Abstract
A key step in unraveling the mysteries of materials exhibiting unconventional superconductivity is to understand the underlying pairing mechanism. While it is widely agreed upon that the pairing glue in many of these systems originates from antiferromagnetic spin correlations, a microscopic description of pairs of charge carriers remains lacking. Here we use state-of-the art numerical methods to probe the internal structure and dynamical properties of pairs of charge carriers in quantum antiferromagnets in four-legged cylinders. Exploiting the full momentum resolution in our simulations, we are able to distinguish two qualitatively different types of bound states: a highly mobile, meta-stable pair, which has a dispersion proportional to the hole hopping t, and a heavy pair, which can only move due to spin exchange processes and turns into a flat band in the Ising limit of the model. Understanding the pairing mechanism can on the one hand pave the way to boosting binding energies in related models, and on the other hand enable insights into the intricate competition of various phases of matter in strongly correlated electron systems.
Similar content being viewed by others
Introduction
Following the discovery of high-temperature superconductivity in the cuprates, understanding the mechanism by which pairs of charge carriers can form in a system with repulsive interactions has been a key question in the field, despite a general agreement that antiferromagnetic spin correlations play a prominent role1,2,3. Motivated by experimental results on the cuprate materials, a lot of theoretical and numerical work has focused on identifying the potential pairing symmetry4,5 as well as the binding energies in these microscopic models6,7. Despite a vast research effort over several decades, the existence of a superconducting phase in the simplest model describing interacting electrons, the Fermi-Hubbard model, remains debated8. Competing orders, such as charge density waves and stripes, contribute to the difficulty in realizing as well as understanding superconductivity9.
In order to unravel the competition between different orders, and thus the conditions for the existence of a superconducting phase, it is essential to gain a deeper understanding of the nature of individual pairs of charge carriers. The existence of pairs close to half-filling does not imply that for a finite density of holes, the system necessarily realizes a d-wave paired state. Instead, a finite number of charge carriers can for example self-organize into a charge or pair density wave state10. However, understanding whether and how pairs form in the two-hole problem is crucial to the subsequent understanding of the self-organization of many holes.
Here we approach the question of the underlying binding mechanism from an alternative perspective: through elaborate spectroscopic tools, we search for bound states of charge carriers in a quantum antiferromagnet and directly probe their internal structure. In particular, we numerically simulate rotational two-hole spectra, where different angular momenta can be imparted on the system, using time-dependent matrix product states. Crucially, these rotational spectra go beyond the standard pairing correlations through the momentum resolution they provide. The momentum dependence of the peaks in the spectral function enables direct insights into the effective mass of the pairs, which is an essential property for understanding their ability to condense at finite doping and temperature.
We study pairing between two individual holes doped into the two-dimensional t−J model, which corresponds to the enigmatic Fermi-Hubbard model to second order in t/U (up to next-nearest neighbor hopping terms, where U is the on-site interaction) and describes electrons in cuprates11:
where \(\hat{{{{{{{{\mathcal{P}}}}}}}}}\) projects to the subspace with maximum single occupancy per site; \({\hat{{{{{{{{\boldsymbol{S}}}}}}}}}}_{{{{{{{{\boldsymbol{j}}}}}}}}}\) and \({\hat{n}}_{{{{{{{{\boldsymbol{j}}}}}}}}}\) denote the on-site spin and density operators, respectively. In our numerical simulations, we consider a 40 site long, four-legged cylinder, which is sufficiently long to ensure that the two-hole wavefront in the time evolution we consider below does not reach the edges of the system. This also means that the thermodynamic limit is essentially reached in the long direction, and our resulting spectra correspond to predictions at zero doping.
In order to probe a possible bound state of two charges, we consider an extension of conventional angle-resolved photoemission spectroscopy (ARPES). In particular, we excite the initially undoped antiferromagnet by creating not one, but two charges while simultaneously imparting angular momentum on the system. The resulting spectra thus directly contain information about the existence of possible bound states, their ground state energy, as well as their dispersion relation. In our numerical matrix product state calculations, we find well-defined peaks in the rotational spectral function for all angular momenta, for spin-singlet as well as triplet pairs, and throughout an extended frequency range.
In order to gain a deeper understanding of the rotational two-hole spectra, we also consider the conceptually simpler t−Jz model, where the SU(2) invariant spin interactions are replaced by Ising-type interactions. Without additional spin dynamics, a direct comparison of our numerical results to an effective theory describing pairs of charge carriers bound by strings is possible, yielding excellent agreement in terms of the existence as well as the dispersion of the various bound states we observe. In particular, we discover a strongly dispersive low-energy peak, with a dispersion scaling with the hole hopping t, as well as completely flat bands at competitive energies. We attribute the flat bands to destructive interference of pairs with d-wave symmetry (See Supplementary Information file).
Upon introducing spin dynamics, the flat bands develop into weakly dispersive bands, whereas the t-dependent feature remains largely unchanged. We thus discover two qualitatively different kinds of bound states: highly dispersive peaks, including a high-energy feature with strong spectral weight in the s-wave spectra; and a weakly dispersive band, which has a high amount of spectral weight in the d-wave spectra. The dispersion of the latter is determined by the spin coupling J. The emergence of a slow time-scale set by J is intuitive and well-known in the case of a single hole12, which forms a spinon-chargon bound state and can thus only move as fast as the spin excitation13. In contrast, it is surprising to find a coherent bound state peak of two holes in the spectrum with a dispersion ∝ t extending over a wide range of energies without decaying into incoherent pairs of individual holes.
The remainder of this paper is organized as follows. We start by introducing the rotational two-hole spectra. We then discuss results for the t−Jz model, where the SU(2) invariant spin interactions are replaced by Ising-type interactions. We discuss the features found in the numerically obtained spectra in detail and compare them to a semi-analytical theoretical description of pairs of charge carriers14. Finally, we consider the full t−J model.
Results
Rotational Spectra
In order to probe the internal structure of pairs of charge carriers, we study rotational spectra. We define an operator \({\hat{{{\Delta }}}}_{{m}_{4}}(\, {{{{{{{\boldsymbol{j}}}}}}}},\, \sigma,\, {\sigma }^{{\prime} })\) that creates a pair of holes on the bonds adjacent to site j with discrete C4 angular momentum m4 = 0, 1, 2, 3 as
with \({\varphi }_{{{{{{{{\boldsymbol{r}}}}}}}}}=\arg ({{{{{{{\boldsymbol{r}}}}}}}})\) the polar angle of r; see Fig. 1a for an illustration. In order to annihilate a spin-singlet, we define the singlet pair operator (and similar for triplets) as
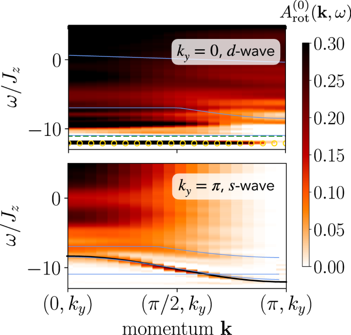
Energies are measured relative to the undoped parent antiferromagnet. a Sketch of the response probed by the rotational spectrum. b The upper (lower) plot corresponds to ky = 0(π) and a d-wave (s-wave) excitation. Data are shown as a function of momentum kx and frequency ω/J. Gray dashed lines correspond to a cosine dispersion \(-2J\alpha \cos ({k}_{x})+{b}_{J}\), black line corresponds to a cosine dispersion \(-2t\alpha \cos ({k}_{x})+{b}_{t}\), where α = 0.33 in both cases, bJ = −11J, and bt = −9J.
The simplest term creating a spin-singlet excitation with discrete angular momentum m4, charge two, and total momentum k is directly given by the spatial Fourier transform of the singlet pair operator as
with volume V. The discrete angular momentum m4 is a good quantum number at C4 invariant momenta k = (0, 0), (π, π) only. Based on this operator, we now consider the rotational Green’s function
which we calculate using time-dependent matrix product states15,16,17. The corresponding two-hole rotational spectrum, \(-{\pi }^{-1}{{{{{{{\rm{Im}}}}}}}}{{{{{{{{\mathcal{G}}}}}}}}}_{{{{{{{{\rm{rot}}}}}}}}}^{({m}_{4})}({{{{{{{\boldsymbol{k}}}}}}}},\, \omega )\), in Lehmann representation is
where \(|{{{\Psi }}}_{0}^{0}\rangle\) (\({E}_{0}^{0}\)) is the ground state (energy) of the undoped system and \(\left|{{{\Psi }}}_{n}\right\rangle\) (En) are the eigenstates (eigenenergies) with two holes.
The two-hole rotational spectral function defined above is closely related to the dynamical pairing correlations frequently considered in the literature8,18,19,
where \({\hat{{{\Delta }}}}_{{m}_{4}}^{(s)}={\sum }_{{{{{{{{\boldsymbol{j}}}}}}}}}{\hat{{{\Delta }}}}_{{m}_{4}}^{(s)}(\, {{{{{{{\boldsymbol{j}}}}}}}})\). Here, however, we consider the full momentum dependence of the pairing correlations, which enables direct insights into the center-of-mass dispersion of pairs of charge carriers.
The resulting rotational spectra thus directly probe the existence of bound states and their internal structure: If a bound state of two holes with long-lived rotational excitations exists, the rotational spectra should exhibit well-defined coherent peaks. If on the other hand, such bound states do not exist, the excitation with the rotational operator \({\hat{{{\Delta }}}}_{{m}_{4}}({{{{{{{\boldsymbol{k}}}}}}}})\) will lead to a broad continuum in the corresponding spectral function.
In Fig. 1b, we show the two-hole spectral function with angular momentum, i.e., m4 = 0 (s-wave) and m4 = 2 (d-wave) for the t−J model for momenta 0 ≤ kx ≤ π and ky = π and ky = 0, respectively. We find a well-defined coherent peak at low energies for all momenta, indicating the existence of a bound state. The spectrum furthermore reveals a plethora of different features, including a highly dispersive band (black line, s-wave excitation) as well as bands with a dispersion proportional to the spin-exchange J (gray dashed lines, d-wave excitation). At momentum k = (π, π), the spectral weight vanishes for all energies for the s-wave excitation since \({\hat{{{\Delta }}}}_{0}^{(s)}({{{{{{{\boldsymbol{k}}}}}}}}=(\pi,\, \pi ))=0\).
In order to gain a deeper understanding of these intriguing results, we take a step back and analyze the conceptually simpler t−Jz model in the following section.
The t−XXZ model
We now consider a modification of the t−J model, where the SU(2) invariant spin interactions are replaced by in-plane and Ising-type spin interactions with coupling constants J⊥ and Jz:
In the limit of J⊥ ≪ Jz, also called the t−Jz model, the lack of spin dynamics facilitates our theoretical understanding. Experimentally, the anisotropic interactions can for example be realized by employing Rydberg interactions20,21 or using ultracold molecules in tweezer arrays21.
Remarkably, the two-hole spectral function, Fig. 2, exhibits a highly dispersive peak with a mass proportional to 1/t, best identified at ky = π (bottom panel); I.e., we find a long-lived, tightly bound state of two holes, which can move as fast as the hole hopping t. This is in stark contrast to the case of a single hole in the same model, which has a very high effective mass ≫ 1/t and thus an almost flat dispersion22, since it can only move due to Trugman loops23, which are higher-order processes.
The colormap corresponds to numerical matrix product state simulations of the singlet two-hole rotational spectrum, blue lines are geometric string theory predictions for the position of states (all shifted by −0.35Jz), and the black line is a cosine fit. The upper (lower) plot corresponds to ky = 0 (ky = π) at m4 = 2, d-wave (m4 = 0, s-wave), and data are shown as a function of momentum kx and frequency ω/Jz. In the top panel, the overall ground state energy for two holes is marked by orange circles for ky = 0, and the green dashed line corresponds to twice the energy of a single hole (indicating a small pairing gap on the order of Jz).
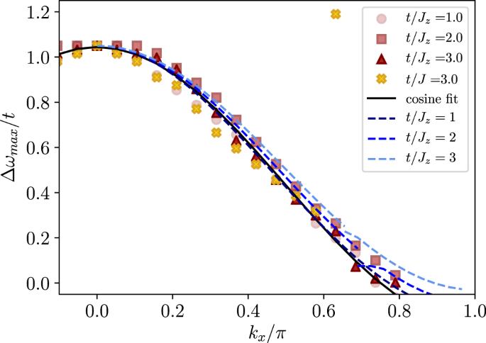
In Fig. 3, we further analyze the scaling of the mass of the pair by analyzing the position \({{\Delta }}{\omega }_{\max }\) of the lowest energy peak at ky = π as a function of kx for different values of t/Jz = 1, 2, 3 and J⊥/Jz = 0.1. Note that the frequency Δωmax is defined relative to the energy of the highly dispersive peak at momentum k = (0, π), and shown in units of the hole hopping t. We find a remarkable agreement in the overall shape of the dispersive peak for different values of t/Jz, thus highlighting the scaling with the hole hopping t.
The symbols correspond to the position of the lowest energy peak at ky = π extracted from numerical matrix product state simulations of the singlet two-hole rotational spectrum. Yellow crosses correspond to the isotropic case, Jz = J⊥ = J with t/J = 3. All data points are shifted vertically to collapse at kx = 0. The blue dashed lines are geometric string theory predictions for the position of the strongly dispersing states. The black line is a cosine fit, \(0.62\cos ({k}_{x})+0.72\), to the extracted peak positions for t/Jz = 3, J⊥/Jz = 0.1.
The lowest-lying peak for ky = 0 and ky = π/2 is—within our numerical resolution—completely flat. Note that the situation of two unbound, and thus approximately immobile, holes should have a very small matrix element in the spectral function considered here, and therefore cannot account for the pronounced flat band peaks we find in the two-hole spectra. This is further corroborated by the direct comparison of the energy for two holes (E2h−E0h = −12.08Jz, orange circles in top panel Fig. 2) with twice the energy of a single hole (2 ⋅ (E1h−E0h) = −11.01Jz, green dashed line in top panel Fig. 2): the latter is higher by ≈ Jz, well above our spectral resolution.
In a companion paper14, we extend the geometric string theory developed for a single hole22, 24 to the case of two charge carriers. In particular, this geometric string theory approach describes the properties of two holes bound together by a string of displaced spins, and thus provides estimates of the energy and dispersion relation of such pair states, see blue lines in Figs. 2 and 3. Note that the existence of a state at a given energy does not imply that said state is visible in the spectral function, since the spectral weight, i.e. the overlap with the excitation we consider, can still be zero.
The geometric string theory correctly predicts the highly dispersive peak, as well as the existence of completely flat bands. Within this effective theory, the highly dispersive peak can be attributed to configurations where one hole re-traces the string created by the other hole, which allows the pair to move freely through the host antiferromagnet with an overall dispersion ~ t. The completely flat bands we find have also been predicted by an earlier theoretical study using a similar effective model25. We attribute them to the destructive interference of hole pairs with non-trivial rotational symmetry. A self-contained summary of the effective string theory is provided in the methods section.
Results for the t−J model
In the isotropic case, J⊥ = Jz, the strongly dispersive peak remains visible, see Fig. 1 bottom. In Fig. 3, we compare the peak position for the isotropic t−J model (yellow crosses) with the t−XXZ model at J⊥/Jz = 0.1 and find that the momentum dependence along the x-direction of the lowest-lying peak for ky = π is qualitatively very similar between the two cases. This indicates in particular that also in the t−J model, a highly mobile, tightly bound pair state exists.
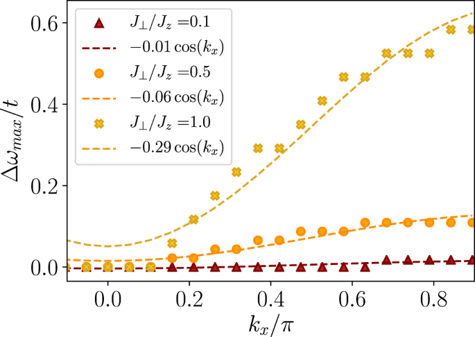
The flat bands, particularly visible in the J⊥/Jz = 0.1 case at momenta ky = 0 in the d-wave channel (and at ky = 0, π/2 in the d- and for all ky in the p-wave channels, see Supplementary Figure 10), acquire a dispersion approximately proportional to \({J}_{\perp }^{2}/{J}_{z}\), as can be seen in the top plot in Fig. 1. We analyze this behavior in more detail by explicitly extracting the peak position \({{\Delta }}{\omega }_{\max }\) at ky = 0 for t/Jz = 3 and different values of J⊥/Jz in Fig. 4.
The symbols correspond to the position of the lowest energy peak at ky = 0 extracted from matrix product state simulations of the singlet two-hole rotational spectrum. All data points are shifted vertically to collapse at kx = 0. Dashed lines are a cosine fit to the extracted peak positions with pre-factor as indicated in the legend, and additional offsets (not indicated).
Again, the geometric string theory14 correctly captures the highly dispersive peak with mass proportional to 1/t (black lines) discussed in Fig. 3. However, since this theoretical description does not account for spin dynamics, it does not predict the dispersion proportional to \({J}_{\perp }^{2}/{J}_{z}\) (gray dashed lines). The corresponding bands in the t−Jz model are flat, as predicted by the geometric string theory.
Different angular momenta
In Fig. 5, we show the spectral function for the t−J model at t/J = 3 and momentum ky = 0 for m4 = 0, 2, corresponding to s- and d-wave excitations. We find that the spectral weight exhibits a strong dependence on the angular momentum m4 of the excitations. Before we have identified two qualitatively different types of bound states: a strongly dispersive band, see Fig. 3, and a weakly dispersive band, see Fig. 4. By considering different rotational excitations, we establish in Fig. 5 that the weakly dispersive pair, realizing the overall ground state within our spectral resolution, has almost exclusively spectral weight for the d-wave (m4 = 2) excitation; for the s-wave (m4 = 0) excitation, a large fraction of the spectral weight appears in a strongly dispersive high-energy feature. Both of these observations are also predicted by the geometric string theory14.
Since the 40 × 4 cylinder geometry used in our numerical simulations weakly breaks the C4 symmetry, m4 = 0 and m4 = 2 excitations can in principle hybridize. We find, however, that such hybridization is very weak with no significant mixing of spectral weight, see Fig. 5. This indicates weak finite-size effects in our calculations on 4-leg cylinders.
We note that in early exact diagonalization studies on small systems18, 19, the integration overall momenta, or the consideration of only momentum zero, leads to a much sharper low-energy peak in the d-wave than in the s-wave case. We attribute this to the widely different dispersions of the s- and d-wave peaks revealed here, and the exact C4 symmetry in small systems.
The geometric string theory correctly predicts the d-wave character of the weakly dispersive band, as well as the accumulation of spectral weight at high energies for k = (0, 0)14. A more detailed comparison of spectral weights for different values of m4 shows very good qualitative agreement at low energies (see Supplementary Figures 1-3).
So far, we considered a singlet excitation. In order to annihilate a triplet instead, we define the triplet pair operator as
Upon considering the corresponding triplet spectral function, we find that the lowest-lying peaks are at higher energies than in the case of the singlet spectral function. This finding furthermore suggests that the lowest energy peak in the singlet spectral function cannot be attributed to the unbound states of two holes.
Discussion
In this work, we extensively studied the properties of pairs of charge carriers in the t−J and t−XXZ models through rotational spectra. We find well-defined coherent peaks at low energies for all momenta and angular momenta m4. Our work provides an extensive numerical study of the mass of pairs of charge carriers in extended systems. We have revealed two qualitatively different types of bound states: First, a weakly dispersive peak with a dispersion approximately proportional to \({J}_{\perp }^{2}/{J}_{z}\), which has the most spectral weight for a d-wave excitation. Second, a highly dispersive peak, corresponds to tightly bound pairs with a mass proportional to 1/t. We find the same signatures of these light pairs of charge carriers in the t−Jz and the SU(2) invariant t−J models. The bands corresponding to these light pairs, as well as the bands corresponding to heavy pairs, are qualitatively captured by a semi-analytic geometric string theory approach14.
Our numerical studies of spectra are currently limited to four-leg systems since we cannot reach sufficiently long times to achieve the desired spectral resolution when working with larger bond dimensions required for six-leg systems. Finite-size effects can be expected to play a role, in particular on a quantitative level, but the good qualitative agreement of our results with predictions by the genuinely two-dimensional geometric string approach, along with the absence of significant hybridization of d and s wave excitations, support the view that four-leg cylinders are sufficient to capture key qualitative properties of hole pairs.
An intriguing direction for future research is the direct experimental probe of the two-hole rotational states. Understanding the pairing mechanism in the Fermi-Hubbard and related models has been one of the key motivations in the development of quantum simulators, and in particular cold atoms in optical lattices26. In the past two decades, remarkable progress has been made in the field27,28, and several proposals to probe the pairing symmetry have been put forward29,30. More recently, the single-hole spectral function has been measured experimentally using ultracold atoms31,32. Using additional lattice modulations, the two-hole rotational spectral function considered here could be accessed experimentally. In solid state experiments, the s-wave two-hole spectral function can be accessed through coincidence angle-resolved photoemission spectroscopy33, which relies on simultaneous measurements of two photo-electrons and provides direct insights into the pair Green’s function. A different approach is based on Anderson-Goldman pair tunneling in a tunnel junction setup34,35,36: to study the structure of individual pairs in a strongly underdoped quasi-2D material as considered here, we propose to tunnel-couple the latter to a probe-superconductor along z-direction. Momentum resolution can in this case be obtained through an in-plane magnetic field.
The observation of light as well as heavy pairs in the spectra shown here furthermore suggests a real-space and -time experiment. Upon slowly releasing two holes next to each other in a cold atom experiment, a low-energy state of the pair can be prepared. In the ensuing time evolution, we predict the pairs to spread through the system in two distinct wave-fronts, corresponding to the light and the heavy pair, respectively. This phenomenology is expected more broadly, including in mixed-dimensional bilayer systems37,38.
Finally, the existence of flat or weakly dispersive bands opens a new avenue to understand the many competing orders found experimentally in cuprate materials as well as numerically in Fermi-Hubbard and t−J models at finite doping8,39,40. In the next step, we will investigate the dichotomy between two types of light and heavy pairs in the Fermi-Hubbard model. Furthermore, our work raises the interesting question of how the two types of tightly bound hole pairs discovered here relate to the Cooper pairs constituting high-temperature superconductors in copper oxides and whether they play any role in the pairing mechanism of the latter at all.
Methods
Geometric string theory
In order to interpret our numerically obtained two-hole spectra, we compare them to predictions by a simplified effective theory. The latter describes pairs of indistinguishable holes that are tightly bound by a geometric string of displaced spins. The detailed derivation and discussion of this two-hole geometric string theory can be found in ref. 14; see also ref. 25 for related earlier work. Here we will only provide an overview of the key structure, assumptions, and results of this theory. We emphasize that the main focus of the present article is on unbiased numerical results, which do not require major uncontrolled approximations beyond our choice of the microscopic model—in contrast to the effective geometric string theory.
The first key assumption of the geometric string theory is on the level of the employed Hilbert space. We consider exactly two holes, at positions x1,2 on the square lattice, and assume that for each state a unique string Σ can be defined, composed of a sequence of string segments defined on the links of the lattice, which connects x1 to x2; i.e. x2 is uniquely defined by attaching Σ to x1. By construction, we assume that these string states \(\left|{{{{{{{{\boldsymbol{x}}}}}}}}}_{1},\, {{\Sigma }}\right\rangle\) span an orthonormal basis, i.e.
The basic motivation for working with this effective Hilbert space comes from considering two holes in a perfect Néel state in two dimensions: Starting from two neighboring holes, identified with the string-length ∣Σ∣ = 1 states, moving one hole away from the other creates a string-like memory of its trajectory, up to self-retracing paths, in the form of displaced Ising spins. For sufficiently short strings, the so-constructed truncated two-hole Hilbert space maps identically to the effective Hilbert space of the geometric string theory. For longer strings, this mapping no longer works due to loop effects, but their relative importance can be expected to remain small for sizable string lengths22. Going beyond the perfect Néel state, e.g., to the quantum Heisenberg antiferromagnet, even short-string states are not perfectly orthonormal due to quantum fluctuations, but it can still be expected that an orthonormalized basis with a similar structure can be constructed.
The second key assumption is on the level of the effective Hamiltonian. In the geometric string theory, we include hole tunneling by including processes where the string is extended or retracted by one segment on either end. Moreover, we take into account spin-spin couplings indirectly, through a string potential VΣ; we further assume that the latter depends only on the length ℓΣ of the string VΣ ∝ ℓΣ, with a pre-factor that can be determined from the case of straight strings22. This string potential models the energy cost associated with the frustrated bonds created by the motion of the holes through the host antiferromagnet.
Finally, to solve the effective string model, we further truncate the basis by taking into account only the lowest-lying rotational excitations22 of the strings and restricting their overall length. Making use of the conservation of the pair’s center-of-mass momentum, we can derive the momentum-resolved low-energy excitation spectrum of the tightly bound pairs14. This leads to the line shapes shown in Figs. 2 and 3 of the main text.
Since the geometric string theory, per construction, correctly captures the short-length strings, it provides a natural phenomenological theory to employ for the description of two-hole spectra: The latter characterize tightly bound two-hole eigenstates featuring a sizable overlap with string-length one states at a given total momentum k and C4 angular momentum m4. Other, much more loosely bound, paired states of individual magnetic polarons, could also lead to features in the two-hole spectrum, although with reduced spectral weight due to their overall size. Such states, however, can neither be described by the geometric string theory nor do we find any clear signatures for them in our numerically obtained spectral functions.
The central predictions of the effective geometric string theory entail14: (i) The existence of two types of tightly bound hole states, namely a highly dispersive set of states with bandwidth ∝ t; and a completely flat set of states with zero bandwidth originating from destructive interference effects, see supplements. (ii) A distribution of spectral weights in the two-hole spectra which is in good qualitative agreement with our numerical observations; this includes in particular the prediction of flat d-wave pairs at low energies and a pronounced high-energy feature in the spectrum at k = 0 in the s-wave channel—see supplement for comparisons of our numerics with the effective theory. (iii) The association of d-wave pairing symmetry with flat, or weakly dispersing, bands; and the association of s-wave pairing symmetry with highly dispersive bands corresponding to light hole pairs.
These features can also be observed in our unbiased numerical calculations of the two-hole spectra. The effective geometric string theory thus allows us to interpret our numerical findings in an intuitive way, supporting our claim that long-lived tightly bound paired states of holes exist in the two-dimensional t−J model. The underlying pairing is facilitated by the frustrating effect of strings, formed directly through the hole motion in the host antiferromagnet.
Data availability
All presented data are available from the authors upon request.
References
Scalapino, D. J. Superconductivity and spin fluctuations. J. Low. Temp. Phys. 117, 179–188 (1999).
Moriya, Toru & Ueda, Kazuo Antiferromagnetic spin fluctuation and superconductivity. Rep. Prog. Phys. 66, 1299–1341 (2003).
O’Mahony, S. M. et al. On the electron pairing mechanism of copper-oxide high temperature superconductivity. Proc. Natl Acad. Sci. 119, e2207449119 (2022).
Scalapino, D. J. The case for dx2 - y2 pairing in the cuprate superconductors. Phys. Rep. 250, 329–365 (1995).
Tsuei, C. C. & Kirtley, J. R. Pairing symmetry in cuprate superconductors. Rev. Mod. Phys. 72, 969–1016 (2000).
Chernyshev, A. L., Leung, P. W. & Gooding, R. J. Comprehensive numerical and analytical study of two holes doped into the two-dimensional t−j model. Phys. Rev. B 58, 13594–13613 (1998).
Leung, P. W. Low-energy states with different symmetries in the t-j model with two holes on a 32-site lattice. Phys. Rev. B 65, 205101 (2002).
Qin, Mingpu et al. Absence of superconductivity in the pure two-dimensional Hubbard model. Phys. Rev. X 10, 031016 (2020).
Scalapino, D. J. A common thread: the pairing interaction for unconventional superconductors. Rev. Mod. Phys. 84, 1383–1417 (2012).
Fradkin, Eduardo, Kivelson, S. A. & Tranquada, J. M. Colloquium: theory of intertwined orders in high temperature superconductors. Rev. Mod. Phys. 87, 457–482 (2015).
Zhang, F. C. & Rice, T. M. Effective Hamiltonian for the superconducting cu oxides. Phys. Rev. B 37, 3759–3761 (1988).
Kane, C. L., Lee, P. A. & Read, N. Motion of a single hole in a quantum antiferromagnet. Phys. Rev. B 39, 6880–6897 (1989).
Bohrdt, A., Grusdt, F. & Knap, M. Dynamical formation of a magnetic polaron in a two-dimensional quantum antiferromagnet. N. J. Phys. 22, 123023 (2020).
Grusdt, Fabian, Demler, Eugene & Bohrdt, Annabelle Pairing of holes by confining strings in antiferromagnets. SciPost Phys. 14, 090 (2023).
Kjäll, J. A., Zaletel, M. P., Mong, RogerS. K., Bardarson, J. H. & Pollmann, Frank Phase diagram of the anisotropic spin-2 xxz model: Infinite-system density matrix renormalization group study. Phys. Rev. B 87, 235106 (2013).
Zaletel, M. P., Mong, RogerS. K., Karrasch, Christoph, Moore, J. E. & Pollmann, Frank Time-evolving a matrix product state with long-ranged interactions. Phys. Rev. B 91, 165112 (2015).
Paeckel, Sebastian et al. Time-evolution methods for matrix-product states. Ann. Phys. 411, 167998 (2019).
Dagotto, Elbio, Riera, Jose & Young, A. P. Dynamical pair susceptibilities in the t-j and Hubbard models. Phys. Rev. B 42, 2347–2352 (1990).
Poilblanc, Didier, Riera, José & Dagotto, Elbio d-wave bound state of holes in an antiferromagnet. Phys. Rev. B 49, 12318–12321 (1994).
Guardado-Sanchez, Elmer et al. Quench dynamics of a fermi gas with strong nonlocal interactions. Phys. Rev. X 11, 021036 (2021).
Homeier, Lukas et al. Antiferromagnetic bosonic t-j models and their quantum simulation in tweezer arrays. arXiv https://arxiv.org/abs/2305.02322 (2023).
Grusdt, F. et al. Parton theory of magnetic polarons: mesonic resonances and signatures in dynamics. Phys. Rev. X 8, 011046 (2018).
Trugman, S. A. Interaction of holes in a Hubbard antiferromagnet and high-temperature superconductivity. Phys. Rev. B 37, 1597–1603 (1988).
Grusdt, Fabian, Bohrdt, Annabelle & Demler, Eugene Microscopic spinon-chargon theory of magnetic polarons in the t−j model. Phys. Rev. B 99, 224422 (2019).
Shraiman, B. I. & Siggia, E. D. Two-particle excitations in antiferromagnetic insulators. Phys. Rev. Lett. 60, 740–743 (1988).
Hofstetter, W., Cirac, J. I., Zoller, P., Demler, E. & Lukin, M. D. High-temperature superfluidity of fermionic atoms in optical lattices. Phys. Rev. Lett. 89, 220407 (2002).
Tarruell, Leticia & Sanchez-Palencia, Laurent Quantum simulation of the Hubbard model with ultracold fermions in optical lattices. C R Phys. 19, 365—393 (2018).
Bohrdt, Annabelle, Homeier, Lukas, Reinmoser, Christian, Demler, Eugene & Grusdt, Fabian Exploration of doped quantum magnets with ultracold atoms. Ann. Phys. 435, 168651 (2021).
Rey, A. M. et al. Controlled preparation and detection of d-wave superfluidity in two-dimensional optical superlattices. EPL (Europhys. Lett.) 87, 60001 (2009).
Kitagawa, Takuya, Aspect, Alain, Greiner, Markus & Demler, Eugene Phase-sensitive measurements of order parameters for ultracold atoms through two-particle interferometry. Phys. Rev. Lett. 106, 115302 (2011).
Brown, P. T. et al. Angle-resolved photoemission spectroscopy of a fermi-Hubbard system. Nat. Phys. 16, 26–31 (2019).
Bohrdt, A., Greif, D., Demler, E., Knap, M. & Grusdt, F. Angle-resolved photoemission spectroscopy with quantum gas microscopes. Phys. Rev. B 97, 125117 (2018).
Su, Yuehua & Zhang, Chao Coincidence angle-resolved photoemission spectroscopy: proposal for detection of two-particle correlations. Phys. Rev. B 101, 205110 (2020).
Anderson, P. W. and Gorter, C. J. Chapter I the Josephson effect and quantum coherence measurements in superconductors and superfluids. Prog. Low Temp. Phys. 5, 1–43 (1967).
Anderson, J. T., Carlson, R. V. & Goldman, A. M. Pair tunneling as a probe of order-parameter fluctuations in superconductors: Zero magnetic field effects. J. Low. Temp. Phys. 8, 29–46 (1972).
Scalapino, D. J. Pair tunneling as a probe of fluctuations in superconductors. Phys. Rev. Lett. 24, 1052–1055 (1970).
Bohrdt, Annabelle, Homeier, Lukas, Bloch, Immanuel, Demler, Eugene & Grusdt, Fabian Strong pairing in mixed-dimensional bilayer antiferromagnetic mott insulators. Nat. Phys. 18, 651–656 (2022).
Hirthe, Sarah et al. Magnetically mediated hole pairing in fermionic ladders of ultracold atoms. Nature 613, 463–467 (2023).
Corboz, Philippe, Rice, T. M. & Troyer, Matthias Competing states in the t-j model: uniform d-wave state versus stripe state. Phys. Rev. Lett. 113, 046402 (2014).
Arovas, D. P., Berg, Erez, Kivelson, S. A. & Raghu, Srinivas The Hubbard model. Annu. Rev. Condens. Matter Phys. 13, 239–274 (2022).
Hauschild, J. et al. Tensor network python. The code is available online at: https://github.com/tenpy/tenpy/, the documentation can be found at https://tenpy.github.com/. (2018).
Hauschild, J. and Pollmann, Frank. Efficient numerical simulations with tensor networks: tensor network python (tenpy). SciPost Phys. Lect. Notes 5 https://doi.org/10.21468/SciPostPhysLectNotes.5 (2018).
Acknowledgements
We thank Immanuel Bloch, Antoine Georges, Markus Greiner, Mohammad Hafezi, Lukas Homeier, and Ulrich Schollwöck for fruitful discussions. This research was funded by the Deutsche Forschungsgemeinschaft (DFG, German Research Foundation) under Germany’s Excellence Strategy—EXC-2111—390814868 (A.B., F.G.), by the European Research Council (ERC) under the European Union’s Horizon 2020 research and innovation programm (Grant Agreement no 948141)—ERC Starting Grant SimUcQuam (F.G.), by the ARO—grant number W911NF-20-1-0163 (E.D.), and by the NSF through a grant for the Institute for Theoretical Atomic, Molecular, and Optical Physics at Harvard University and the Smithsonian Astrophysical Observatory (A.B.).
Funding
Open Access funding enabled and organized by Projekt DEAL.
Author information
Authors and Affiliations
Contributions
A.B. performed all numerical simulations. F.G. performed calculations for the geometric string theory. A.B., E.D., and F.G. contributed to the analysis of the results and the writing of the manuscript.
Corresponding author
Ethics declarations
Competing interests
The authors declare no competing interests.
Peer review
Peer review information
Nature Communications thanks the anonymous reviewers for their contribution to the peer review of this work. A peer review file is available.
Additional information
Publisher’s note Springer Nature remains neutral with regard to jurisdictional claims in published maps and institutional affiliations.
Supplementary information
Rights and permissions
Open Access This article is licensed under a Creative Commons Attribution 4.0 International License, which permits use, sharing, adaptation, distribution and reproduction in any medium or format, as long as you give appropriate credit to the original author(s) and the source, provide a link to the Creative Commons licence, and indicate if changes were made. The images or other third party material in this article are included in the article’s Creative Commons licence, unless indicated otherwise in a credit line to the material. If material is not included in the article’s Creative Commons licence and your intended use is not permitted by statutory regulation or exceeds the permitted use, you will need to obtain permission directly from the copyright holder. To view a copy of this licence, visit http://creativecommons.org/licenses/by/4.0/.
About this article
Cite this article
Bohrdt, A., Demler, E. & Grusdt, F. Dichotomy of heavy and light pairs of holes in the t−J model. Nat Commun 14, 8017 (2023). https://doi.org/10.1038/s41467-023-43453-2
Received:
Accepted:
Published:
Version of record:
DOI: https://doi.org/10.1038/s41467-023-43453-2
This article is cited by
-
Feshbach hypothesis of high-Tc superconductivity in cuprates
Nature Communications (2025)
-
Neural network approach to quasiparticle dispersions in doped antiferromagnets
Communications Physics (2024)







