Fig. 5: String order.
From: Transition to the Haldane phase driven by electron-electron correlations

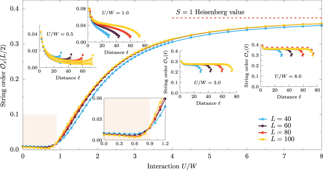
Interaction U dependence of the string order parameter \({{{{{{{{\mathcal{O}}}}}}}}}_{{{{{{{{\rm{c}}}}}}}}}(\ell )\) with θ = π phase at ℓ = L/2 distance in bulk (m = L/4). Upper insets depicts \({{{{{{{{\mathcal{O}}}}}}}}}_{{{{{{{{\rm{c}}}}}}}}}(\ell )\) vs. distance ℓ for U = 0.5, 1.0, 3.0, 8.0 (left to right). The lower inset depicts a zoom to the proximity of the phase transition Uc, with the shaded region depicting the trivial phase. All data are evaluated at JH/U = 0.25 using L = 40, 60, 80, L = 100 site systems.