Abstract
Amines and alcohols with a fully substituted α-carbon are structures of great value in organic synthesis and drug discovery. While conventional methods towards these motifs often rely on enantioselective carbon-carbon or carbon-heteroatom bond formation reactions, a desymmetric method is developed here by selectively hydrosilylating one of the esters of easily accessible α-substituted α-amino- and -oxymalonic esters. The desymmetrization is enabled by a suite of dinuclear zinc catalysts with pipecolinol-derived tetradentate ligands and can accommodate a diverse panel of heteroatom substituents, including secondary amides, tertiary amines, and ethers of different sizes. The polyfunctionalized reduction products, in return, have provided expeditious approaches to enantioenriched nitrogen- and oxygen-containing molecules, including dipeptides, vitamin analogs, and natural metabolites.
Similar content being viewed by others
Introduction
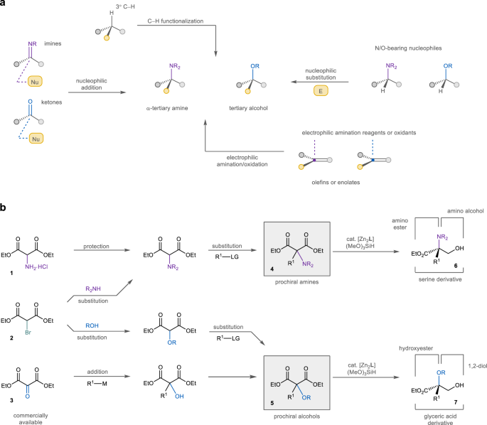
Amines and alcohols with a tetrasubstituted α-carbon are prevalent structural fragments in bioactive natural metabolites, including alkaloids, polyketides, and terpenoids1,2. These fully substituted carbons can also benefit drug discovery by bringing enhanced structural diversity and lipophilicity while blocking undesired enzymatic degradation3,4. As a result, continuous efforts have been devoted to construct α-tertiary amines and tertiary alcohols, particularly their polyfunctionalized derivatives like amino acids, hydroxyesters, and diols, in an efficient and stereoselective manner. Traditional methods to access these chiral motifs often rely on face-selective bond formation reactions of planar substrates and intermediates, including nucleophilic addition to ketones or imines5,6,7,8, electrophilic oxidation or amination9,10, substitution reactions of oxygen- or nitrogen-bearing nucleophiles11,12, and rearrangement reactions13 (Fig. 1a). Recent advances in transition metal and enzymatic catalysis have also allowed the asymmetric amination and oxidation of tertiary C‒H bonds to generate these α-tetrasubstituted structures14,15.
a Synthesis of chiral α-tertiary amines and tertiary alcohols. Nu nucleophile, E electrophile. b Reductive desymmetrization of amino- and oxymalonic esters (this work). The prochiral amine and alcohol substrates of the desymmetrization can be easily and modularly prepared from commercially available starting materials 1–3. M metal, LG leaving group.
Recently, we have accomplished the reductive desymmetrization of all-carbon-16,17 and halogen-substituted18 malonic esters using a series of dinuclear zinc complexes with a tetradentate ligand. It is envisioned that the inclusion of amino- and oxymalonic esters in this desymmetrization paradigm19,20 would provide an expeditious and diverse synthesis of enantioenriched α-tertiary amines and tertiary alcohols, as these diester substrates (4 and 5) can be rapidly and modularly prepared from inexpensive amino-, bromo-, and ketomalonic esters (1–3) via facile substitution and addition reactions (Fig. 1b). Nevertheless, there are additional challenges associated with these nitrogen-/oxygen-containing substrates. First, unlike inert alkyl and aryl groups, coordinating and/or acidic nitrogen/oxygen substituents can deactivate the bimetallic catalyst containing both a Lewis acidic and Brønsted basic zinc center21. Second, as the enantioselection of the desymmetrization boils down to the size difference between two α-substituents, a pair of carbon substituents of dinstinct sizes (e.g., phenyl vs methyl) were often prerequisite for a highly stereoselective hydrosilylation to quaternary stereocenters16,17. Comparably, a wide scope of amino- and oxymalonic esters would require catalysts to accommodate heteroatom substituents of diverse shapes and sizes, such as ethers, amides, and alkyl amines, to contrast different carbon sidechains (i.e., small carbon vs large heteroatom substituents and vice versa). Third, the synthetic application of the desymmetrization products hinges heavily on the derivatization potential of the nitrogen/oxygen substituents. As a result, the selection of protecting groups for amines and alcohols that are robust and can be removed under mild conditions is nontrivial.
In this work, we show that a suite of pipecolinol-derived tetradentate ligands can accommodate various types of nitrogen-/oxygen-substituted malonic esters to deliver the enantioenriched hydrosilylation products. While similar malonic esters have been desymmetrized before, these transformations were intramolecular and only chiral heterocycles were accessed in most cases22,23,24,25. In comparison, the reductive and intermolecular desymmetrization brings abundant application potential with the resulting β-hydroxyester motif and heteroatom substituents. For example, while the desymmetrization product of aminomalonate (6) can be viewed as highly functionalized amino alcohols/esters and serine derivatives, oxymalonic esters (5) can lead to oxygen-rich chiral molecules, such as diols and glyceric acids (7). Moreover, as the amino- and oxy-substiuents do not participate in the hydrosilylation, a wide scope of them, including ethers, amines, and amides, is obtained. When coupled with a large collection of compatible sidechains (i.e., R1), the diversity of accessible structures via the desymmetrization is further expanded and facilitates the post-reduction derivatization to chiral nitrogen- and oxygen-containing molecules of higher complexity.
Results and discussion
Ligand identification
We initiated our exploration using aminomalonic ester equipped with a common benzoyl protecting group (Fig. 2a, 8). Unfortunately, reactions with prolinol-based L1 and L2, two privileged ligands for all-carbon-substituted malonic esters22, returned no desymmetrization product. On the other hand, the aminomalonate shares a similar preference of tetradentate ligands with halomalonic esters18, as pipecolinol ligands (L3–L5), particularly those with a pair of 3,5-disubstituted aryl groups (L4 and L5), revived the reactivity of hydrosilylation. Meanwhile, the steric hindrance of the achiral gem-diaryl motif (i.e., Ar1) is equally important. Changing 1-naphathyl to a bare phenyl group (L6) largely inhibits the reduction, yet replacement with 3,5-di-tert-butylphenyl (L7) gives a similar level of enantiocontrol. Although ortho-substituted aryls (L8 and L9) gave moderately better performance relative to fused naphthyls, a methylated 7-indolyl motif (L10) significantly improved both the yield and enantioselectivity.
a Optimization of ligand scaffold. Unless noted otherwise, the desymmetrization was run using 8 (0.1 mmol), (MeO)3SiH (0.3 mmol), tetradentate ligand (5 mol%), and ZnEt2 (10 mol%) in toluene at −10 °C for 24 h. The yields were determined using crude NMR spectra after work-up and e.e. values by chiral HPLC analysis of isolated product. Bz benzoyl, e.e. enantiomeric excess, n.r. no reduction, n.a. not available, n.d. not determined due to low yield. b Examination of six representative amino- and oxyamlonic esters. The absolute configuration of 9 was determined by comparison with a known N-Boc-protected α-amino acid after hydrolysis and protection. The absolute configuration of 10 was determined by comparison with a known compound after transesterification to methyl ester. The absolute configuration of 12 was determined by comparison with chiral citramalic acid after a sequence of derivatization (see Supplementary Fig. 255). The absolute configuration of 13 was determined by comparison with a known compound after deprotecting of the methyl ether. Bn benzyl.
At the same time, to devise a flexible desymmetric synthesis that caters for various carbon sidechains of malonic esters, we have identified and tested six representative categories of substrates (Fig. 2b). Besides benzoyl protecting group (Cat. I), malonic esters with a dibenzylamine motif (Cat. II) were also included, as the bulky tertiary amine is expected to contrast sharply with small carbon substituents (e.g., C1–C3) for good enantioselectivity. Also due to the same reason, both malonic esters with a large p-methoxyphenyl ether26,27,28 (Cat. IV) or a small methoxy group (Cat. V) were investigated. These categories were all successfully desymmetrized using the panel of 3,5-di-tert-butylphenyl-substituted pipecolinol ligands with slightly different achiral sidearms (L7, L9, and L10). In addition, cyclic amines (Cat. III) and ethers (Cat. VI) are also compatible, affording enantioenriched heterocycles embedded with a tetrasubstituted stereocenter. It is worth noting that the determined absolute configuration of these desymmetrization products (i.e., 9, 10, 12, and 13) supported the size difference between two substituents of malonic esters as the dominant factor of the enantioselection by the dinuclear zinc catalyst.
Substrate scope
The study of substrate scope evolves around these six classes of substrates. Benzoylamino motif was found to match alkyl chains of different lengths and shapes (15–19) to give structurally diverse α-tertiary amines stereoselectively (Fig. 3). Pendant functional groups, such as olefin (20), alkenyl bromide (21), acetal (22), cyclic ether (23), and thioether (24), are all compatible and expected to assist further derivatization of the chiral amines. Substituted aryl and heteroaryl moieties (25–29) are also tolerated. Particularly, aryl ester (28) and nitro motifs (29), two functional groups that were known to undergo hydrosilylation29, remained intact during the desymmetrization, showcasing the high chemoselectivity of the zinc catalyst. The excellent functional group compatibility also allowed us to access polyfunctionalized derivatives of biomolecules, such as DOPA (30) and tryptophan (31). When a tert-butyl ester (32) or carbamate (33) was attached, enantioenriched homoglutamic acid and ornithine analogs can be generated and these molecules can be applied as chemical differentiated 1,6-diester and 1,4-diamine, respectively. It is worth noting that the desymmetric hydrosilylation can even operate on dipeptides (34–36), and zinc catalysts of opposite configuration can be used to access both isomers (35 and 36) from a chiral substrate in good diastereoselectivity. Meanwhile, compared with primary alkyl groups, the pipecolinol ligand gave a poor enantiocontrol for malonic esters with a secondary alkyl or aryl motif (37–39). In these cases, the prolinol counterpart of L10 (L11) can improve the enantioselectivity, probably due to the smaller five-membered amino alcohol that provides a more spacious catalyst pocket. Intriguingly, the switch of ligand also alternated the configuration of the hydrosilylation product, indicating two distinctive modes of enantiocontrol between catalyst pockets derived from prolinols and pipecolinols.
Unless noted otherwise, the desymmetrization was run using aminomalonic ester (0.3 mmol), (MeO)3SiH (0.9 mmol), tetradentate ligand (L7, L9, L10, or L11, 5 mol%), and ZnEt2 (10 mol%) in toluene at −10 °C. The yields shown were isolated yields and e.e. values were determined by chiral HPLC analysis of isolated products. The d.r. values of 35 and 36 were determined by crude NMR. d.r. diastereomeric ratio.
Dibenzylamine-substituted malonic esters (Cat. II) can also accommodate various alkyl groups. However, the scope is limited to small-sized motifs, such as ethyl (40), allyl (41), and propargyl (42), owing to the difficult substitution of the bulky dialkylaminomalonate with large electrophiles (e.g., 43). Cyclic amino groups, such as morpholine (44), piperidine (45), and piperazine (46), are suitable substituents, allowing the synthesis of enantioenriched amines containing these pharmaceutically relevant motifs30,31. On the other hand, the exploration of cyclic aminomalonic esters (Cat. III) as the desymmetrization substrates yielded a diverse panel of nitrogen heterocycles embedded with a tetrasubstituted carbon, including non-natural prolinol (11 and 47) and pipecolinol (48) derivatives. The generality of the desymmetric method was further showcased by the stereoselective synthesis of chiral lactams of different ring sizes (49–52). Notably, all these heterocyclic products are polyfunctionalized in nature with a variety of functional groups that are expected to facilitate post-reduction derivatization to more complex structures.
The desymmetrization also proceeded on a diverse library of oxymalonic esters (Fig. 4a). Assorted alkyl groups, such as methyl (12), ethyl (53), allyl (54), and propargyl (55), match well with large p-methoxyphenyl ether (Cat. IV) to give corresponding masked alcohols in excellent enantioselectivity. Nevertheless, the isopropyl-substituted substrate 56 failed to give any desymmetrization product. In comparison, both secondary (13, 57, and 58) and tertiary (59-61) alkyl motifs of large sizes are better paired with a methoxy group (Cat. V). The small size of the methyl ether also allowed the accommodation of large and rigid arenes (62–64), including those with an ortho-substituent (63) or fused ring (64). Intriguingly, we successfully applied silyl ether as a traceless protecting group in the desymmetrization of a vinyl-substituted malonic esters and the trimethylsilyl moiety was readily removed during the work-up to give glyceric ester 66. Furthermore, the dinuclear zinc catalyst can house cyclic ethers (Cat. VI) of different shapes and desymmetrize the diesters to give chiral hydrobenzofuran (14), chromane (67), and isochromane (68). We have also attempted to extend the hydrosilylation reaction to asymmetric transformations other than desymmetrization, as well as substrates besides malonic esters (Fig. 4b). The kinetic resolution of oxymalonamate 69 proceeded smoothly to give a pair of enantioenriched starting material and β-hydroxyamide (70) with a moderate s factor. On the other hand, however, glutaric esters (e.g., 71) were unreactive, indicating the necessity of a 1,3-dicarbonyl motif for the dinuclear catalyst to operate on.
a Scope of oxymalonic esters for the desymmetric hydrosilylation. Unless noted otherwise, the desymmetrization was run using oxymalonic ester (0.3 mmol), (MeO)3SiH (0.9 mmol), L9 (5 mol%), and ZnEt2 (10 mol%) in toluene at 0 °C. The yields shown were isolated yields and the e.e. values were determined by chiral HPLC analysis of isolated products. TMS trimethylsilyl, PG protecting group. aThe e.e. values were determined after an esterification with benzoyl chloride. b Kinetic resolution of oxymalonic esters and an attempted desymmetrization of diethyl glutarate. s, s factor of the kinetic resolution.
Synthetic application
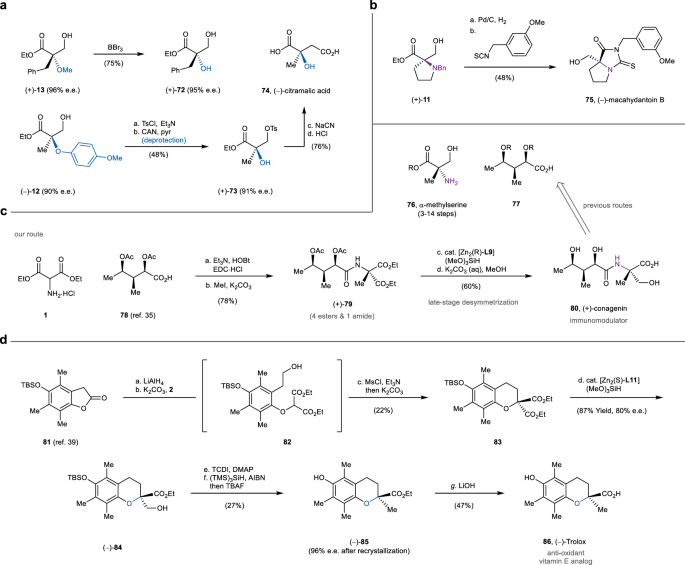
The application of desymmetrization to access bioactive molecules was subsequently examined. We first demonstrated that the methyl and p-methoxyphenyl ether can be smoothly deprotected using boron tribromide and ceric ammonium nitrate, respectively (Fig. 5a)32. Coupled with a cyanation and hydrolysis, the removal of the ether protecting group also provided a short synthesis of chiral citramalic acid (74) from desymmetrization product 12. Although malic acid derivatives were shown to be accessible via the epoxidation and cyanation of the desymmetrization product from chloro/bromomalonic esters in our previous study18, the differentiation between a methyl and halogen was poor, thus not able to afford citramalic acid with high enantioselectivity in principle. On the other hand, when reacting with an isothiocyanate, both the amine and ester of prolinol 11 participated to give the fused ring of macahydantoin B (75) rapidly (Fig. 5b)33.
a Deprotection of ethers and synthesis of citramalic acid. Ts toluenesulfonyl, CAN ceric ammonium nitrate, pyr pyridine. b Hydrogenative deprotection of benzylamine and synthesis of macahydantoin B. c A late-stage desymmetrization approach towards conagenin. Ac acetyl, HOBt 1-Hydroxybenzotriazole, EDC N-(3-dimethylaminopropyl)-N′-ethylcarbodiimide. d Synthesis of chiral Trolox via the desymmetrization of cyclic malonic ester. TBS tert-butyldimethylsilyl, Ms methanesulfonyl, TCDI thiocarbonyldiimidazole, DMAP 4-dimethylaminopyridine, AIBN azobisisobutyronitrile, TBAF tetra-n-butylammonium fluoride.
We also devised a desymmetric approach toward conagenin (Fig. 5c). Reported accesses to this important immunomodulator often hinge on the amide bond formation between chiral acid 77 and α-methylserine derivative 76, a building block nontrivial to synthesize stereoselectively34. In contrast, we employed a late-stage desymmetrization strategy, where the stereocenter on the methylserine residue was directly fashioned on a malonic ester (79) easily prepared from a known acid35 (78) and commercially available aminomalonate 1. Given that the hydrosilylation substrate (79) contains four esters and one amide, the approach clearly demonstrates the good site-, chemo-, and stereoselectivity of the dinuclear zinc catalyst. A similar malonate-based synthesis of Trolox36,37,38 (86), a water-soluble antioxidant, was also successfully implemented (Fig. 5d). In this case, a cyclic and ethereal diester (83) was prepared from known lactone 8139 and bromomalonic ester 2, followed by the desymmetrization and deoxygenation to generate the chiral chromane core (85).
During this study and our previous exploration of ligand scaffolds16,17,18, prolinol- (e.g., L11), and pipecolinol-derived (e.g., L9) tetradentate ligands were found to give dominant hydrosilylation products of opposite configuration (Fig. 6, 92 and 93). We propose that the switch of enantioselection results from the different conformation of the pyrrolidine and piperidine. As observed in similar complexes40, the bulky diarylmethanol motif of the prolinol in 88 supposedly points away from the envelope plane and creates a high barrier for the catalyst pocket (i.e., the right front area of 90). When the malonic ester adopts a bridged chelation41,42 with the dinuclear zinc catalyst, the bis-aryl group would force the larger substituent of the substrate to the back of the catalyst, and the left ester in 90 is hydrosilylated selectively, presumably facilitated by the triarylmethoxide via a six-membered ring transition state. In the pipecolinol-based complex (89), however, the preferred diequatorial conformation of the six-membered ring significantly lowers the shield of the bis-aryl motif on the zinc center (i.e., the right front area of 91). While RL is still directed to the back to reduce repulsion (91), the alkoxide on the right becomes more exposed to mediate the hydrosilylation.
Our results indicate that ligands derived from prolinols and pipecolinols give hydrosilylation products of opposite configuration (92 and 93). The distinct stereoselectivity is proposed to arise from the different catalyst pockets. In the model of prolinol-derived ligand (88 and 90), the bulky diaryl motif of the prolinol would repel the large substituent of the malonic ester to the back and block the right front area in 90. Therefore, the hydrosilylation takes place on the left ester. Meanwhile, the chair conformation of the pipecolinol would lower the barrier of the right front area in 91 significantly. While the larger substituent still points to the back, the hydrosilylation is mediated by the more exposed alkoxide on the right. RL larger substituent, RS smaller substituent.
In summary, we have devised an asymmetric synthesis of α-tetrasubstituted amines and alcohols via the desymmetrization of malonic esters. This approach takes advantage of the facile preparation of heteroatom-substituted malonic esters and bridges it with the high derivatization potential of the polyfunctionalized hydrosilylation products. The use of the pipecolinol-derived and tetradentate ligand scaffold with a pair of di-tert-butylphenyl groups allows the inclusion of substrates with a diverse array of amino and oxy functional groups. As a result, malonic ester-based syntheses have been enabled to access natural metabolites and bioactive molecules in a rapid and stereoselective fashion.
Methods
General procedure for the reductive desymmetrization
To an oven-dried 10-mL round bottom flask with a stir bar was added L10 (45.0 mg, 0.05 mmol), then the flask was sealed with a rubber septum and evacuated/refilled with nitrogen for three times. Freshly distilled toluene (1 mL) was added to the flask via syringe and the mixture was stirred at room temperature for 5 min. Diethylzinc (0.10 mL, 1.0 M solution in hexane, 0.10 mmol) was added to the flask via syringe slowly. The resulting catalyst solution was stirred at room temperature for 30 min before use.
To a separate oven-dried 5-mL Schlenk tube with a stir bar was added aminomalonic ester (0.30 mmol, 100 mol%), sealed with a rubber septum, and evacuated/refilled with nitrogen for three times. Trimethoxysilane (110 mg, 0.90 mmol, 300 mol%) and freshly distilled toluene (2.7 mL) were added via syringe. The mixture was stirred at room temperature while 0.3 mL of catalyst solution was added via syringe. The reaction mixture was stirred at −10 °C for 36 h, monitored by thin-layer chromatography. After the starting material was consumed, 0.2 mL triethylamine trihydrofluoride was added dropwise to quench the reaction. The mixture was diluted with 5 mL diethyl ether and stirred for 30 min. Subsequently, the reaction mixture was filtered through a short pad of silica gel, eluted with diethyl ether slowly (as the remaining triethylamine trihydrofluoride reacts with silica gel to release heat). The filtrate was evaporated and purified by flash column chromatography (hexane/ethyl acetate) to yield the desymmetrization product.
Data availability
The data supporting the findings of this study are available within the paper and its Supplementary Information.
References
Welsch, M. E., Snyder, S. A. & Stockwell, B. R. Privileged scaffolds for library design and drug discovery. Curr. Opin. Chem. Biol. 14, 347–361 (2010).
Zhao, H. & Dietrich, J. Privileged scaffolds in lead generation. Expert Opin. Drug Discov. 10, 781–790 (2015).
Blaskovich, M. A. T. Unusual amino acids in medicinal chemistry. J. Med. Chem. 59, 10807–10836 (2016).
Lorenz, M., Evers, A. & Wagner, M. Recent progress and future options in the development of GLP-1 receptor agonists for the treatment of diabesity. Bioorg. Med. Chem. Lett. 23, 4011–4018 (2013).
Riant, O. & Hannedouche, J. Asymmetric catalysis for the construction of quaternary carbon centres: nucleophilic addition on ketones and ketimines. Org. Biomol. Chem. 5, 873–888 (2007).
Shibasaki, M. & Kanai, M. Asymmetric synthesis of tertiary alcohols and α-tertiary amines via Cu-catalyzed C−C bond formation to ketones and ketimines. Chem. Rev. 108, 2853–2873 (2008).
Wang, J., Liu, X. & Feng, X. Asymmetric Strecker reactions. Chem. Rev. 111, 6947–6983 (2011).
Wu, W.-B., Yu, J.-S. & Zhou, J. Catalytic enantioselective cyanation: recent advances and perspectives. ACS Catal. 10, 7668–7690 (2020).
Janey, J. M. Recent advances in catalytic, enantioselective α-aminations and α-oxygenations of carbonyl compounds. Angew. Chem. Int. Ed. 44, 4292–4300 (2005).
Smith, A. M. R. & Hii, K. K. Transition metal catalyzed enantioselective α-heterofunctionalization of carbonyl compounds. Chem. Rev. 111, 1637–1656 (2011).
Maruoka, K. & Ooi, T. Enantioselective amino acid synthesis by chiral phase-transfer catalysis. Chem. Rev. 103, 3013–3028 (2003).
Opatz, T. The chemistry of deprotonated α-aminonitriles. Synthesis 12, 1941–1959 (2009).
Clayden, J., Donnard, M., Lefranc, J. & Tetlow, D. J. Quaternary centres bearing nitrogen (α-tertiary amines) as products of molecular rearrangements. Chem. Commun. 47, 4624–4639 (2011).
Lu, H. & Zhang, X. P. Catalytic C–H functionalization by metalloporphyrins: recent developments and future directions. Chem. Soc. Rev. 40, 1899–1909 (2011).
Zhang, C., Li, Z.-L., Gu, Q.-S. & Liu, X.-Y. Catalytic enantioselective C(sp3)–H functionalization involving radical intermediates. Nat. Commun. 12, 475 (2021).
Xu, P. & Huang, Z. Catalytic reductive desymmetrization of malonic esters. Nat. Chem. 13, 634–642 (2021).
Xu, P., Liu, S. & Huang, Z. Desymmetric partial reduction of malonic esters. J. Am. Chem. Soc. 144, 6918–6927 (2022).
Zheng, Y., Zhang, S., Low, K.-H., Zi, W. & Huang, Z. A unified and desymmetric approach to chiral tertiary alkyl halides. J. Am. Chem. Soc. 144, 1951–1961 (2022).
Yamamoto, K. et al. Enantioselective synthesis of α-substituted serine derivatives via Cu-catalyzed oxidative desymmetrization of 2-amino-1,3-diols. Org. Process. Res. Dev. 23, 660–666 (2019).
Nájera, C., Foubelo, F., Sansano, J. M. & Yus, M. Enantioselective desymmetrization reactions in asymmetric catalysis. Tetrahedron 106-107, 132629 (2022).
Trost, B. M., Hung, C.-I. & Mata, G. Dinuclear metal-prophenol catalysts: development and synthetic applications. Angew. Chem. Int. Ed. 59, 4240–4261 (2020).
Karad, S. N., Panchal, H., Clarke, C., Lewis, W. & Lam, H. W. Enantioselective synthesis of chiral cyclopent-2-enones by nickel-catalyzed desymmetrization of malonate esters. Angew. Chem. Int. Ed. 57, 9122–9125 (2018).
Selmani, A. & Darses, S. Enantioenriched 1‑tetralones via rhodium-catalyzed arylative cascade desymmetrization/acylation of alkynylmalonates. Org. Lett. 21, 8122–8126 (2019).
Kelley, A. M. et al. Asymmetric synthesis of novel spirocycles via a chiral phosphoric acid catalyzed desymmetrization. Tetrahedron Lett. 60, 1262–1264 (2019).
Kelley, A. M., Haywood, R. D., White, J. C. & Petersen, K. S. Enantioselective desymmetrizations of diesters to synthesize fully substituted chiral centers of 3,4-dihydrocoumarins and related compounds. ChemistrySelect 5, 3018–3022 (2020).
Corey, E. J., Guzman-Perez, A. & Noe, M. C. The application of a mechanistic model leads to the extension of the sharpless asymmetric dihydroxylation to allylic 4-methoxybenzoates and conformationally related amine and homoallylic alcohol derivative. J. Am. Chem. Soc. 117, 10805–10816 (1995).
Qin, D., Byun, H.-S. & Bittman, R. Synthesis of plasmalogen via 2,3-bis-O-(4′-methoxybenzyl)-sn-glycerol. J. Am. Chem. Soc. 121, 662–668 (1999).
Nakamura, S., Sugano, Y., Kikuchi, F. & Hashimoto, S. Total synthesis and absolute stereochemistry of polygalolides A and B. Angew. Chem. Int. Ed. 45, 6532–6535 (2006).
Formenti, D., Ferretti, F., Scharnagl, F. K. & Beller, M. Reduction of nitro compounds using 3d-non-noble metal catalysts. Chem. Rev. 119, 2611–2680 (2019).
Shaquiquzzaman, M. et al. Piperazine scaffold: a remarkable tool in generation of diverse pharmacological agents. Eur. J. Med. Chem. 102, 487–529 (2015).
Kourounakis, A. P., Xanthopoulos, D. & Tzara, A. Morpholine as a privileged structure: a review on the medicinal chemistry and pharmacological activity of morpholine containing bioactive molecules. Med. Res. 40, 709–752 (2019).
Wuts, P. G. M. in Greene’s Protective Groups in Organic Synthesis. 5th edition, 27−33 and 117−119 (Wiley, 2014).
Zhou, M. et al. Biomimetic synthesis of macahydantoins A and B from Lepidium meyenii, and structure revision of macahydantoin B as a class of thiohydantoin with a 4-methyl-hexahydropyrrolo[1,2-c]imidazole skeleton. Org. Lett. 19, 4952–4955 (2017).
Nakano, K., Kotsuki, H. & Ichikawa, Y. Synthesis of conagenin and α-methylserine. A review. Org. Prep. Proced. Int. 40, 67–91 (2008).
Matsukawa, Y., Isobe, M., Kotsuki, H. & Ichikawa, Y. Synthesis of (+)-conagenin. J. Org. Chem. 70, 5339–5341 (2005).
Hidemi, Y. & Kunihiko, T. Novel synthesis of (S)-(−)-chroman-2-carboxylic acid, vitamin E precursor. Chem. Lett. 18, 465–466 (1989).
Hübscher, J. & Barrier, R. Total synthesis of naturally occurring α-tocopherol. asymmetric alkylation and asymmetric epoxidation as means to introduce (R)-configuration at C(2) of the chroman moiety. Helv. Chim. Acta. 73, 1068–1086 (1990).
Uria, U., Vila, C., Lin, M.-Y. & Rueping, M. Gold-catalyzed asymmetric allylic substitution of free alcohols: an enantioselective approach to chiral chromans with quaternary stereocenters for the synthesis of vitamin E and analogues. Chem. Eur. J. 20, 13913–13917 (2014).
Gilbert, J. C. & Pinto, M. Development of novel phenolic antioxidants. synthesis, structure determination, and analysis of spiro[2,3-dihydro-5-hydroxy-4,6,7-trimethylbenzofuran-2,1’-cyclopropane]. J. Org. Chem. 57, 5271–5276 (1992).
Xiao, Y., Wang, Z. & Ding, K. Copolymerization of cyclohexene oxide with CO2 by using intramolecular dinuclear zinc catalysts. Chem. Eur. J. 11, 3668–3678 (2005).
Trost, B. M., Ito, H. & Silcoff, E. R. Asymmetric aldol reaction via a dinuclear zinc catalyst: α-hydroxyketones as donors. J. Am. Chem. Soc. 123, 3367–3368 (2001).
Trost, B. M. & Mino, T. Desymmetrization of meso 1,3- and 1,4-diols with a dinuclear zinc asymmetric catalyst. J. Am. Chem. Soc. 125, 2410–2411 (2003).
Acknowledgements
We thank the National Natural Science Foundation of China (no. 22171238, Z.H.), Research Grants Council of Hong Kong (no. 27301821, Z.H.), and the University of Hong Kong for financial support. We acknowledge funding support from the Laboratory for Synthetic Chemistry and Chemical Biology under the Health@InnoHK Program launched by the Innovation and Technology Commission, the Government of HKSAR. Ms. J. Yip and Ms. B. Yan are acknowledged for mass spectroscopy and NMR spectroscopy, respectively.
Author information
Authors and Affiliations
Contributions
Z.H. conceived and designed the project. H.L., V.H.M.L., P.X., T.H.C., and Z.H. carried out the experiments and analyzed the data. H.L. and Z.H. wrote the manuscript.
Corresponding author
Ethics declarations
Competing interests
The authors declare no competing interests.
Peer review
Peer review information
Nature Communications thanks Ye Zhu, and the other, anonymous, reviewer(s) for their contribution to the peer review of this work. Peer reviewer reports are available.
Additional information
Publisher’s note Springer Nature remains neutral with regard to jurisdictional claims in published maps and institutional affiliations.
Supplementary information
Rights and permissions
Open Access This article is licensed under a Creative Commons Attribution 4.0 International License, which permits use, sharing, adaptation, distribution and reproduction in any medium or format, as long as you give appropriate credit to the original author(s) and the source, provide a link to the Creative Commons license, and indicate if changes were made. The images or other third party material in this article are included in the article’s Creative Commons license, unless indicated otherwise in a credit line to the material. If material is not included in the article’s Creative Commons license and your intended use is not permitted by statutory regulation or exceeds the permitted use, you will need to obtain permission directly from the copyright holder. To view a copy of this license, visit http://creativecommons.org/licenses/by/4.0/.
About this article
Cite this article
Liu, H., Lau, V.H.M., Xu, P. et al. Diverse synthesis of α-tertiary amines and tertiary alcohols via desymmetric reduction of malonic esters. Nat Commun 13, 4759 (2022). https://doi.org/10.1038/s41467-022-32560-1
Received:
Accepted:
Published:
Version of record:
DOI: https://doi.org/10.1038/s41467-022-32560-1








