for the two central peaks. The peaks at H = 0 in (b) and (c) exceed 70%, indicating good rectification efficiency of the diodes.
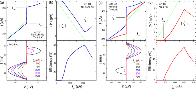
Figure 5 illustrates the ac-bias dependencies of rectification for D1 (a,b) and D2 (c,d). For clarity, we consider states with the maximum nonreciprocity at finite H. The top panel in Fig. 5a shows the I–V (royal) of JJ1 on D1 with near maximum ∣Ic+/Ic−∣. The bottom panel shows measured time dependencies of voltage, for different ac-bias amplitudes. It is seen that for ∣Ic−∣ < Iac < Ic+ only negative voltage appears during the ac-oscillation period. This leads to appearance of a negative time-average dc-voltage, 〈V〉 < 0. The top panel in Fig. 5b shows the bias dependence of rectified voltage. It appears at Iac > ∣Ic−∣, grows linearly up to Iac = Ic+ and then decreases due to progressive increase of positive voltages during the oscillation period, as seen from magenta and black V(t) curves in Fig. 5a. The green line represents the ideal case with infinite nonreciprocity, 〈Vmax〉 = IacRn/π. The bottom panel in Fig. 5b shows rectification efficiency with respect to the ideal case, 〈V〉/〈Vmax〉. It is seen that the maximum efficiency, achieved at Iac = Ic+, exceeds 80%. The maximum rectification efficiency is close to 1 − 1/ν, where ν is the nonreciprocity of Ic.
a Top: the I–V of JJ1 on D1 (dark blue) with nearly maximum nonreciprocity, Ic+/∣Ic−∣. It is measured using right-corner bias, \(I={I}_{ac}\sin (2\pi ft)\). Green line represents the ideal case with infinite nonreciprocity, Ic− = 0. Bottom: Time dependencies of voltages during one ac-period at f = 23 Hz for different bias amplitudes. b Top: time-averaged dc-voltage as a function of ac-bias amplitude for JJ1 on D1 at T ≃ 6.9 K. Green line represents the ideal case, 〈V〉max = IacRn/π. Bottom: rectification efficiency, 〈V〉/〈V〉max, versus ac-bias amplitude. c, d These show similar data for JJ1 on D2 at T = 6.3 K. Top panel in c shows I-Vs with maximum nonreciprocities obtained at H = 0.7 Oe (red) and -0.7 Oe (blue) without AV. d and bottom panel in c represent analysis of rectification for the red I-V with Ic+ < ∣Ic−∣, leading to a positive rectified voltage.
Figure 5c, d demonstrates similar data for D2. Here we analyze the state, represented by the red I–V with a maximum nonreciprocity of ∣Ic−/Ic+∣. It has the opposite diode polarity, compared to Fig. 5a, c, resulting in 〈V〉 > 0. The overall performance is similar to D1, except for the larger IcRn of Nb-c-Nb JJs, which leads to proportionally larger rectified voltages and the upper-frequency range, ~IcRn/Φ0 (see Supplementary information for additional clarifications).
Discussion
We demonstrated operation of Josephson diodes-with-memory with large and switchable nonreciprocity at zero magnetic field. Our concept is based on utilization of nonuniform bias for inducing nonreciprocity and stray fields of Abrikosov vortex, trapped at a proper position, for shifting the nonreciprocity to zero field. It is shown that such diodes have very good performance. The measured nonreciprocity of critical current exceeds a factor 4 at zero field and is more that an order of magnitude at finite field. Numerical modeling indicates that these values can be improved by another order of magnitude by a careful design. The rectification efficiency exceeds 70% at zero field. This is good enough for realization of more complex logical Boolean devices, needed for a digital superconducting computer. It has already been demonstrated3 that a very simple geometry of such devices, which do not utilize SQUIDs, along with a nano-scale vortex size allows drastic miniaturization down to submicron dimensions. However, the most unique feature of our diodes is their switchability and tunability: (i) the nonreciprocity at H = 0 can be easily introduced/removed by trapping/removing Abrikosov vortices using short current pulses and (ii) the diode polarity can be flipped by changing either the vortex sign, or the bias configuration. We argue that this may facilitate in-memory operation: an emerging new concept capable of boosting computer performance by avoiding bottlenecks associated with data shuffling between processor and memory49. This could open new perspectives for development of a digital superconducting computer. From this perspective it is advantageous that the diode is realized using conventional Nb-technology, which is mature enough for large-scale applications6.
Methods
Samples
The studied devices contain planar JJs. D1 is made from a Nb (70 nm, top)/CuNi(50 nm, bottom) bilayer with a superparamagnetic CuNi. D2 is made from a single Nb (70 nm) film. Films are deposited by dc-magnetron sputtering. They are first patterned into ~ 6 μm-wide bridges by photolithography and reactive ion etching, and subsequently nano-patterned by Ga+ focused ion beam (FIB). Both Nb-CuNi-Nb (D1) and Nb-c-Nb (D2) JJs have a variable-thickness-bridge structure. They are made by cutting a narrow (20–30 nm) groove in the top Nb layer by FIB. Vortex trap (a hole ~ 50 nm in diameter) is also made by FIB. Both devices have a similar cross-like geometry, as can be seen in Fig. 3b and Supplementary Fig. 1. They have practically identical dimensions, specified in detail in the Supplementary. We fabricated and tested similar JJs with other metals in the bottom layer3,42,43,45,46,47,48. All of them work in a similar manner. Properties of Nb films are described in ref. 50.
Experimental details
Measurements were performed in a closed-cycle cryostat. Magnetic field is applied perpendicular to the film (positive H along y-direction). Ic(H) patterns were automatically recorded upon sweeping of magnetic field from a superconducting solenoid. For this current-voltage characteristics were examined and Ic was determined using a small threshold voltage criterion, Vth ~ 1 − 2 μV. All the I–Vs shown in the manuscript are nonhysteretic.
Numerical simulations
The critical current is calculated by maximization of the Josephson current,
with respect to the phase offset φ0. Here Jc(x) is the critical current density along the JJ. The Josephson phase difference φ(x) has two contributions41:
where deff is the magnetic thickness of the junction. Here the first term represents the linear phase gradient induced by the y-component of magnetic induction and the second—a nonuniform phase shift induced by the trapped Abrikosov vortex. Since we consider only short junctions, we neglect possible screening effects and assume that By is uniform (x-independent). However, to account for the self-field effect we add an extra contribution to the applied external field H,
proportional to the total current and the self-field inductance, Lsf. Here A = Ldeff is the effective area of the junction. The vortex contribution is given by the azimuthal angle43, indicated in the sketch in Fig. 1b,
where V is the vorticity. Due to the self-field term in Eq. (3), Is is present in the right-hand-side of Eq. (1) as well. This implicit equation is solved iteratively using the bisection method. The fitting is obtained by varying two constants: Lsf in Eq. (3) and V in Eq. (4); as well as allowing for a nonuniform Jc(x) distribution in Eq, (1). The fit represented by the magenta line in Fig. 1a and red lines in Fig. 4 corresponds to the V-shaped Jc(x) with a 25% reduction in the middle of the JJ, x = L/2.
Data availability
The data that support the findings of this study are available from the corresponding author upon reasonable request.
References
Holmes, D. S., Ripple, A. L. & Manheimer, M. A. Energy-efficient superconducting computing-power budgets and requirements. IEEE Trans. Appl. Supercond. 23, 1701610 (2013).
Borodianskyi, E. A. & Krasnov, V. M. Josephson emission with frequency span 1-11 THz from small Bi2Sr2CaCu2O8+δ mesa structures. Nat. Commun. 8, 1742 (2017).
Golod, T., Iovan, A. & Krasnov, V. M. Single Abrikosov vortices as quantized information bits. Nature Commun. 6, 8628 (2015).
Soloviev, I. I. et al. Beyond Moore’s technologies: operation principles of a superconductor alternative. Beilstein J. Nanotechnol. 8, 2689 (2017).
Dayton, I. M. et al. Experimental demonstration of a Josephson magnetic memory cell with a programmable π-junction. IEEE Magn. Lett. 9, 3301905 (2018).
Tolpygo, S. K. et al. Advanced fabrication processes for superconductor electronics: current status and new developments. IEEE Trans. Appl. Supercond. 29, 1102513 (2019).
Semenov, V. K., Polyakov, Y. A. & Tolpygo, S. K. Very large scale integration of Josephson-junction-based superconductor random access memories. IEEE Trans. Appl. Supercond. 29, 1302809 (2019).
Vasenko, S. A., Likharev, K. K. & Semenov, V. K. Static properties of distributed inhomogeneous Josephson junctions. Zh. Eksp. Teor. Phys. 81, 1444–1455 (1981).
Barone, A. & Paterno, C. Physics and Applications of the Josephson Effect (J. Wiley & Sons, New York, USA, 1982).
Krasnov, V. M., Oboznov, V. A. & Pedersen, N. F. Fluxon dynamics in long Josephson junctions in the presence of a temperature gradient or spatial nonuniformity. Phys. Rev. B 55, 14486–14498 (1997).
Hänggi, P. & Marchesoni, F. Artificial Brownian motors: controlling transport on the nanoscale. Rev. Mod. Phys. 81, 387–442 (2009).
Falo, F. et al. Fluxon ratchet potential in superconducting circuits. Appl. Phys. A 75, 263–269 (2002).
Shalom, D. E. & Pastoriza, H. Vortex motion rectification in Josephson junction arrays with a ratchet potential. Phys. Rev. Lett. 94, 177001 (2005).
Beck, M. et al. High-efficiency deterministic Josephson vortex ratchet. Phys. Rev. Lett. 95, 090603 (2005).
Wang, H. B. et al. Fast Josephson vortex ratchet made of intrinsic Josephson junctions in Bi2Sr2CaCu2O8. Phys. Rev. B 80, 224507 (2009).
Lee, C.-S., Janko, B., Derenyi, I. & Barabasi, A.-L. Reducing vortex density in superconductors using the ‘ratchet effect’. Nature 400, 337 (1999).
Villegas, J. E. et al. A superconducting reversible rectifier that controls the motion of magnetic flux quanta. Science 302, 1188 (2003).
Togawa, Y. et al. Direct observation of rectified motion of vortices in a niobium superconductor. Phys. Rev. Lett. 95, 087002 (2005).
de Souza Silva, C. C., Van de Vondel, J., Morelle, M. & Moshchalkov, V. V. Controlled multiple reversals of a ratchet effect. Nature 440, 651 (2006).
Harrington, S. A., MacManus-Driscoll, J. L. & Durrell, J. H. Practical vortex diodes from pinning enhanced YBa2Cu3O7−δ. Appl. Phys. Lett. 95, 022518 (2009).
Adami, O.-A. et al. Current crowding effects in superconducting corner-shaped Al microstrips. Appl. Phys. Lett. 102, 052603 (2013).
Lustikova, J. et al. Vortex rectenna powered by environmental fluctuations. Nat. Commun. 10, 1038 (2018).
Lyu, Y.-Y. et al. Superconducting diode effect via conformal-mapped nanoholes. Nat. Commun. 12, 2703 (2021).
Albert, D. Z. Time and Chance. (Harvard University Press, Cambridge, MA, 2000).
Wakatsuki, R. et al. Nonreciprocal charge transport in noncentrosymmetric superconductors. Sci. Adv. 3, e1602390 (2017).
Wakatsuki, R. & Nagaosa, N. Nonreciprocal current in noncentrosymmetric Rashba superconductors. Phys. Rev. Lett. 121, 026601 (2018).
Tokura, Y. & Nagaosa, N. Nonreciprocal responses from noncentrosymmetric quantum materials. Nat. Commun. 9, 3740 (2018).
He, J. J., Tanaka, Y. & Nagaosa, N. A phenomenological theory of superconductor diodes. New J. Phys. 24, 053014 (2022).
Qin, F. et al. Superconductivity in a chiral nanotube. Nat. Commun. 8, 14465 (2017).
Hu, J., Wu, C. & Dai, X. Proposed design of a Josephson diode. Phys. Rev. Lett. 99, 067004 (2007).
Zhang, E. et al. Nonreciprocal superconducting NbSe2 antenna. Nat. Commun. 11, 5634 (2020).
Ando, F. et al. Observation of superconducting diode effect. Nature 584, 373 (2020).
Baumgartner, C. et al. Supercurrent rectification and magnetochiral effects in symmetric Josephson junctions. Nat. Nanotechnol. 17, 39 (2022).
Wu, H. et al. The field-free Josephson diode in a van der Waals heterostructure. Nature 604, 653 (2022).
Yasuda, K. et al. Nonreciprocal charge transport at topological insulator/superconductor interface. Nat. Commun. 10, 2734 (2019).
Pal, B. et al. Josephson diode effect from Cooper pair momentum in a topological semimetal, arXiv:2112.11285.
Lin, J.-X. et al. Zero-field superconducting diode effect in small-twist-angle trilayer graphene. arXiv: 2112.07841.
Diez-Merida, J. et al. Magnetic Josephson junctions and superconducting diodes in magic angle twisted bilayer graphene, arXiv:2110.01067.
Bauriedl, L., et al. Supercurrent diode effect and magnetochiral anisotropy in few-layer NbSe2 nanowires, arXiv:2110.15752.
Shin, J. et al. Magnetic proximity-induced superconducting diode effect and infinite magnetoresistance in van der Waals heterostructure, arXiv:2111.05627.
Krasnov, V. M. Josephson junctions in a local inhomogeneous magnetic field,. Phys. Rev. B 101, 144507 (2020).
Golod, T., Rydh, A. & Krasnov, V. M. Detection of the phase shift from a single Abrikosov vortex. Phys. Rev. Lett. 104, 227003 (2010).
Golod, T., Pagliero, A. & Krasnov, V. M. Two mechanisms of Josephson phase shift generation by an Abrikosov vortex. Phys. Rev. B 100, 174511 (2019).
Golod, T. et al. Reconfigurable Josephson phase shifter. Nano Lett. 21, 5240–5246 (2021).
Grebenchuk, S.Y., Cattaneo, R., Golod, T. & Krasnov, V.M. Nonlocal long-range synchronization of planar Josephson junction arrays. arXiv:2201.11453.
Krasnov, V. M. et al. Planar S-F-S Josephson junctions made by focused ion beam etching. Physica C 418, 16–22 (2005).
Golod, T., Kapran, O. M. & Krasnov, V. M. Planar superconductor-ferromagnet-superconductor Josephson junctions as scanning-probe sensors. Phys. Rev. Appl. 11, 014062 (2019).
Boris, A. A. et al. Evidence for nonlocal electrodynamics in planar Josephson junctions. Phys. Rev. Lett. 111, 117002 (2013).
Plattner, H. & Zeier, A. In-Memory Data Management: Technology and Applications. (Springer Science & Business Media 2012), ISBN 9783642295744.
Zeinali, A., Golod, T. & Krasnov, V. M. Surface superconductivity as the primary cause of broadening of superconducting transition in Nb films at high magnetic fields. Phys. Rev. B 94, 214506 (2016).
Funding
Open access funding provided by Stockholm University.
Author information
Authors and Affiliations
Contributions
T.G. fabricated samples and performed measurements with input from V.M.K. V.M.K. conceived the project and wrote the manuscript with input from T.G.
Corresponding author
Ethics declarations
Competing interests
The authors declare no competing interests.
Peer review
Peer review information
Nature Communications thanks Yong-Lei Wang and the other anonymous reviewer(s) for their contribution to the peer review of this work. Peer reviewer reports are available
Additional information
Publisher’s note Springer Nature remains neutral with regard to jurisdictional claims in published maps and institutional affiliations.
Supplementary information
Rights and permissions
Open Access This article is licensed under a Creative Commons Attribution 4.0 International License, which permits use, sharing, adaptation, distribution and reproduction in any medium or format, as long as you give appropriate credit to the original author(s) and the source, provide a link to the Creative Commons license, and indicate if changes were made. The images or other third party material in this article are included in the article’s Creative Commons license, unless indicated otherwise in a credit line to the material. If material is not included in the article’s Creative Commons license and your intended use is not permitted by statutory regulation or exceeds the permitted use, you will need to obtain permission directly from the copyright holder. To view a copy of this license, visit http://creativecommons.org/licenses/by/4.0/.
About this article
Cite this article
Golod, T., Krasnov, V.M. Demonstration of a superconducting diode-with-memory, operational at zero magnetic field with switchable nonreciprocity. Nat Commun 13, 3658 (2022). https://doi.org/10.1038/s41467-022-31256-w
Received:
Accepted:
Published:
Version of record:
DOI: https://doi.org/10.1038/s41467-022-31256-w
This article is cited by
-
Planar Josephson Junctions for Sensors and Electronics
Journal of Superconductivity and Novel Magnetism (2026)
-
Geometrical design of 3D superconducting diodes
Communications Materials (2025)
-
High-temperature field-free superconducting diode effect in high-Tc cuprates
Nature Communications (2025)
-
Back-action supercurrent rectifiers
Communications Physics (2025)
-
Josephson diode effect in nanowire-based Andreev molecules
Communications Physics (2025)







