Abstract
Neutrino oscillation experiments at accelerator energies aim to establish charge-parity violation in the neutrino sector by measuring the energy-dependent rate of νe appearance and νμ disappearance in a νμ beam. These experiments can precisely measure νμ cross sections at near detectors, but νe cross sections are poorly constrained and require theoretical inputs. In particular, quantum electrodynamics radiative corrections are different for electrons and muons. These corrections are proportional to the small quantum electrodynamics coupling α ≈ 1/137; however, the large separation of scales between the neutrino energy and the proton mass (~GeV), and the electron mass and soft-photon detection thresholds (~MeV) introduces large logarithms in the perturbative expansion. The resulting flavor differences exceed the percent-level experimental precision and depend on nonperturbative hadronic structure. We establish a factorization theorem for exclusive charged-current (anti)neutrino scattering cross sections representing them as a product of two factors. The first factor is flavor universal; it depends on hadronic and nuclear structure and can be constrained by high-statistics νμ data. The second factor is non-universal and contains logarithmic enhancements, but can be calculated exactly in perturbation theory. For charged-current elastic scattering, we demonstrate the cancellation of uncertainties in the predicted ratio of νe and νμ cross sections. We point out the potential impact of non-collinear energetic photons and the distortion of the visible lepton spectra, and provide precise predictions for inclusive observables.
Similar content being viewed by others
Introduction
Current and future accelerator neutrino oscillation experiments1,2,3,4,5,6 observe primarily muon neutrinos and antineutrinos in their near detectors, but must precisely interpret electron-neutrino and antineutrino interactions in far detectors to measure oscillation probabilities. Over much of the available parameter space, the discovery of CP violation at next-generation experiments will require as-yet unachieved percent-level control over νe appearance signals7,8. Therefore, the precise calculation of differences between muon- and electron-neutrino interactions, including QED radiative corrections, is a critical input to current and future experiments. In this work, we describe a computational framework for these calculations and present results for the basic (anti)neutrino-nucleon charged-current elastic scattering process. We show how important flavor ratios are insensitive to uncertain hadronic and nuclear parameters, so that our results can be applied to experiments with nuclear targets.
Results
Factorization
The separation of scales between the large neutrino energy, the smaller lepton masses, and the soft-photon detection thresholds allows us to apply powerful effective field theory techniques to neutrino scattering. In particular, soft-collinear effective theory (SCET)9,10,11,12,13,14,15,16,17 establishes the following factorization theorem for the charged-current elastic process depicted in Fig. 1:
Here x denotes the ratio of the charged lepton energy Eℓ to the total energy of lepton and photon, mℓ and Eℓ are the charged lepton mass and energy, and μ is the renormalization scale. We integrate Eq. (1) over the variable x evaluating all observables in this paper. The hard scale is Λ ~ M ~ Eν ~ Q, where M is the nucleon mass and Q2 denotes the momentum transfer between initial and final nucleons. The quantities ΔE and Δθ denote soft energy and angular acceptance parameters that we specify below. An analogous factorization theorem for elastic electron-proton scattering was presented in Ref. 17. The charged-current (anti)neutrino-nucleon process differs in that: (1) the electric charges of external particles are different; (2) the underlying quark-level process is weak versus electromagnetic; and (3) real collinear photon radiation is included for typical neutrino detectors. These differences are reflected in different soft, hard, and jet functions, respectively, compared to the electron-proton scattering case. The soft and jet functions are trivial at the leading order, S = 1 and J = δ(1 − x), and higher orders can be computed in perturbation theory17,18,19,20,21,22,23,24,25,26,27,28,29. The hard function contains hadronic physics30,31,32,33,34,35 and is nonperturbative. At leading order, it is expressed in terms of nucleon form factors31. We summarize the explicit components of the factorization theorem through one-loop order in the Methods section. Further details are provided in Ref. 36.
In neutrino detectors, photons are spatially localized when they are sufficiently energetic that e+e− pair production is their dominant scattering mechanism. We identify ΔE as the minimum energy for this to occur, i.e., photons with energy below ΔE are not seen by the detector. A photon with energy above ΔE will be absorbed into the reconstructed electron if the photon’s direction with respect to the electron is within the angular size Δθ of the electron’s shower in the detector. We discuss the determination of ΔE and Δθ for illustrative cases in the Methods (Photon energy cutoff and angular resolution parameters) section.
The effective theory is constructed as an expansion in powers of the small parameter λ ~ ΔE/Λ. The lepton mass satisfies \({m}_{\ell }\;\lesssim\; \sqrt{\lambda }\Lambda\), and the jet angular resolution satisfies \(\Delta \theta \;\lesssim\; \sqrt{\lambda }\). For the T2K/HyperK, NOvA, and DUNE experiments, appropriate choices are ΔE ~ few × 10 MeV and Δθ ≲ 10°, and therefore these conditions are satisfied with the power counting parameter λ at the percent level. The factorization formula is valid up to power corrections of relative size \({{{{{{{\mathcal{O}}}}}}}}(\lambda )\). For numerical evaluations, we include the complete lepton-mass dependence for tree-level cross sections. The separate hard (H), jet (J), and soft (S) factors in Eq. (1) do not contain large perturbative logarithms when evaluated at μ ~ Λ, \(\mu \sim \sqrt{\lambda }\Lambda\), and μ ~ λΛ, respectively. To control large logarithms, we renormalize to a common scale, and include terms enhanced by the emission of multiple photons37,38,39,40.
Our general exclusive observable, depicted in Fig. 1 and described by Eq. (1), is defined to contain all photons that have energy below ΔE or are within angle Δθ of the charged lepton direction. We focus on two important cases relevant for neutrino experiments. First, for electron-flavor events, energetic collinear photons are reconstructed together with the electron. Thus the "jet observable" applies, with appropriate choices of ΔE and Δθ (we will use ΔE = 10 MeV and Δθ = 10° for illustration). Second, for muon flavor, collinear photons are only a small fraction of all photons above the soft-photon energy threshold (below permille level at Eν = 2 GeV, cf. Fig. 4 of Ref. 36), both because the effective Δθ for muons in realistic detectors is smaller and because angles of typical photons are larger, ~ mℓ/(Eℓ + mℓ). Thus for muon-flavor events, the formal limit Δθ → 0 is a good approximation, i.e., only soft photons with energy below ΔE are included in the observable (we will use ΔE = 10 MeV for illustration).
Results for flavor ratios
Neutrino oscillation experiments aim to determine the relative flux of νe at a far detector originating from a primarily νμ beam; this flux is interpreted as a νμ → νe oscillation probability, and provides access to fundamental neutrino properties. The νe cross section is required to infer the flux of νe from observed event rates. Precise (anti)neutrino cross sections with electron flavor can be obtained from precise measurements of muon (anti)neutrino interactions at near detectors, combined with precise constraints on the ratio of electron and muon cross sections. Consequently, the electron-to-muon cross-section ratio is a critical ingredient in neutrino oscillation analyses7,41,42.
We display this ratio in Fig. 2. For the exclusive case, we focus on our default observables with electron plus collinear and soft radiation, and muon plus soft-only radiation. For comparison, we also display the result when only soft radiation is included for the electron. In either case, dependence on hadronic physics is identical for e and μ at the same value of hadronic momentum transfer, according to Eq. (1), leaving only a small perturbative uncertainty on the ratio.
Radiatively corrected ratio of νe versus νμ cross sections and corresponding uncertainty for exclusive observables (A, C) and inclusive observables (B, D). A, B: Neutrino scattering. C, D: Antineutrino scattering. For exclusive observables, the ratio of cross sections with soft photons of energy below ΔE = 10 MeV is represented by the black dash-dotted lines. The tree-level ratio is shown by the blue solid lines. The red dashed lines with a legend "soft and collinear photons" represent the ratio of jet observable (including photons in Δθ = 10° cone for νe scattering) to the observable that excludes collinear photons for νμ scattering. For inclusive observables, we display the Eℓ spectrum (green dotted lines), Eℓ + Eγ spectrum (red dashed lines), and "energy in cone" spectrum (blue dash-double-dotted lines and filled band). For the "energy in cone" spectrum, Q2 is reconstructed from the energy in the Δθ = 10° cone for electron flavor and from the lepton energy for muon flavor.
As explained in more detail below, in addition to the exclusive case we consider inclusive observables that include all photon events in the cross section. For this case, we focus on the blue dash-double-dotted curve with the filled band in Fig. 2, corresponding to our default inclusive observables, i.e., including all photon events in the cross section, but reconstructing Q2 using only collinear and soft radiation for the electron, and no radiation for the muon. For comparison, in Fig. 2 we also display the results when both electron and muon events are reconstructed using only lepton energy (Eℓ spectrum), and when both are reconstructed using all electromagnetic energy (Eℓ + Eγ spectrum). Integrating over kinematics, we present the ratio of the total electron-to-muon cross sections for two kinematic setups without cuts on the lepton energy in Table 1.
Exclusive jet observables and impact of collinear photons
The cross-section ratios for exclusive observables displayed in Fig. 2 depend on whether collinear photons are included in the observable. Recall that while this specification depends in detail on detector capabilities and analysis strategies, our default observables are determined as follows: (1) soft radiation below ΔE is unobserved (but contributes to the cross section), independent of angle with respect to charged lepton direction; (2) collinear radiation accompanying electrons (within an angle Δθ of the electron direction) is included as part of the same electromagnetic shower; (3) collinear radiation accompanying muons is excluded.
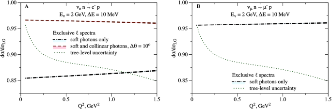
Fig. 3 displays the ratio of the cross section to the leading-order (LO) result \({{{{{{{\rm{d}}}}}}}}{\sigma }_{{\nu }_{\ell }}/{{{{{{{\rm{d}}}}}}}}{\sigma }_{{{{{{{{\rm{LO}}}}}}}}}\), for default values ΔE = 10 MeV and Δθ = 10°, as a function of nucleon momentum transfer Q2. In the electron case, we compare our default jet observable (including energetic radiation within 10° cone) to the soft-photon-only observable; the large correction ~15% in this case results from a logarithmic enhancement \(\sim \ln ({E}_{\nu }/{m}_{e})\ln ({E}_{\nu }/\Delta E)\). The factorization theorem of Eq. (1) enforces a cancellation of hadronic uncertainty in the ratio of the corrected cross section to tree level, up to \({{{{{{{\mathcal{O}}}}}}}}(\alpha )\), resulting in the small uncertainty for the cross sections in Fig. 3 (after the next-to-leading order resummation analysis, perturbative uncertainty is at or below permille level). For comparison, the plots also show the tree-level uncertainty on the cross section due to uncertain (dominantly axial-vector) nucleon form factors. This uncertainty cancels in the flavor ratios.
The legend corresponds to the panels A and C in Fig. 2. The tree-level cross-section uncertainty is represented by the green dotted line as a deviation of the ratio from unity. A: Electron flavor. B: Muon flavor.
We remark that the "soft photons only", dash-dotted curves in Fig. 3, are dramatically different for electrons and muons. It is only after modifying the electron-neutrino cross section (by including also collinear photon radiation, the dashed curve on the left of Fig. 3) that it becomes similar to the muon-neutrino cross section (the dash-dotted curve on the right of Fig. 3). There is an accidental coincidence of the ~5% corrections for the Δθ-dependent electron-neutrino curve and for the mμ-dependent muon-neutrino curve. This coincidence results in a ratio close to unity for the corresponding exclusive plots in Fig. 2.
Inclusive observables and impact of non-collinear photons
The above "exclusive" observables incorporate real photon radiation that is either unobservable by the detector (photon below ΔE in energy) or indistinguishable from the charged lepton (photon above ΔE in energy but within angle Δθ of the electron)37,43,44,45. Other hard photons are excluded from the cross section. However, oscillation experiments such as NOvA and DUNE that attempt to identify all neutrino charged-current interactions and determine neutrino energy by measuring the sum of lepton and recoil energy are likely to include such hard photon events.
To illustrate the impact of hard non-collinear photons on kinematic reconstruction, we compute the spectrum with respect to several different choices for independent variable ("reconstructed Q2"):
where, for events without energetic photons, we have EX = 0; and, for events with an energetic photon of energy Eγ, we take (i) EX = 0 ("Eℓ spectrum"); (ii) EX = Eγ, when the photon is within Δθ = 10° of the electron, and EX = 0 otherwise ("energy in cone"); or (iii) EX = Eγ ("Eℓ + Eγ spectrum").
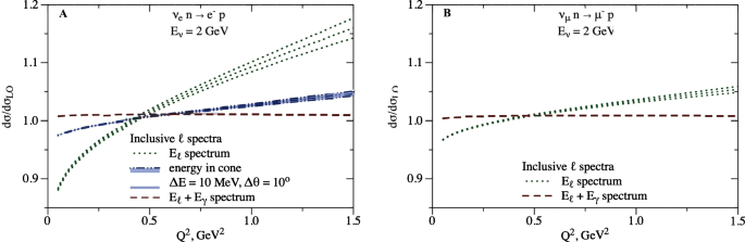
The results are displayed in Fig. 4 for neutrino scattering and in Fig. 5 for antineutrino scattering. There are several notable features of these curves. First, let us compare to the exclusive case displayed in Fig. 3. For electrons, the red dashed curves in the figures both represent spectra with respect to hadronic momentum transfer; the ~ few % larger cross section in Fig. 4 corresponds to the additional contribution from non-collinear energetic photons. Similarly for muons, the dash-dotted black curve in Fig. 3 and the red dashed curve in Fig. 4 both represent spectra with respect to hadronic momentum transfer, and their difference is identified with the contribution of energetic photons (of any angle). Second, although the three curves for νe in Figs. 4 and 5 (or two curves for νμ) integrate to the same total cross section, they differ significantly in their dependence on \({Q}_{{{{{{{{\rm{rec}}}}}}}}}^{2}\). It is essential to account for the correct kinematic dependence of radiative corrections when analysis cuts and acceptance effects are incorporated in practical experiments. For illustration, the curves in Figs. 4 and 5 integrate to cross sections that differ by up to 10% level (in this illustration the difference in partial cross sections computed with \({Q}^{2}\; < \; {Q}_{{{{{{{{\rm{cut}}}}}}}}}^{2}\) is divided by the total cross section, for different values of \({Q}_{{{{{{{{\rm{cut}}}}}}}}}^{2}\)). Finally, as for the exclusive case, we remark that the directly comparable curves (green dotted “Eℓ spectrum”) on the left and right of Figs. 4 and 5 are markedly different, and that the similarity of the blue "energy in cone" curve on the left and the green "Eℓ spectrum" curve on the right results from an accidental cancellation involving the detector parameter Δθ and the lepton mass mμ.
The legend corresponds to the panels B and D in Fig. 2. A: Electron flavor. B: Muon flavor.
Same as Fig. 4 but for antineutrino scattering.
Subleading and nuclear corrections
We have used isospin symmetry to neglect isospin-violating tree-level form factors, to express results in terms of a common nucleon mass, and to obtain charged-current vector form factors from an isospin rotation of electromagnetic ones. Isospin-violating effects46,47,48,49,50,51,52,53,54 due to electromagnetism are of order α ≈ 1/137, and isospin-violating effects due to the quark mass difference mu − md are of order δN = (Mn − Mp) / M ≈ 1.3 × 10−3 or \({\delta }_{\pi }=({m}_{{\pi }^{\pm }}^{2}-{m}_{{\pi }^{0}}^{2})/{m}_{\rho }^{2}\;\approx\; 2.1\times 1{0}^{-3}\), where \({m}_{u},\; {m}_{d},\; {M}_{n},\; {M}_{p},\; {m}_{{\pi }^{\pm }},\; {m}_{{\pi }^{0}}\) are masses of the up and down quarks, neutron and proton, charged and neutral pions, respectively; mρ ≈ 770 MeV is the ρ-meson mass representing a typical hadronic scale. In cross-section ratios to the tree-level results, \({{{{{{{\rm{d}}}}}}}}{\sigma }_{{\nu }_{\ell }}/{{{{{{{\rm{d}}}}}}}}{\sigma }_{{{{{{{{\rm{LO}}}}}}}}}\), or in the ratio between lepton flavors, \({{{{{{{\rm{d}}}}}}}}{\sigma }_{{\nu }_{e}}/{{{{{{{\rm{d}}}}}}}}{\sigma }_{{\nu }_{\mu }}\), leading isospin-violating effects cancel, leaving corrections of order α × δN,π ~ 10−4 or \(({m}_{\mu }^{2}/{M}^{2})\times {\delta }_{N,\pi } \sim 1{0}^{-4}\). Hadronic uncertainties at leading and next-to-leading order in α are included in our analysis. Higher-order perturbative corrections are of order α2 ~ 10−4. Power corrections are suppressed by ΔE/Eν or \({m}_{\mu }^{2}/{E}_{\nu }^{2}\), but enter at loop level and so are of order \(\alpha \Delta E/{E}_{\nu } \sim \alpha {m}_{\mu }^{2}/{E}_{\nu }^{2} \sim 1{0}^{-4}\).
Although the study was performed with (anti)neutrino-nucleon scattering, important cross-section ratios are insensitive to the explicit form of the nonperturbative hard function and similar conclusions are valid for scattering on nuclei. First, the radiative corrections to the exclusive cross sections in Fig. 3 and the corresponding ratios in Fig. 2 are dominated by large perturbative logarithms that are independent of nuclear or hadronic parameters. Second, for the inclusive cross sections displayed in Table 1, constraints on the lepton-mass dependence44,45 imply small modifications to radiative corrections from nuclear effects. An explicit evaluation36 within the standard impulse approximation accounting for nucleon binding energy, initial-state Fermi motion, and final-state Pauli blocking yields corrections to σe/σμ of order 10−4 at Eν = 2 GeV, and of order 10−3 at Eν = 0.6 GeV, already contained in the hadronic error bars of Table 1.
Implications for neutrino oscillation experiments
The precise predictions for fully inclusive cross sections in Table 1 have important implications for the T2K and NOvA experiments: the total cross section for electron-neutrino charged-current quasielastic (CCQE) events is precisely predicted in terms of observed muon-neutrino CCQE events. T2K and NOvA currently assume 2% uncertainties on the extrapolation from muon (anti)neutrino to electron (anti)neutrino due to radiative corrections. In place of this assumption, our results provide a precise prediction, with reduced uncertainty. We also demonstrate that radiative correction uncertainty for both exclusive and inclusive observables can be controlled to the higher precision needed by the future DUNE and HyperK experiments. Before this work, the assumptions made by the current and future experiments were not justified by rigorous theoretical evaluation.
As Figs. 2, 3, and 4 show, there can be large radiative corrections to the tree-level process: ~15% on the νe cross section, and ~10% on the muon-to-electron flavor ratio. After introducing different definitions of the observable for electrons and muons, to conform to detector capabilities, the flavor ratio at the same kinematics (cf. Fig. 2 left and Fig. 3) is remarkably close to unity; this is a consequence of an accidental cancellation involving the detector parameter Δθ for the electron, and the lepton mass mμ for the muon. For total inclusive cross sections, a similar accidental cancellation happens (cf. Fig. 2 right, Figs. 4 and 5).
Differences between detection efficiency corrections and/or analysis cuts for electron and muon events can negate these cancellations in flavor ratios. In particular, experiments do not measure (anti)neutrino interactions in a way that is truly inclusive of final-state photons. The rate for events with non-collinear hard photons is between one percent and several percent of the total event rate, which is larger than the planned precision of future experiments. The experiments currently assume that non-collinear hard photons are absent, but such photons could disrupt event selection, particularly the separation of electrons from neutral pions or the exclusive identification of quasielastic events. Another effect of real photon radiation is the distortion of the reconstructed lepton energy spectrum, resulting in an enhancement of lower momentum leptons and depletion of higher momentum ones, cf. Figs. 4 and 5. Because the inclusion of real photons is different for muon and electron reconstruction, this difference may change the relative efficiency of reconstructing the different neutrino flavors. Our results can be used to precisely account for these effects.
We note that our formalism can be used to address another important issue for modern neutrino oscillation experiments: when a muon from a charged-current νμ interaction is accompanied by a sufficiently energetic collinear photon, the event can be misidentified as an electron charged-current interaction, confusing a particle identification algorithm looking for a penetrating muon track. Previous estimates for this effect55 were based on the splitting function approach of Refs. 41, 56. The collinear approximation underlying the splitting function formalism is not a good approximation for the muon at GeV energies and it is important to revisit this question (the dimensionless parameter controlling collimation is not small; in fact, Δθmμ/Eν is of order unity). We find that the probability of such muon misidentification is very small36: less than a few × 10−4 for NOvA and DUNE, and less than 10−4 for T2K/HyperK.
Discussion
An important result from our studies for the precision accelerator neutrino oscillation program is that the total cross section as a function of (anti)neutrino energy, inclusive of real photon emission, is very similar for electron and muon (anti)neutrino events, as Figs. 2, 4, and 5 illustrate. However, this simple result is achieved only after summing inclusively over distinct kinematical configurations. Electron-flavor and muon-flavor cross sections receive significant, and different, corrections as a function of kinematics that must be carefully accounted for when experimental cuts and efficiency corrections are applied in a practical experiment. It is also important to carefully match the theoretical calculation of radiative corrections to experimental conditions since radiative corrections depend strongly on the treatment of real photon radiation.
Current data on (anti)neutrino interactions do not have the precision to validate or challenge our precise calculations because of the sparse data on electron-neutrino and antineutrino scattering at these energies57,58,59,60,61. Experiments must therefore rely on this and other theoretical calculations to determine the effects of radiative corrections. Such effects can be potentially constrained by recent and forthcoming measurements with electrons62,63 and muons.
Applications to neutrino energy reconstruction, radiative corrections with pion and resonance production, and the inclusion of Coulomb and nuclear effects to general exclusive and inclusive observables, will be investigated in future work.
Methods
Hadronic model
At tree level, the hard function appearing in Eq. (1) can be conveniently expressed in terms of the structure-dependent quantities A, B, and C 31
where \(\tau={Q}^{2}/\left(4{M}^{2}\right)\), r = mℓ/(2M), ν = Eν/M − τ − r2, GF is the Fermi coupling constant, and Vud is the Cabibbo-Kobayashi-Maskawa (CKM) matrix element. Assuming isospin symmetry, A, B, and C are expressed in terms of electric \({G}_{E}^{V}\), magnetic \({G}_{M}^{V}\), axial FA, and pseudoscalar FP, form factors as
where η = + 1 corresponds to neutrino scattering νℓn → ℓ−p, and η = − 1 corresponds to antineutrino scattering \({\bar{\nu }}_{\ell }p\to {\ell }^{+}n\). In the evaluation of the hard function, we use form factors and uncertainties extracted from other data64,65 for the tree-level contributions31, and a gauge-invariant form-factor insertion model36,66,67,68,69 for the one-loop contributions. The form-factor insertion ansatz dresses point-particle Feynman diagrams with on-shell form factors at hadronic vertices. For the one-loop hard function, electromagnetic form factors are represented by dipoles with mass parameters varied as Λ2 → (1 ± 0.1)Λ2 to cover the experimentally allowed range of form factors65,70. Uncertainties due to the insertion of on-shell hadronic vertices and the neglect of inelastic intermediate states are estimated by a simple ansatz that adds the neutron on-shell vertex to each of the neutron and proton electromagnetic vertices. Non-collinear hard photons introduce an additional hadronic structure beyond the hard function appearing in Eq. (1). We estimate this effect by extending the form-factor insertion ansatz to describe real hard photon emission, employing the same gauge-invariant model as for the exclusive process. Uncertainties in the hard function largely cancel for the quantities presented in this paper, involving ratios of radiatively corrected and tree-level cross sections, or ratios of electron- and muon-flavor cross sections. Further discussion of the hadronic model for the hard function and its uncertainties are given in Ref. 36.
Soft and jet functions
Here, we specify soft and jet functions from Eq. (1) at one-loop level. The process-independent soft function includes virtual corrections from the soft region and radiation of real soft photons below ΔE. At one-loop level, the soft function is expressed as17
where vμ defines the laboratory frame in which ΔE is measured, \({v}_{\ell }^{\mu }\) and \({v}_{p}^{\mu }\) are the charged lepton and proton velocity vectors, and the functions f and G are given by17,36,71
with \({a}_{\pm }=a\pm \sqrt{{a}^{2}-1}\).
The jet function includes virtual corrections from the collinear region and radiation of real photons within angle Δθ of the charged lepton direction. At one-loop level, the jet function is expressed as36
with η = ΔθEℓ/mℓ. The exclusive observables considered in this paper are given explicitly by integrating Eq. (1)
where \({E}_{\ell }^{{{{{{{{\rm{tree}}}}}}}}}\) is the lepton energy for the tree-level process, and \(x={E}_{\ell }/{E}_{\ell }^{{{{{{{{\rm{tree}}}}}}}}}\) denotes the fraction of the total jet energy carried by the charged lepton (the total jet energy is defined as the energy carried by the charged lepton plus collinear photons).
Beginning at two-loop level, the factorization formula should be extended by the so-called remainder function17,36 that relates the running electromagnetic coupling in the QED theory with and without the dynamical charged lepton. We have suppressed this function for simplicity. Further details on higher-order perturbative corrections and resummation may be found in Ref. 36.
Photon energy cutoff and angular resolution parameters
In this Section, we provide a simple estimate for the photon energy and angular acceptance parameters ΔE and Δθ, using argon (with the nuclear electric charge Z = 18) as the detector material and Ee = 2 GeV as the electron energy for illustration. To determine ΔE, we examine the different components of the total photon cross section in argon, and determine the energy at which e+e− pair production starts to dominate over Compton scattering; this yields ΔE ≈ 12 MeV72. To determine Δθ, we consider the Molière radius of the electromagnetic shower initiated by the primary e± and the length of the mean shower maximum, and find the angle which would place the photon within the Molière radius at shower maximum. The Molière radius RM may be expressed as RM = X0Es/Ec73,74,75, where X0 is the radiation length, \({E}_{s}=\sqrt{(4\pi /\alpha )}{m}_{e}\;\approx\; 21\,{{{{{{{\rm{MeV}}}}}}}}\), and Ec is the critical energy of electrons, which we take in the form of the Rossi fit Ec = 610/(Z + 1.24) MeV. The electromagnetic shower maximum length LM depends logarithmically on the electron energy Ee75 : \({L}_{M}\;\approx\; {X}_{0}\left[\ln ({E}_{e}/{E}_{c})-1/2\right]\). The angular resolution parameter is thus:
For Z = 18 and Ee = 2 GeV, we find Δθ ≈ 10°.
Data availability
The cross-section data generated and used in this study are provided in the Supplementary Code 1.
Code availability
The code to reproduce all plots and results in this study is provided in the Supplementary Code 1.
References
Abe, K. et al. The T2K experiment. Nucl. Instrum. Meth. A 659, 106–135 (2011).
Abe, K. et al. Constraint on the matter-antimatter symmetry-violating phase in neutrino oscillations. Nature 580, 339–344 (2020).
Ayres, D. S. et al. The NOvA technical design report. https://doi.org/10.2172/935497 (2007).
Acero, M. A. et al. First measurement of neutrino oscillation parameters using neutrinos and antineutrinos by NOvA. Phys. Rev. Lett. 123, 151803 (2019).
Abi, B. et al. Deep underground neutrino experiment (DUNE), far detector technical design report, volume II DUNE Physics, http://arxiv.org/abs/2002.03005 arXiv:2002.03005 [hep-ex] (2020).
Abe, K. et al. Physics potential of a long-baseline neutrino oscillation experiment using a J-PARC neutrino beam and Hyper-Kamiokande. PTEP 2015, 053C02 (2015).
Alvarez-Ruso, L. et al. NuSTEC white paper: status and challenges of neutrino-nucleus scattering. Prog. Part. Nucl. Phys. 100, 1–68 (2018).
Abi, B. et al. Deep underground neutrino experiment (DUNE), far detector technical design report, volume II: DUNE Physics, http://arxiv.org/abs/2002.03005 arXiv:2002.03005 [hep-ex] (2020).
Bauer, C. W., Fleming, S. & Luke, M. E. Summing Sudakov logarithms in B — > X(s gamma) in effective field theory. Phys. Rev. D 63, 014006 (2000).
Bauer, C. W., Fleming, S., Pirjol, D. & Stewart, I. W. An effective field theory for collinear and soft gluons: heavy to light decays. Phys. Rev. D 63, 114020 (2001).
Bauer, C. W. & Stewart, I. W. Invariant operators in collinear effective theory. Phys. Lett. B 516, 134–142 (2001).
Bauer, C. W., Pirjol, D. & Stewart, I. W. Soft collinear factorization in effective field theory. Phys. Rev. D 65, 054022 (2002).
Chay, J. & Kim, C. Collinear effective theory at subleading order and its application to heavy-light currents. Phys. Rev. D 65, 114016 (2002).
Beneke, M., Chapovsky, A. P., Diehl, M. & Feldmann, T. Soft collinear effective theory and heavy to light currents beyond leading power. Nucl. Phys. B 643, 431–476 (2002).
Hill, R. J. & Neubert, M. Spectator interactions in soft collinear effective theory. Nucl. Phys. B 657, 229–256 (2003).
Becher, T., Broggio, A. & Ferroglia, A. Introduction to soft-collinear effective theory, vol. 896 (Springer, 2015) http://arxiv.org/abs/1410.1892 arXiv:1410.1892 [hep-ph]
Hill, R. J. Effective field theory for large logarithms in radiative corrections to electron proton scattering. Phys. Rev. D 95, 013001 (2017).
Burgers, G. J. H. On the two loop QED vertex correction in the high-energy limit. Phys. Lett. B 164, 167–169 (1985).
Korchemsky, G. P. & Radyushkin, A. V. Renormalization of the Wilson loops beyond the leading order. Nucl. Phys. B 283, 342–364 (1987).
Kniehl, B. A. Two Loop QED vertex correction from virtual heavy fermions. Phys. Lett. B 237, 127–129 (1990).
Kilian, W., Manakos, P. & Mannel, T. Leading and subleading logarithmic QCD corrections to bilinear heavy quark currents. Phys. Rev. D 48, 1321–1328 (1993).
Hoang, A. H., Kuhn, J. H. & Teubner, T. Radiation of light fermions in heavy fermion production. Nucl. Phys. B 452, 173–187 (1995).
Mastrolia, P. & Remiddi, E. Two loop form-factors in QED. Nucl. Phys. B 664, 341–356 (2003).
Bernreuther, W. et al. Two-loop QCD corrections to the heavy quark form-factors: The Vector contributions. Nucl. Phys. B 706, 245–324 (2005).
Becher, T. & Melnikov, K. Two-loop QED corrections to Bhabha scattering. JHEP 06, 084 (2007).
Becher, T. & Neubert, M. On the structure of infrared singularities of Gauge-Theory Amplitudes. JHEP 06, 081 (2009).
Becher, T. & Neubert, M. Infrared singularities of QCD amplitudes with massive partons. Phys. Rev. D 79, 125004 (2009).
Arbuzov, A. B. & Kopylova, T. V. On higher order radiative corrections to elastic electron–proton scattering. Eur. Phys. J. C 75, 603 (2015).
Tomalak, O. & Hill, R. J. Theory of elastic neutrino-electron scattering. Phys. Rev. D 101, 033006 (2020).
Galster, S. et al. Elastic electron-deuteron scattering and the electric neutron form factor at four-momentum transfers 5fm−2 < q2 < 14fm−2. Nucl. Phys. B 32, 221–237 (1971).
Llewellyn Smith, C. H. Neutrino reactions at accelerator energies. Phys. Rept. 3, 261–379 (1972).
Lepage, G. Peter & Brodsky, S. J. Exclusive processes in perturbative quantum chromodynamics. Phys. Rev. D 22, 2157 (1980).
Kopecky, S., Riehs, P., Harvey, J. A. & Hill, N. W. New measurement of the charge radius of the neutron. Phys. Rev. Lett. 74, 2427–2430 (1995).
Kopecky, S. et al. Neutron charge radius determined from the energy dependence of the neutron transmission of liquid Pb-208 and Bi-209. Phys. Rev. C 56, 2229–2237 (1997).
Kelly, J. J. Simple parametrization of nucleon form factors. Phys. Rev. C 70, 068202 (2004).
Tomalak, O., Chen, Q., Hill, R. J., McFarland, K. S. & Wret, C. Theory of QED radiative corrections to neutrino scattering at accelerator energies, http://arxiv.org/abs/2204.11379 arXiv:2204.11379 [hep-ph] (2022).
Yennie, D. R., Frautschi, S. C. & Suura, H. The infrared divergence phenomena and high-energy processes. Annals Phys. 13, 379–452 (1961).
Mukhi, S. & Sterman, G. F. QCD jets to all logarithmic orders. Nucl. Phys. B 206, 221–238 (1982).
Curci, G. & Greco, M. Mass singularities and coherent states in Gauge Theories. Phys. Lett. B 79, 406–410 (1978).
Smilga, A. V. Next-to-leading logarithms in the high-energy asymptotics of the quark form-factor and the jet cross-section. Nucl. Phys. B 161, 449–468 (1979).
Day, M. & McFarland, K. S. Differences in Quasi-Elastic cross-sections of Muon and electron neutrinos. Phys. Rev. D 86, 053003 (2012).
Coloma, P., Huber, P., Kopp, J. & Winter, W. Systematic uncertainties in long-baseline neutrino oscillations for large θ13. Phys. Rev. D 87, 033004 (2013).
Bloch, F. & Nordsieck, A. Note on the Radiation Field of the electron. Phys. Rev. 52, 54–59 (1937).
Kinoshita, T. Mass singularities of Feynman amplitudes. J. Math. Phys. 3, 650–677 (1962).
Lee, T. D. & Nauenberg, M. Degenerate systems and mass singularities. Phys. Rev. 133, B1549–B1562 (1964).
Weinberg, S. Charge symmetry of weak interactions. Phys. Rev. 112, 1375–1379 (1958).
Behrends, R. E. & Sirlin, A. Effect of mass splittings on the conserved vector current. Phys. Rev. Lett. 4, 186–187 (1960).
Dmitrasinovic, V. & Pollock, S. J. Isospin breaking corrections to nucleon electroweak form-factors in the constituent quark model. Phys. Rev. C 52, 1061–1072 (1995).
Shiomi, H. Second class current in QCD sum rules. Nucl. Phys. A 603, 281–302 (1996).
Miller, G. A. Nucleon charge symmetry breaking and parity violating electron proton scattering. Phys. Rev. C 57, 1492–1505 (1998).
Govaerts, J. & Lucio-Martinez, J.L. Nuclear muon capture on the proton and He-3 within the standard model and beyond. Nucl. Phys. A 678, 110–146 (2000).
Minamisono, K. et al. New limit of the G parity irregular weak nucleon current detected in beta decays of spin aligned B-12 and N-12. Phys. Rev. C 65, 015501 (2002).
Kubis, B. & Lewis, R. Isospin violation in the vector form factors of the nucleon. Phys. Rev. C 74, 015204 (2006).
Lewis, R. Isospin breaking in the vector current of the nucleon. Eur. Phys. J. A 32, 409–414 (2007).
Iwamoto, K. Neutrino oscillation measurements with an expanded electron neutrino appearance sample in T2K, Ph.D. thesis, University of Rochester (2017).
De Rujula, A., Petronzio, R. & Savoy-Navarro, A. Radiative corrections to high-energy neutrino scattering. Nucl. Phys. B 154, 394–426 (1979).
Blietschau, J. et al. Total Cross-Sections for electron-neutrino and anti-electron-neutrino Interactions and Search for Neutrino Oscillations and Decay. Nucl. Phys. B 133, 205–219 (1978).
Abe, K. et al. Measurement of the inclusive electron neutrino charged current cross section on Carbon with the T2K near detector. Phys. Rev. Lett. 113, 241803 (2014).
Wolcott, J. et al. Measurement of electron neutrino quasielastic and quasielasticlike scattering on hydrocarbon at 〈Eν〉 = 3.6 GeV. Phys. Rev. Lett. 116, 081802 (2016).
Abe, K. et al. Measurement of the electron neutrino charged-current interaction rate on water with the T2K ND280 π0 detector. Phys. Rev. D 91, 112010 (2015).
Abe, K. et al. Measurement of the charged-current electron (anti-)neutrino inclusive cross-sections at the T2K off-axis near detector ND280. JHEP 10, 114 (2020).
Papadopoulou, A. et al. Inclusive electron scattering and the GENIE neutrino event generator. Phys. Rev. D 103, 113003 (2021).
Cruz-Torres, R. et al. Comparing proton momentum distributions in A = 2 and 3 nuclei via 2H 3H and 3He \((e,e^{\prime} p)\) measurements. Phys. Lett. B 797, 134890 (2019).
Meyer, A. S., Betancourt, M., Gran, R. & Hill, R. J. Deuterium target data for precision neutrino-nucleus cross sections. Phys. Rev. D 93, 113015 (2016).
Borah, K., Hill, R. J., Lee, G. & Tomalak, O. Parametrization and applications of the low-Q2 nucleon vector form factors. Phys. Rev. D 102, 074012 (2020).
Maximon, L. C. & Tjon, J. A. Radiative corrections to electron proton scattering. Phys. Rev. C62, 054320 (2000).
Blunden, P. G., Melnitchouk, W. & Tjon, J. A. Two photon exchange and elastic electron proton scattering. Phys. Rev. Lett. 91, 142304 (2003).
Graczyk, K. M. Relevance of two Boson exchange effect in Quasi-Elastic charged current neutrino-nucleon interaction. Phys. Lett. B 732, 315–319 (2014).
Tomalak, O. & Vanderhaeghen, M. Two-photon exchange corrections in elastic muon-proton scattering. Phys. Rev. D 90, 013006 (2014).
Bernauer, J. C. et al. Electric and magnetic form factors of the proton. Phys. Rev. C 90, 015206 (2014).
’t Hooft, G. & Veltman, M. J. G. Scalar one loop integrals. Nucl. Phys. B 153, 365–401 (1979).
Seltzer, S. NIST Standard Reference Database 8 (National Institute of Standards and Technology, 1987).
Nelson, W. R., Jenkins, T. M., McCall, R. C. & Cobb, J. K. Electron induced cascade showers in copper and lead at 1 GeV. Phys. Rev. 149, 201–208 (1966).
Bathow, G., Freytag, E., Koebberling, M., Tesch, K. & Kajikawa, R. Measurements of the longitudinal and lateral development of electromagnetic cascades in lead, copper and aluminum at 6 GeV. Nucl. Phys. B 20, 592–602 (1970).
Zyla, P. A. et al. Review of particle physics. PTEP 2020, 083C01 (2020).
Acknowledgements
We thank Clarence Wret for checking the leading order calculations presented here against generator calculations, Kaushik Borah for an independent validation of antineutrino-proton cross-section expression, and Emanuele Mereghetti and Ryan Plestid for discussions. This work was supported by the U.S. Department of Energy, Office of Science, Office of High Energy Physics, under Awards DE-SC0019095 and DE-SC0008475. Fermilab is operated by Fermi Research Alliance, LLC under Contract No. DE-AC02-07CH11359 with the United States Department of Energy. O.T. acknowledges support by the Visiting Scholars Award Program of the Universities Research Association, theory groups at Fermilab and Institute for Nuclear Physics at JGU Mainz for warm hospitality. O.T. is supported by the US Department of Energy through the Los Alamos National Laboratory. Los Alamos National Laboratory is operated by Triad National Security, LLC, for the National Nuclear Security Administration of U.S. Department of Energy (Contract No. 89233218CNA000001). This research is funded by LANL’s Laboratory Directed Research and Development (LDRD/PRD) program under project number 20210968PRD4. Q.C. acknowledges KITP Graduate Fellow program supported by the Heising-Simons Foundation, the Simons Foundation, and National Science Foundation Grant No. NSF PHY-1748958. R.J.H. acknowledges support from the Neutrino Theory Network at Fermilab. K.S.M. acknowledges support from a Fermilab Intensity Frontier Fellowship during the early stages of this work, and from the University of Rochester’s Steven Chu Professorship in Physics.
Author information
Authors and Affiliations
Contributions
O.T., Q.C., R.H., and K.S.M. contributed substantially to the results and to the writing of the manuscript. The initial factorization calculation and the numerical evaluations for the plots and tables in the paper were performed by O.T.
Corresponding author
Ethics declarations
Competing interests
The authors declare no competing interests.
Peer review
Peer review information
Nature Communications thanks Peter Denton, André de Gouvêa and the other, anonymous, reviewer(s) for their contribution to the peer review of this work.
Additional information
Publisher’s note Springer Nature remains neutral with regard to jurisdictional claims in published maps and institutional affiliations.
Supplementary information
Rights and permissions
Open Access This article is licensed under a Creative Commons Attribution 4.0 International License, which permits use, sharing, adaptation, distribution and reproduction in any medium or format, as long as you give appropriate credit to the original author(s) and the source, provide a link to the Creative Commons license, and indicate if changes were made. The images or other third party material in this article are included in the article’s Creative Commons license, unless indicated otherwise in a credit line to the material. If material is not included in the article’s Creative Commons license and your intended use is not permitted by statutory regulation or exceeds the permitted use, you will need to obtain permission directly from the copyright holder. To view a copy of this license, visit http://creativecommons.org/licenses/by/4.0/.
About this article
Cite this article
Tomalak, O., Chen, Q., Hill, R.J. et al. QED radiative corrections for accelerator neutrinos. Nat Commun 13, 5286 (2022). https://doi.org/10.1038/s41467-022-32974-x
Received:
Accepted:
Published:
Version of record:
DOI: https://doi.org/10.1038/s41467-022-32974-x
This article is cited by
-
Radiative Corrections to Neutron Beta Decay and (Anti)Neutrino-Nucleon Scattering from Low-Energy Effective Field Theory
Few-Body Systems (2023)
-
The impact of neutrino-nucleus interaction modeling on new physics searches
Journal of High Energy Physics (2022)







