Abstract
Graphite has been intensively studied, yet its electron spins dynamics remains an unresolved problem even 70 years after the first experiments. The central quantities, the longitudinal (T1) and transverse (T2) relaxation times were postulated to be equal, mirroring standard metals, but T1 has never been measured for graphite. Here, based on a detailed band structure calculation including spin-orbit coupling, we predict an unexpected behavior of the relaxation times. We find, based on saturation ESR measurements, that T1 is markedly different from T2. Spins injected with perpendicular polarization with respect to the graphene plane have an extraordinarily long lifetime of 100 ns at room temperature. This is ten times more than in the best graphene samples. The spin diffusion length across graphite planes is thus expected to be ultralong, on the scale of ~ 70 μm, suggesting that thin films of graphite — or multilayer AB graphene stacks — can be excellent platforms for spintronics applications compatible with 2D van der Waals technologies. Finally, we provide a qualitative account of the observed spin relaxation based on the anisotropic spin admixture of the Bloch states in graphite obtained from density functional theory calculations.
Similar content being viewed by others
Introduction
Spintronic devices require materials with a suitably long spin-relaxation time, τs. Carbon nanomaterials, such as graphite intercalated compounds1, graphene2, fullerenes3, and carbon nanotubes4, have been considered5,6,7 for spintronics8,9,10, as small spin–orbit coupling (SOC) systems with low concentration of magnetic 13C nuclei which contribute to a long τs. However, experimental data and the theory of spin-relaxation in carbon-based materials face critical open questions. Chiefly, the absolute value of τs in graphene is debated with values ranging from 100 ps to 12 ns11,12,13,14,15,16, and theoretical investigations suggest an extrinsic origin of the measured short τs values17.
Contemporary studies, in order to introduce functionality into spintronic devices18,19,20,21,22,23,24,25,26, focus on tailoring the SOC in two-dimensional heterostructures with the help of proximity effect27,28,29,30. Theory predicted a giant spin-relaxation anisotropy in graphene when in contact with a large-SOC material31 that was subsequently observed in mono- and bilayer graphene32,33,34,35,36,37. This is in contrast with graphene on a SOC-free substrate having a nearly isotropic spin-relaxation38,39,40,41. It would be even better to have materials with an intrinsic spin-relaxation time anisotropy, which would enable efficient control over the spin transport and thereby boost the development of spintronic devices.
A remarkably simple example of an anisotropic carbon-based material is graphite, which, while being one of the most extensively studied crystalline materials, still holds several puzzles. Specifically, the spin-relaxation, its anisotropy, and the g-factor are not yet understood in graphite, and this represents a 70-year-old challenge. As early as 1953, the first spin spectroscopic study of graphite42, 43 used conduction electron spin resonance (CESR). The CESR linewidth, ΔB, yields directly the spin-decoherence time: T2 = (γΔB)−1, where γ/2π ≈ 28 GHz/T is the electron gyromagnetic ratio (which is related to the g-factor as ∣γ∣ = gμB/ℏ). Magnetic resonance is characterized by two distinct relaxation times, T1 and T2, which denote the relaxation of the components parallel and perpendicular to the external magnetic field, respectively44. In zero magnetic field, T1 = T2 = τs holds and the latter parameter is measured in spin-injected transport studies.
The ESR linewidth and g-factor have a peculiar anisotropy in graphite. ΔB is about twice as large for a magnetic field perpendicular to the graphene layers (denoted as ΔB⊥) as compared to when the magnetic field is in the (a, b) plane (denoted as ΔB∥). The respective g-factors are also strongly anisotropic: g⊥ is considerably shifted with respect to the free-electron value of g0 = 2.0023, and is temperature-dependent, whereas g∥ is barely shifted and is temperature independent45, 46.
Although several explanations have been proposed45,46,47,48, no consistent picture has emerged yet for these anomalous findings in graphite. Nevertheless, understanding the spin-relaxation mechanism would be important for the advancement of spin-relaxation theory in general, but especially for spintronics applications of mono- or few-layer graphene.
We unravel the anomalous spin relaxation in graphite by studying the details of the spin-orbit coupling, its dependence over the Fermi surface, and its anisotropy. We find that the SOC is strongly anisotropic in graphite due to the symmetry47: the (pseudospin) spin-orbit field is oriented along z. This results in a significant anisotropy of the electron spin dynamics, spin-relaxation time, and a giant g-factor anisotropy. We demonstrate that the ESR data is compatible with the SOC anisotropy scenario. Remarkably, the theory predicts an ultralong spin-relaxation time for spins that are polarized perpendicular to the graphite (a, b) plane. Indeed, saturated ESR experiments reveal a spin-relaxation time longer than 100 ns at room temperature for this geometry. These findings qualify graphite thin film as a strong candidate for spintronics technology.
Theoretical predictions
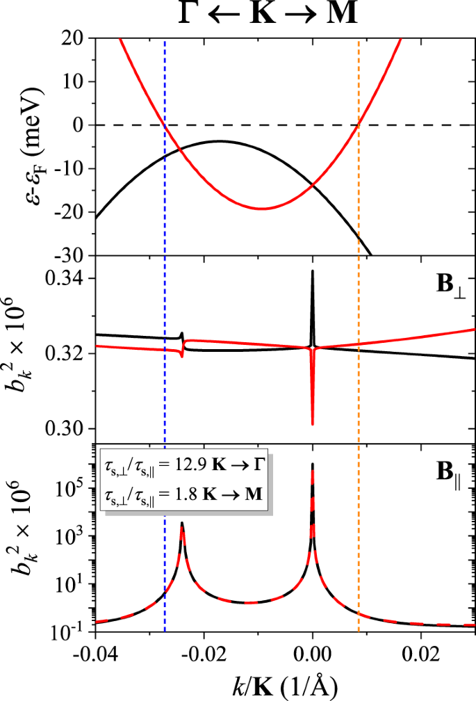
We performed first-principles calculations of the electronic structure of graphite in the presence of spin-orbit coupling. Figure 1. shows the band dispersions near the K point of the Brillouin zone (BZ). We limit our qualitative considerations to the shown energy scale, which corresponds to the quasiparticle energy smearing up to room temperature. The full calculated band structure along high symmetry lines is presented in the Supporting Information (SI).
Note the band degeneracy near the K point. Middle and bottom: spin-mixing parameters \({b}_{k}^{2}\) for the spin quantization (magnetic field B) along c and in the plane (a, b), respectively. Also indicated are the spin relaxation anisotropies for the momenta at the vertical dashed lines, implied by the calculated \({b}_{k}^{2}\) there.
In Elliott-Yafet’s theory of spin relaxation49, 50, which is dominant in centrosymmetric metals such as graphite, spin-relaxation is due to the mixing of the otherwise pure spin up/down states9, 51,52,53,54,55. For a selected spin quantization axis, the two degenerate Bloch states can be characterized as up, \(|\!\!\uparrow \rangle\), or down, \(|\!\! \downarrow \rangle\), in the absence of SOC. Due to spin-orbit coupling, the spin up/down states have a (typically small) admixture of the Pauli spin down/up spinors:
Here \(|\widetilde{\uparrow }\rangle\), and \(|\widetilde{\downarrow }\rangle\) are the Bloch states in the presence of the SOC. The spin-flip probability is proportional to \({b}_{k}^{2}\).
Thanks to our high precision calculation of the dispersion relation, we could determine \({b}_{k}^{2}\) near the Fermi level in Fig. 1. For the electron spin quantized along the c-axis, the spin admixture probability is rather small, less than 10−6, without a significant momentum dependence. However, \({b}_{k}^{2}\) exhibits peaks at the band crossings (in fact, those are anticrossings as SOC opens a gap of 24 μeV such as in graphene56) when the spin quantization axis is in the plane. Then the spin admixture probabilities are orders of magnitude higher than elsewhere in the Brillouin zone. In fact, we find here so-called spin hot-spots51, similar to what happens in monolayer graphene at the Dirac point57. Figure 1 reveals that the dominant contribution to the spin admixture comes from the momenta along K → Γ.
While calculating Fermi-level averages of \({b}_{k}^{2}\) is beyond the scope of the present work (mainly due to the tiny Fermi surface of graphite and the presence of the spin hot-spots), our calculation suggests that the spin-relaxation rate in an in-plane magnetic field is expected to be at least an order of magnitude faster than in a magnetic field parallel to the c-axis.
To relay on the spin-relaxation rate to the ESR line, we evoke the theory of Yafet50 developed for the case of an anisotropic SOC. For graphite, the major features could be nicely followed in Fig. 2. He argued that both the T1 and T2 relaxation times are caused by fluctuating magnetic fields δB = (δBa, δBb, δBc) due to the SOC. Fluctuating fields along a given direction give rise to spin relaxation of a spin component perpendicular to them. (A more recent and rigorous derivation of the ESR relaxation times is found in ref. 58). Following Yafet50, we introduce \(\delta {B}_{\perp }^{2}\) and \(\delta {B}_{\parallel }^{2}\) for the squared magnitude of the fluctuating fields along the crystalline c axis, and in the (a, b) plane, respectively. The results for the corresponding spin-relaxation rates are:
Note that spins precess around the magnetic field for both orientations. The respective spin-relaxation rates are caused by the fluctuating components which are perpendicular to the given direction. For the B∥, it consists of two contributions due to the Larmor precession of the spins.
This is illustrated in Fig. 2. E.g., for B⊥, spins precess around the c axis and T1 is caused entirely by δB∥ (Eq. (3)), however T2 is caused by both δB∥ and δB⊥ fluctuating fields as these SOC fields are perpendicular to spin component which is in the plane (Eq. (4)). For the B∥ orientation, the spins precess in the a − c plane thus T1 is caused by both the δB∥ and δB⊥ which also yields T2,⊥ = T1,∥ (Eqs. (4) and (5)). Yafet discussed the case of the extreme uniaxial anisotropy, i.e., when \(\delta {B}_{\parallel }^{2}=0\) while \(\delta {B}_{\perp }^{2}\) is finite, which is in fact, due to symmetry considerations, the theoretical prediction for graphene (ref. 59). We suppose that this is the case for graphite, as well, which we check experimentally. It is interesting to notice, that somewhat counterintuitively, the extreme anisotropy corresponds to just a factor of 2 anisotropy in the ESR linewidth as \({({T}_{2})}_{\perp }^{-1}/{({T}_{2})}_{\parallel }^{-1}=\Delta {B}_{\perp }/\Delta {B}_{\parallel }=2\) (see Eqs. (4) and (6)).
Results and discussion
Anisotropy of the ESR linewidth and g-factor
Figure 3 shows the temperature dependence of the ESR linewidth for the two major magnetic field orientations in highly-oriented pyrolytic graphite (HOPG) samples. Comparing the data with previous measurements43, 46, 60,61,62, we find good agreement for the 50−300 K temperature range. Due to the finite penetration depth of microwaves, the ESR lineshape is asymmetric. This is taken into account by fitting the ESR spectra to the so-called Dysonian lines63 that are well approximated by a mixture of absorption and dispersion components of a Lorentzian curve64. Additional data including typical ESR spectra, the g-factor, the temperature-dependent ESR intensity, angular dependence of the ESR spectra, and linewidth are provided in the SI.
Upper panel: the ESR linewidth with different symbols for the as-obtained and annealed samples. For B⊥, the data is shown only above 30 K. Lower panel: linewidth anisotropy factor, i.e. the ratio of the linewidth for B⊥ and B∥ configurations. The dashed line is the constant 2.
Above 50 K, the linewidth increases with decreasing temperature for both orientations. Linewidth data for B⊥ are not shown below 30 K where the significant line broadening and the relatively weak signal intensity prevent a reliable analysis. Annealing at 300 °C in a dynamic vacuum affects the ESR linewidth only below 50 K. This is plausible since due to its semi-metallic character and the small Fermi surface even a few ppm of paramagnetic impurities can dominate the signal at low temperatures due to their Curie spin susceptibility65. Higher annealing temperatures (up to 600 °C) did not influence further the linewidth.
From a calibrated measurement of the spin-susceptibility, we obtained that the Curie contribution to the ESR signal is due to 5(1) ppm of S = 1/2 spins. We show in Fig. S2 that the susceptibility contribution from the localized and delocalized spins is equal at ~15 K. Given that any influence of the localized species on the g-factor and the linewidth is weighted with the spin-susceptibility65, we conclude that above 50−100 K (especially at the technologically important room temperature region), the observed ESR linewidth is the intrinsic property of graphite. Although the present work focuses on the anisotropy of the ESR linewidth, we also mention that the conventional Elliott-Yafet’s theory predicts an opposite temperature dependence, which may be related to the near band degeneracy around the graphite Fermi surface. Its full description requires additional work though.
The temperature-dependent g-factor data (see Fig. S5 of SI) confirms the earlier experimental data46, 60,61,62 and the theoretical prediction. The measured factor of 2 anisotropy in the ESR linewidth of graphite (see the bottom image of Fig. 3) matches exactly the theoretical prediction of a vanishing SOC for spins polarized in the (a, b) plane and a finite SOC for spins polarized along the c-axis. Strictly speaking, the linewidth anisotropy ratio is 2 only between 100 and 300 K, while it deviates somewhat upwards below 100 K and downwards above 300 K, which calls for more detailed modeling.
The ultralong spin-relaxation time, T 1
An important consequence of the absence of spin-orbit fields in the graphene planes is the predicted ultralong spin-lattice relaxation time, T1,⊥, according to Eq. (3), whereas the other three relaxation times remain finite, below 50 ns. To experimentally verify this prediction, we performed saturation ESR measurements (see Fig. S7 of SI). Although the transversal spin-relaxation time, T2 is accessible directly from the linewidth, T1 does not directly affect the lineshape in conventional ESR studies. In principle, both relaxation times can be measured with a spin-echo technique but it is limited to relaxation times when both T1 and T2 are longer than ~1 μs, which is not the case herein. However, saturation ESR experiments44 yield relaxation times down to ~10 ns. The method is based on monitoring the variation of the ESR signal intensity and the linewidth as a function of the irradiating microwave power. A characteristic drop in the signal intensity, accompanied by a line broadening allows determining T1. Further technical details are given in the SI together with the raw saturation ESR data.
The T1 results for both orientations of the magnetic field are shown in Fig. 4. The data is given only above 300 K for B⊥ and above 370 K for B∥ as below these temperatures the shortening of the respective T2 prevents the observation of the saturation effect. Nevertheless, having in mind the spintronics application, this is the relevant temperature range. Red triangles and the dashed line in Fig. 4 confirm that the T1,∥ = T2,⊥ prediction from Eqs. (4) and (5) is indeed satisfied, which provides further proof that the extreme SOC anisotropy is realized in graphite.
Note the about 10 times longer T1 when B⊥ as compared to B∥. The inset depicts the expected experimental situation in a spin transport experiment. Dashed line denotes T2 when B⊥, which also confirms the case of extreme anisotropy as it aligns well with the T1 values for B∥, as predicted by Eqs. (4) and (5).
The most striking experimental observation is the presence of T1,⊥ relaxation times beyond 100 ns and the approximate factor 10 anisotropy of T1. Although it is observed in an ESR experiment, i.e., in the presence of an external magnetic field, this result can be readily extended to the case of zero magnetic fields: it implies that τs,⊥ in graphite would be as long as 100 ns when electrons are injected with a spin perpendicular to the graphene planes and it would be about a factor 10 times shorter when the spins lie in the graphene planes. This is also depicted in Fig. 4. The giant anisotropy may find a number of applications, e.g., it could be exploited to control the spin-relaxation times in spintronic devices.
It is known1 that electrons travel mainly in the graphene planes in graphite and interlayer transport is diffusion limited and it leads to a conduction anisotropy σ∥/σ⊥ beyond 103−104. This allows to approximate the spin diffusion in graphite while considering that electrons reside on a given graphene layer. The large value of τs,⊥ leads to an ultra-long spin-diffusion length in graphite: \({\delta }_{{{{{{{{\rm{s}}}}}}}}}=\frac{{v}_{{{{{{{{\rm{F}}}}}}}}}}{\sqrt{2}}\sqrt{\tau {\tau }_{{{{{{{{\rm{s}}}}}}}}}}\) (the factor 2 appears from the two-dimensional diffusion equation). It gives δs ≈ 70 μm with typical values of vF = 106 m/s and τ = 10−13 s. This is already a macroscopic length scale, which could bring spintronic devices closer to reality.
Summary
In conclusion, we unraveled the anomalous dynamics of itinerant electron spins in graphite. We first studied the details of the band-structure-related spin–orbit coupling which predicted a hitherto hidden, symmetry-related extreme anisotropy of the spin-orbit coupling. This anisotropy in fact explains the known anomalous anisotropic properties of graphite: a strongly anisotropic g-factor and the 1:2 anisotropy of the ESR linewidth. We recognized that the latter should in principle be accompanied by a giant anisotropy of the spin-lattice relaxation time. This prediction was examined with saturation ESR studies and we observe ultralong (T1 in excess of 100 ns) spin-relaxation times for spins aligned perpendicular to the graphene planes. When extrapolated to the zero-field limit, this predicts similarly long spin-relaxation times in spin-transport studies and a macroscopic spin-diffusion length.
Methods
Experiment
We studied high-quality HOPG (highly-oriented pyrolitic graphite) from Structure Probe Inc. (SPI Grade I) using electron spin resonance (ESR). The HOPG had a mosaicity of 0.4° ± 0.1°. We studied X-band (0.33 T, 9.4 GHz) in a commercial ESR spectrometer (Bruker Elexsys E500) in the 4−673 K temperature range. The spectrometer is equipped with a goniometer which allows reliable and reproducible sample rotations. We used HOPG disk samples of 3 mm diameter and 70 μm thickness.
The samples were sealed in quartz ampules under 20 mbar He for the ESR measurement. Annealing of some of the samples was performed in a high dynamic vacuum in a furnace up to 300−600 °C. The goals in this study are the accurate measurement of the ESR linewidth, and temperature-dependent ESR intensity (penetration effects for a bulky sample prevent the determination of the absolute spin-susceptibility). We also monitored the g-factor as a function of temperature to enable comparison with existing literature data. We employed a low magnetic field modulation to avoid signal distortion, we also used a low (150 μW) microwave power to avoid saturation of the normal data and we monitored the change in the cavity resonance frequency. We quote the widths of derivative Lorentzian curves (or half width-half maximum data, HWHM) fitted to the experimental data which is related to the peak-to-peak linewidth as: \(\Delta {B}_{{{{{{{{\rm{HWHM}}}}}}}}}=\Delta {B}_{{{{{{{{\rm{pp}}}}}}}}}/\sqrt{3}\). Saturated ESR experiments were performed in a commercial microwave cavity (Bruker ER 4122 SHQ, Super High Q Resonator) with an unloaded Q0 = 7500 and with the sample QL = 5500. This cavity produces AC magnetic fields of \({B}_{1}=0.2\,\,{{\mbox{mT}}}\,\sqrt{\frac{p{Q}_{{{{{{{{\rm{L}}}}}}}}}}{{Q}_{0}}}\), where p is the microwave power in Watts and we used microwave powers up to 0.2 W.
Theory
The electronic band structure of graphite in the presence of spin-orbit coupling is determined by the full potential linearized augmented plane waves (LAPW) method, based on density functional theory implemented in Wien2k66. For exchange-correlation effects, the generalized gradient approximation was utilized67. In our three-dimensional calculation the graphene sheets of lattice constant \(a=1.42\sqrt{3}\) Å are separated by the distance of c = 3.35 Å. Integration in the reciprocal space was performed by the modified Blöchl tetrahedron scheme, taking the mesh of 33 × 33 k-points in the irreducible Brillouin zone (BZ) wedge. As the plane-wave cut-off, we took 9.87 Å−1. The 1s core states were treated fully relativistically by solving the Dirac equation, while spin-orbit coupling for the valence electrons was treated within the muffin-tin radius of 1.34 a.u. by the second variational method68.
The algorithm and the code used to calculate the \({b}_{k}^{2}\) values were proven to be correct for various other materials previously69. These include WS270, WSe2, MoSe271, various heterostructures72, 73, etc. We are confident that it provides adequate results for the case of graphite as well. However, averaging the spin admixture, b2, over the tiny Fermi-surface pockets is, at the moment, not feasible. The main reason is that the admixture varies strongly (over several orders of magnitude) close to the band degeneracies (spin hot spots), requiring very dense sampling of the Fermi surface. At the moment, this is beyond the computational capabilities of our available computing infrastructure.
Data availability
The data needed to evaluate and reproduce the conclusions are present in the paper and the Supporting Information (Online Content). Additional data related to this paper are available from the corresponding author upon request.
References
Dresselhaus, M. S. & Dresselhaus, G. Intercalation compounds of graphite. Adv. Phys. 51, 1–186 (2002).
Novoselov, K. S. et al. Electric field effect in atomically thin carbon films. Science 306, 666–669 (2004).
Kroto, H. W., Heath, J. R., O’Brien, S. C., Curl, R. F. & Smalley, R. E. C60: Buckminsterfullerene. Nature 318, 162–163 (1985).
Iijima, S. Helical microtubules of graphitic carbon. Nature 354, 56–58 (1991).
Han, R. K., Kawakami, W., Gmitra, M. & Fabian, J. Graphene spintronics. Nat. Nanotechnol. 9, 794–807 (2014).
Roche, S. et al. Graphene spintronics: the European Flagship perspective. 2D Mater. 2, 030202 (2015).
Avsar, A. et al. Colloquium: spintronics in graphene and other two-dimensional materials. Rev. Mod. Phys. 92, 021003 (2020).
Wolf, S. A. et al. Spintronics: a spin-based electronics vision for the future. Science 294, 1488–1495 (2001).
Žutić, I., Fabian, J. & Sarma, S. D. Spintronics: fundamentals and applications. Rev. Mod. Phys. 76, 323–410 (2004).
Wu, M. W., Jiang, J. H. & Weng, M. Q. Spin dynamics in semiconductors. Phys. Rep. 493, 61–236 (2010).
Tombros, N., Józsa, C., Popinciuc, M., Jonkman, H. T. & van Wees, B. J. Electronic spin transport and spin precession in single graphene layers at room temperature. Nature 448, 571–574 (2007).
Han, W. & Kawakami, R. K. Spin relaxation in single-layer and bilayer graphene. Phys. Rev. Lett. 107, 047207 (2011).
Yang, T.-Y. et al. Observation of long spin-relaxation times in bilayer graphene at room temperature. Phys. Rev. Lett. 107, 047206 (2011).
Roche, S. & Valenzuela, S. O. Graphene spintronics: puzzling controversies and challenges for spin manipulation. J. Phys. D: Appl. Phys. 47, 094011 (2014).
Venkata Kamalakar, M., Groenveld, C., Dankert, A. & Dash, S. P. Long distance spin communication in chemical vapour deposited graphene. Nat. Commun. 6, 6766 (2015).
Drögeler, M. et al. Spin lifetimes exceeding 12 ns in graphene nonlocal spin valve devices. Nano Lett. 16, 3533–3539 (2016).
Kochan, D., Gmitra, M. & Fabian, J. Spin relaxation mechanism in graphene: resonant scattering by magnetic impurities. Phys. Rev. Lett. 112, 116602 (2014).
Avsar, A. et al. Spin-orbit proximity effect in graphene. Nat. Commun. 5, 4875 (2014).
Wang, Z. et al. Strong interface-induced spin-orbit interaction in graphene on WS2. Nat. Commun. 6, 8339 (2015).
Wang, Z. et al. Origin and magnitude of ’designer’ spin-orbit interaction in graphene on semiconducting transition metal dichalcogenides. Phys. Rev. X 6, 041020 (2016).
Yang, B. et al. Tunable spin–orbit coupling and symmetry-protected edge states in graphene/WS2. 2D Mater. 3, 031012 (2016).
Yang, B. et al. Strong electron-hole symmetric Rashba spin-orbit coupling in graphene/monolayer transition metal dichalcogenide heterostructures. Phys. Rev. B 96, 041409 (2017).
Torres, W. S. et al. Spin precession and spin Hall effect in monolayer graphene/Pt nanostructures. 2D Mater. 4, 041008 (2017).
Offidani, M., Milletarì, M., Raimondi, R. & Ferreira, A. Optimal charge-to-spin conversion in graphene on transition-metal dichalcogenides. Phys. Rev. Lett. 119, 196801 (2017).
Dankert, A. & Dash, S. P. Electrical gate control of spin current in van der Waals heterostructures at room temperature. Nat. Commun. 8, 16093 (2017).
Benítez, L. A. et al. Tunable room-temperature spin galvanic and spin Hall effects in van der Waals heterostructures. Nat. Mater. 19, 170–175 (2020).
Gmitra, M. & Fabian, J. Graphene on transition-metal dichalcogenides: a platform for proximity spin-orbit physics and optospintronics. Phys. Rev. B 92, 155403 (2015).
Gmitra, M. & Fabian, J. Proximity effects in bilayer graphene on monolayer WSe2: field-effect spin valley locking, spin-orbit valve, and spin transistor. Phys. Rev. Lett. 119, 146401 (2017).
Zutić, I. A., Matos-Abiague, A., Scharf, B., Dery, H. & Belashchenko, K. Proximitized materials". Mater. Today 22, 85–107 (2019).
Högl, P. et al. Quantum anomalous hall effects in graphene from proximity-induced uniform and staggered spin-orbit and exchange coupling. Phys. Rev. Lett. 124, 136403 (2020).
Cummings, A. W., Garcia, J. H., Fabian, J. & Roche, S. Giant spin lifetime anisotropy in graphene induced by proximity effects. Phys. Rev. Lett. 119, 206601 (2017).
Benítez, L. A. et al. Strongly anisotropic spin relaxation in graphene-transition metal dichalcogenide heterostructures at room temperature. Nat. Phys. 14, 303–308 (2018).
Leutenantsmeyer, J. C., Ingla-Aynés, J., Fabian, J. & van Wees, B. J. Observation of Spin-Valley-Coupling-Induced large spin-lifetime anisotropy in bilayer graphene. Phys. Rev. Lett. 121, 127702 (2018).
Zihlmann, S. et al. Large spin relaxation anisotropy and valley-Zeeman spin-orbit coupling in WSe2/graphene/h-BN heterostructures. Phys. Rev. B 97, 075434 (2018).
Xu, J., Zhu, T., Luo, Y. K., Lu, Y.-M. & Kawakami, R. K. Strong and tunable spin-lifetime anisotropy in dual-gated bilayer graphene. Phys. Rev. Lett. 121, 127703 (2018).
Wakamura, T. et al. Strong anisotropic spin-orbit interaction induced in graphene by monolayer WS2. Phys. Rev. Lett. 120, 106802 (2018).
Omar, S., Madhushankar, B. N. & van Wees, B. J. Large spin-relaxation anisotropy in bilayer-graphene/WS2 heterostructures. Phys. Rev. B 100, 155415 (2019).
Tombros, N. et al. Anisotropic spin relaxation in graphene. Phys. Rev. Lett. 101, 046601 (2008).
Raes, B. et al. Determination of the spin-lifetime anisotropy in graphene using oblique spin precession. Nat. Commun. 7, 11444 (2016).
Zhu, T. & Kawakami, R. K. Modeling the oblique spin precession in lateral spin valves for accurate determination of the spin lifetime anisotropy: Effect of finite contact resistance and channel length. Phys. Rev. B 97, 144413 (2018).
Ringer, S. et al. Measuring anisotropic spin relaxation in graphene. Phys. Rev. B 97, 205439 (2018).
Castle, J. G. Paramagnetic resonance absorption in graphite. Phys. Rev. 92, 1063–1063 (1953).
Hennig, G. R., Smaller, B. & Yasaitis, E. L. Paramagnetic resonance absorption in graphite. Phys. Rev. 95, 1088–1089 (1954).
Slichter, C. P. Principles of Magnetic Resonance (Spinger-Verlag, New York, 1989), 3rd ed. 1996 edn.
Sercheli, M. S., Kopelevich, Y., Ricardo da Silva, R., Torres, J. H. S. & Rettori, C. Evidence for internal field in graphite: a conduction electron spin-resonance study. Solid State Commun. 121, 579–583 (2002).
Huber, D. L., Urbano, R. R., Sercheli, M. S. & Rettori, C. Fluctuating field model for conduction electron spin resonance in graphite. Phys. Rev. B 70, 125417 (2004).
McClure, J. W. & Yafet, Y. Theory of the g-factor of the current carriers in graphite single crystals. Proc. 5th Conference on Carbon 22–28 (Pergamon Press/The Macmillan Company, New York, 1962).
Restrepo, O. D. & Windl, W. Full first-principles theory of spin relaxation in group-IV materials. Phys. Rev. Lett. 109, 166604 (2012).
Elliott, R. J. Theory of the effect of spin-orbit coupling on magnetic resonance in some semiconductors. Phys. Rev. 96, 266–279 (1954).
Yafet, Y. g-factors and spin-lattice relaxation of conduction electrons. Solid State Phys. 14, 1–98 (1963).
Fabian, J. & Das Sarma, S. Spin relaxation of conduction electrons in polyvalent metals: theory and a realistic calculation. Phys. Rev. Lett. 81, 5624–5627 (1998).
Kurpas, M., Gmitra, M. & Fabian, J. Spin-orbit coupling and spin relaxation in phosphorene: Intrinsic versus extrinsic effects. Phys. Rev. B 94, 155423 (2016).
Zimmermann, B. et al. Anisotropy of spin relaxation in metals. Phys. Rev. Lett. 109, 236603 (2012).
Long, N. H. et al. Spin-flip hot spots in ultrathin films of monovalent metals: Enhancement and anisotropy of the Elliott-Yafet parameter. Phys. Rev. B 88, 144408 (2013).
Zimmermann, B. et al. Fermi surfaces, spin-mixing parameter, and colossal anisotropy of spin relaxation in transition metals from ab initio theory. Phys. Rev. B 93, 144403 (2016).
Gmitra, M., Konschuh, S., Ertler, C., Ambrosch-Draxl, C. & Fabian, J. Band-structure topologies of graphene: Spin-orbit coupling effects from first principles. Phys. Rev. B 80, 235431 (2009).
Kurpas, M., Faria Junior, P. E., Gmitra, M. & Fabian, J. Spin-orbit coupling in elemental two-dimensional materials. Phys. Rev. B 100, 125422 (2019).
Fabian, J., Matos-Abiaguea, A., Ertlera, C., Stano, P. & Zutic, I. Semiconductor Spintronics. Acta Phys. Slovaca 57, 565–907 (2007).
Kane, C. L. & Mele, E. J. Quantum spin hall effect in graphene. Phys. Rev. Lett. 95, 226801 (2005).
Wagoner, G. Spin resonance of charge carriers in graphite. Phys. Rev. 118, 647–653 (1960).
Singer, L. S. & Wagoner, G. Electron spin resonance in polycrystalline graphite. J. Chem. Phys. 37, 1812–1817 (1962).
Matsubara, K., Tsuzuku, T. & Sugihara, K. Electron spin resonance in graphite. Phys. Rev. B 44, 11845–11851 (1991).
Dyson, F. J. Electron spin resonance absorption in metals II. Theory of electron diffusion and the skin effect. Phys. Rev. 98, 349–359 (1955).
Walmsley, L. Translating conduction–electron spin–resonance lines into lorentzian lines. J. Magn. Reson. Ser. A 122, 209–213 (1996).
Barnes, S. E. Theory of electron spin resonance of magnetic ions in metals. Adv. Phys. 30, 801–938 (1981).
Blaha, P. et al. WIEN2k: An APW+lo program for calculating the properties of solids. J. Chem. Phys. 152, 074101 (2020).
Perdew, J. P., Burke, K. & Ernzerhof, M. Generalized gradient approximation made simple. Phys. Rev. Lett. 77, 3865 (1996).
Singh, D. L. & Nordstrom, L. Planewaves, Pseudopotentials, and LAPW method (Spinger-Verlag, 2006).
Junior, P. E. F. et al. First-principles insights into the spin-valley physics of strained transition metal dichalcogenides monolayers. N. J. Phys. 24, 083004 (2022).
Blundo, E. et al. Strain-induced exciton hybridization in WS2 monolayers unveiled by zeeman-splitting measurements. Phys. Rev. Lett. 129, 067402 (2022).
Raiber, S. et al. Ultrafast pseudospin quantum beats in multilayer WSe2 and MoSe2. Nat. Commun. 13, 4997 (2022).
Zollner, K. & Fabian, J. Engineering proximity exchange by twisting: reversal of ferromagnetic and emergence of antiferromagnetic dirac bands in graphene/Cr2Ge2Te6. Phys. Rev. Lett. 128, 106401 (2022).
Zollner, K., Faria Junior, P. E. & Fabian, J. Strong manipulation of the valley splitting upon twisting and gating in MoSe2/CrI3 and WSe2/CrI3 van der Waals heterostructures. Phys. Rev. B 107, 035112 (2023).
Acknowledgements
Work supported by the National Research, Development and Innovation Office of Hungary (NKFIH) Grants Nr. K137852, K142179, 2022-2.1.1-NL-2022-00004, and 2019-2.1.7-ERA-NET-2021-00028. The Swiss National Science Foundation (Grant No. 200021 144419), DFG (German Research Foundation), SFB 1277 (Project No. 314695032), SPP 2244 (Project No. 443416183), European Union Horizon 2020 Research and Innovation Program under contract number 881603 (Graphene Flagship), and the project FLAG ERA JTC 2021 2DSOTECH are acknowledged. M.G. acknowledges financial support from Slovak Research and Development Agency provided under Contract No. APVV-SK-CZ-RD-21-0114 and by the Ministry of Education, Science, Research and Sport of the Slovak Republic provided under Grant No. VEGA 1/0105/20 and Slovak Academy of Sciences project IMPULZ IM-2021-42.
Author information
Authors and Affiliations
Contributions
B.G.M., P.S., B.N., and T.F. performed the ESR studies under the supervision of L.F.; B.G.M. performed the high temperature saturated ESR studies. M.G., V.Z., and J.F. performed the band structure calculations and the analysis of the SOC. B.D. and F.S. developed the model for the temperature-dependent ESR linewidth and g-factor. G.C. performed numerical simulations of the ESR lineshape. F.S. and J.F. outlined the overall explanation for the spin-relaxation properties. All authors contributed to the writing of the manuscript.
Corresponding authors
Ethics declarations
Competing interests
The authors declare no competing interests.
Peer review
Peer review information
Nature Communications thanks Fernando Luis and the other, anonymous, reviewer(s) for their contribution to the peer review of this work. A peer review file is available.
Additional information
Publisher’s note Springer Nature remains neutral with regard to jurisdictional claims in published maps and institutional affiliations.
Supplementary information
Rights and permissions
Open Access This article is licensed under a Creative Commons Attribution 4.0 International License, which permits use, sharing, adaptation, distribution and reproduction in any medium or format, as long as you give appropriate credit to the original author(s) and the source, provide a link to the Creative Commons license, and indicate if changes were made. The images or other third party material in this article are included in the article’s Creative Commons license, unless indicated otherwise in a credit line to the material. If material is not included in the article’s Creative Commons license and your intended use is not permitted by statutory regulation or exceeds the permitted use, you will need to obtain permission directly from the copyright holder. To view a copy of this license, visit http://creativecommons.org/licenses/by/4.0/.
About this article
Cite this article
Márkus, B.G., Gmitra, M., Dóra, B. et al. Ultralong 100 ns spin relaxation time in graphite at room temperature. Nat Commun 14, 2831 (2023). https://doi.org/10.1038/s41467-023-38288-w
Received:
Accepted:
Published:
Version of record:
DOI: https://doi.org/10.1038/s41467-023-38288-w
This article is cited by
-
A dual spin-controlled chiral two-/three-dimensional perovskite artificial leaf for efficient overall photoelectrochemical water splitting
Nature Communications (2024)
-
Temperature dependence of positive and negative magnetoresistances of tantalum-covered multiwalled carbon nanotubes
Frontiers of Physics (2024)






