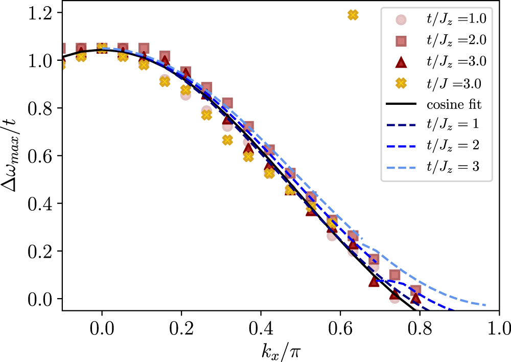
Fig. 3: Strongly dispersive pair state in the t−XXZ model for t/Jz = 1, 2, 3 and J⊥/Jz = 0.1, 1.0 and m4 = 0 (s-wave).
From: Dichotomy of heavy and light pairs of holes in the t−J model

The symbols correspond to the position of the lowest energy peak at ky = π extracted from numerical matrix product state simulations of the singlet two-hole rotational spectrum. Yellow crosses correspond to the isotropic case, Jz = J⊥ = J with t/J = 3. All data points are shifted vertically to collapse at kx = 0. The blue dashed lines are geometric string theory predictions for the position of the strongly dispersing states. The black line is a cosine fit, \(0.62\cos ({k}_{x})+0.72\), to the extracted peak positions for t/Jz = 3, J⊥/Jz = 0.1.