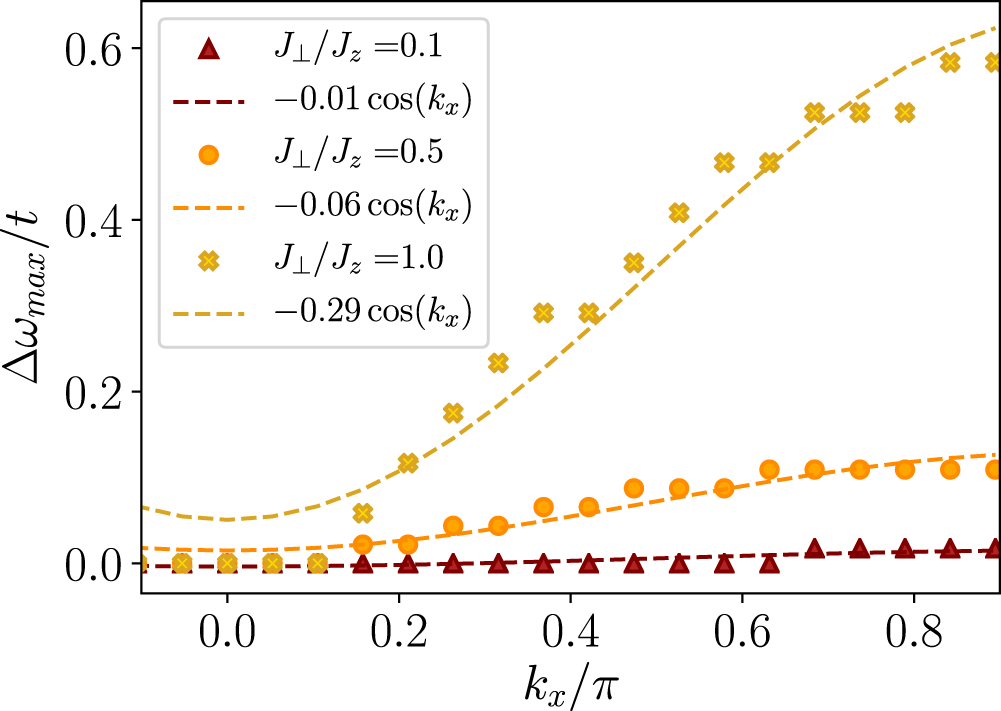
Fig. 4: Weakly dispersive pair in the t−XXZ model for t/Jz = 3, J⊥/Jz = 0.1, 0.5, 1.0, and m4 = 2 (d-wave).
From: Dichotomy of heavy and light pairs of holes in the t−J model

The symbols correspond to the position of the lowest energy peak at ky = 0 extracted from matrix product state simulations of the singlet two-hole rotational spectrum. All data points are shifted vertically to collapse at kx = 0. Dashed lines are a cosine fit to the extracted peak positions with pre-factor as indicated in the legend, and additional offsets (not indicated).