Abstract
One of the most famous quantum systems with topological properties, the spin \({{{{{{{\mathcal{S}}}}}}}}=1\) antiferromagnetic Heisenberg chain, is well-known to display exotic \({{{{{{{\mathcal{S}}}}}}}}=1/2\) edge states. However, this spin model has not been analyzed from the more general perspective of strongly correlated systems varying the electron-electron interaction strength. Here, we report the investigation of the emergence of the Haldane edge in a system of interacting electrons – the two-orbital Hubbard model—with increasing repulsion strength U and Hund interaction JH. We show that interactions not only form the magnetic moments but also form a topologically nontrivial fermionic many-body ground-state with zero-energy edge states. Specifically, upon increasing the strength of the Hubbard repulsion and Hund exchange, we identify a sharp transition point separating topologically trivial and nontrivial ground-states. Surprisingly, such a behaviour appears already at rather small values of the interaction, in a regime where the magnetic moments are barely developed.
Similar content being viewed by others
Introduction
The precise role of the electron-electron interaction in many condensed matter systems is still under much debate. From the high critical temperature superconductivity of copper- and iron-based compounds to the magnetic properties of idealized spin models, strong correlations appear crucial for our understanding of materials physics. In parallel, topology in various compounds has been typically realized and investigated at the level of non-interacting band structures in the presence of spin-orbit coupling. However, the detailed study of the Coulomb correlation effects intertwined with topological physics has barely started and represents one of the grand challenges of present-day theoretical and experimental physics.
In particular, in one of the most famous topologically nontrivial systems, i.e., the \({{{{{{{\mathcal{S}}}}}}}}=1\) antiferromagnetic (AFM) Heisenberg model HS = J∑ℓSℓ ⋅ Sℓ+1 on a one-dimensional (1D) lattice geometry, the spin-spin interactions are necessary to form the zero-energy edge states, which is the hallmark of topological states. In his seminal work1,2, Haldane showed that integer \({{{{{{{\mathcal{S}}}}}}}}=1,2,\ldots \,\) and half-integer \({{{{{{{\mathcal{S}}}}}}}}=1/2,3/2,\ldots \,\) spin systems behave fundamentally different: the former are gapped while the latter are gapless. Affleck, Kennedy, Lieb, and Tasaki (AKLT) proved3 that the ground-state of \({{{{{{{\mathcal{S}}}}}}}}=1\) chains, when generalized including biquadratic interactions, can be expressed as a valence bond state (VBS) composed of interacting \({{{{{{{\mathcal{S}}}}}}}}=1/2\)-like singlets. In this picture, the AKLT state, when defined on an open chain, has two unpaired \({{{{{{{\mathcal{S}}}}}}}}=1/2\) spins at the edges of the system, forming zero-energy modes.
The existence of topologically protected edge states in \({{{{{{{\mathcal{S}}}}}}}}=1\) chains has been shown by extensive theoretical4,5,6,7 and experimental8,9,10,11,12,13 studies. Also, the road to the Haldane states from well-formed \({{{{{{{\mathcal{S}}}}}}}}=1/2\) spins has been studied. The AKLT VBS state initiated various investigations of extended Bose Hubbard model (containing nearest-neighbor interactions)14,15 and ladder-like \({{{{{{{\mathcal{S}}}}}}}}=1/2\) systems16,17,18. In the latter, the topological \({{{{{{{\mathcal{S}}}}}}}}=1\) Haldane phase is a consequence of competition between various kinetic terms (i.e., ferromagnetic rung exchange or AFM frustration) or unpaired sites at the edges of overall AFM systems. Although such systems are fruitful playground for theoretical investigations and even are realized in cold atoms in optical lattice setups11, they do not fully capture the physics of solid-state compounds. In real low-dimensional materials19, the \({{{{{{{\mathcal{S}}}}}}}}=1\) moments should arise due to the electron-electron correlations in a multi-orbital Hubbard model, which is technically challenging. Because the \({{{{{{{\mathcal{S}}}}}}}}=1/2\) moments themselves are already an effective description of some fermionic systems, such analysis is usually unnecessary for many compounds. But in more refined descriptions, the Coulomb repulsion and Hund’s coupling not only cooperate but also can compete20,21. Depending on their specific values, the Mott localization of electrons and the formation of well-developed spins can occur in portions of the phase diagram. As an example, in the largest family of \({{{{{{{\mathcal{S}}}}}}}}=1\) chains, the nickel-based compounds19, the two eg electrons of Ni+2 ions are necessary to form the \({{{{{{{\mathcal{S}}}}}}}}=1\) spins due to the Hund’s rule that maximizes the on-site magnetic moment. For AgVP2S6 or Tl2Ru2O7, the \({{{{{{{\mathcal{S}}}}}}}}=1\) spins develop, instead, on the t2g orbitals of V+3 or Ru+4, respectively. In all the previously mentioned compounds, the emergence of the topological states is unknown when described from the more fundamental perspective of quantum mechanically fluctuating individual mobile electrons, including electron-electron interaction.
To fully understand how the topological state in \({{{{{{{\mathcal{S}}}}}}}}=1\) chains emerges from a fermionic description, one has to focus on the effects of electron interaction within the multi-orbital systems in which Hubbard and Hund’s couplings are crucial ingredients. Here, we demonstrate that these couplings are sufficient for the onset of the topologically nontrivial phase. Specifically, upon increasing the strength of the Coulomb repulsion, we identify a previously unknown transition between topologically trivial and nontrivial ground states. Our analysis unveils the threshold value of the interaction Uc where the Haldane gap opens. Although at Uc we also identify the emergence of zero-energy edge states and finite string order correlations (the signature properties of \({{{{{{{\mathcal{S}}}}}}}}=1\) Haldane phase), surprisingly, the magnetic moments are far from being fully developed, and spin excitations still resemble those in the regime of weak U→0. Consequently, we here report that the Haldane phase is not limited by having \({{{{{{{\mathcal{S}}}}}}}}=1\) moments. Specifically, its generalized existence can extend to unexpectedly small values of the interaction U~W, with W being the kinetic energy half-bandwidth.
Results
From two-orbital to Heisenberg model
We employ the zero-temperature density matrix renormalization group method4,22,23 (DMRG) to solve the 1D two-orbital Hubbard model (2oH) at half electronic filling (n = 2, i.e., two particles per site; one particle per orbital) and zero total magnetization \({S}_{{{{{{{{\rm{tot}}}}}}}}}^{z}=0\), relevant for Ni+2-based compounds. The 2oH is given by
Here: ℓ = 1, …, L represents the site index, γ = 0, 1 the orbital index, and σ = ↑, ↓ the spin index. This model is generic and it can be derived from matrix elements of the fundamental 1/r Coulomb repulsion on the basis of atomic orbitals, following the Kanamori procedure24. Although challenging, the above model contains the most generic many-body interactions found in multi-orbital systems: U and \({U}^{{\prime} }=U-5{J}_{{{{{{{{\rm{H}}}}}}}}}/2\) represent the intra- and inter-orbital electron-electron Coulomb repulsion, respectively, while JH accounts for the Hund rule, i.e., ferromagnetic exchange between spins at different orbitals; finally, \({P}_{0\ell }^{{{{\dagger}}} }{P}_{1\ell }\) with \({P}_{\gamma \ell }^{{{{\dagger}}} }={c}_{\gamma \uparrow \ell }^{{{{\dagger}}} }{c}_{\gamma \downarrow \ell }^{{{{\dagger}}} }\) represents the doublon-holon exchange. We will focus on degenerate bands with t00 = t11 = t = 0.5 [eV], t01 = t10 = 0, and in the following, we will use the half-bandwidth of kinetic energy as a unit, i.e., W = 2t = 1[eV]. While we will mostly consider the JH/U = 0.25 case, other values of the Hund exchange will also be investigated (see Supplementary Note 1). Note that the Sγℓ operators represent the spin-1/2 of electrons and that the above model preserves the SU(2) symmetry provided that \({U}^{{\prime} }=U-5{J}_{{{{{{{{\rm{H}}}}}}}}}/2\) and the doublon-holon exchange term is included25.
The standard probe of spin excitations is the momentum q and energy ω resolved dynamical spin structure factor S(q, ω), which is the Fourier transform of the non-local Green’s functions \({\langle \langle {{{{{{{{\bf{T}}}}}}}}}_{\ell }{{{{{{{{\bf{T}}}}}}}}}_{{\ell }^{{\prime} }}\rangle \rangle }_{\omega }\) (see Methods), with Tℓ as the total on-site spin Tℓ = ∑γSγℓ. The calculated S(q, ω) is routinely compared to inelastic neutron scattering (INS) or resonant inelastic X-ray scattering data, also in the case of \({{{{{{{\mathcal{S}}}}}}}}=1\) compounds. With increasing strength of interaction U, the 2oH spectrum (Fig. 1A) develops from a continuum of \({{{{{{{\mathcal{S}}}}}}}}=1/2\)-like excitations at U = 026,27 to the well-established magnon-like excitations28,29 of the \({{{{{{{\mathcal{S}}}}}}}}=1\) Heisenberg model at large U >> W. Renormalizing the frequency by the effective spin exchange, J = 2t2/(U + JH)20, yields qualitative agreement between the models at U/W ≃ 4. As expected, for such value of interaction U, the average total magnetic moment is almost maximized \({{{{{{{{\bf{T}}}}}}}}}^{2}={{{{{{{\mathcal{S}}}}}}}}({{{{{{{\mathcal{S}}}}}}}}+1)\simeq 2\) and the charge fluctuations δn = 〈n2〉 − 〈n〉2 are vanishing (Fig. 1B).
A Evolution of the spin excitations, as measured by the dynamical spin structure factor S(q, ω), with increasing strength of electron-electron interaction U for a system of L = 80 sites and JH/U = 0.25. The frequency scale was renormalized by the effective spin exchange J = 2t2/(U + JH). White lines in the left top panel represent the two-spinon continuum of the U = 0 Hubbard model, while the line in the bottom right panel depicts the magnon dispersion of the \({{{{{{{\mathcal{S}}}}}}}}=1\) Heisenberg model. In the open boundary systems considered here, the zero-energy Haldane edge states are expected at ω = 0. However, the large intensity of this modes can blur the spectra’s details. To avoid this issue, we have evaluated the spin excitations only in the bulk of the system (see Methods). B Total magnetic moment per site \({{{{{{{{\bf{T}}}}}}}}}^{2}={{{{{{{\mathcal{S}}}}}}}}({{{{{{{\mathcal{S}}}}}}}}+1)\) and charge fluctuations δn vs. interaction strength U. Note T2 starts at 0.75 for non-interacting U = 0 electrons.
The artificial broadening needed in the dynamical-DMRG method30,31, which physically mimics the influence of disorder, finite temperature, and measurements-device resolution, prevents us from extracting accurate values of the magnon gap directly from the spectrum of S(q, ω). Instead, the gaps can be obtained from the difference in ground-state energies of two magnetization sectors with different \({S}_{{{{{{{{\rm{tot}}}}}}}}}^{z}\) (with ΔS being the magnetization difference) at fixed electron density n. It is important to note that when working on a finite-size lattice, the ΔS = 1 excitations of 2oH are always gapless when extrapolated to the thermodynamic limit L→∞ (Fig. 2A). For U→0, the gapless spin excitations manifest the physics of non-interacting fermions, with an inverse-linear dependence on the system size \({{{{{{{\mathcal{O}}}}}}}}(1/L)\) of the gap according to Lieb-Schultz-Mattis theorem32. In the opposite limit of the \({{{{{{{\mathcal{S}}}}}}}}=1\) Heisenberg model at U >> W, the gapless ΔS = 1 excitation originates in a four-fold degenerate ground-state (two-fold in the \({S}_{{{{{{{{\rm{tot}}}}}}}}}^{z}=0\) sector) with two \({{{{{{{\mathcal{S}}}}}}}}=1/2\) edge states29,33. For a finite L, these edge states are split due to their overlap34, which decays exponentially with increasing system size. See large U data in Fig. 2A. Thus, within the open boundary condition system with edge states, the true magnon gap ΔS can be extracted from ΔS = 2 excitations4,35,36. Still, for U→0, the magnons are gapless with \({{{{{{{\mathcal{O}}}}}}}}(1/L)\) size dependence of the gap.
A Finite-size scaling of ΔS = 1 (left panel) and ΔS = 2 (right panel) spin excitations for JH/U = 0.25 and L ∈ {10, 20, …, 100}. Line color code represents the value of the interaction U. B U dependence of the extrapolated magnon gaps in units of W. Top to bottom: JH/U = 0.05, 0.10, …, 0.40. Inset depicts the same data but renormalized by the effective spin exchange J. The saturation to the Haldane gap ΔS/J ≃ 0.41 is clearly visible (red dashed line).
On the other hand, increasing the strength of U changes the nature of the scaling. At large U, we observe a saturation to a finite value in the L→∞ limit. This saturation is to the well-known Haldane gap ΔS/J ≃ 0.41 for U ≳ 4, confirming the accuracy of our procedure. Crucially, the finite-size scaling varying U reveals a novel critical (Hund JH dependent, see Supplementary Note 1) value of the interaction Uc = Uc(JH) where the gap opens (Fig. 2B). For example, for JH/U = 0.25, the magnons become gapped at Uc/W ≃ 0.9.
A remarkable result of our computational investigations is that the magnon gap ΔS opens at a value of the interaction U = Uc for which the overall spin excitations are far from the \({{{{{{{\mathcal{S}}}}}}}}=1\) Heisenberg model magnon-like spectrum. In fact, for U/W ~ 1, the spin excitations still visually resemble the non-interacting continuum of \({{{{{{{\mathcal{S}}}}}}}}=1/2\)-like moments, though with redistributed spectral weights (Fig. 1A).
Zero-energy edge modes
As mentioned, the exponential in the system size dependence of the ΔS = 1 gaps (Fig. 2A) indicates the presence of edge states. To quantify them, we analyze (Fig. 3) the zero-frequency ω = 0 dynamical spin-spin correlation functions between the edge and the bulk of the system, i.e., the non-local Green’s functions \({(-1)}^{\ell }{\langle \langle {T}_{1}^{z}{T}_{\ell }^{z}\rangle \rangle }_{\omega=0}\), capable of capturing zero-energy modes. Here, the (−1)ℓ prefactor removes the AFM staggered pattern. At small U, the spin correlations decay exponentially with distance ℓ (Fig. 3A), as expected for a paramagnetic region. Increasing U leads to a slower decay, although still exponential. At U ≃ Uc, the ω = 0 correlations are approximately site-independent. Note that this does not originate in any long-range order because the value of spin correlations decays with the system size (see Fig. 3B and the discussion below).
A Distance ℓ dependence of the zero-frequency ω = 0 dynamical spin-spin correlations \({(-1)}^{\ell }{\langle \langle {T}_{1}^{z}{T}_{\ell }^{z}\rangle \rangle }_{\omega=0}\) for various values of interaction U (denoted by color code). The results are normalized by the ℓ = 1 value of the correlation function. B Edge-edge \(| {\langle \langle {T}_{1}^{z}{T}_{L}^{z}\rangle \rangle }_{\omega=0}|\) (left panel) and edge-bulk \(| {\langle \langle {T}_{1}^{z}{T}_{L/2}^{z}\rangle \rangle }_{\omega=0}|\) (right panel) dynamical spin correlations vs. interaction strength U. At Uc, we observe the appearance of finite edge-edge correlations, saturating at U >> W to the value given by the \({{{{{{{\mathcal{S}}}}}}}}=1\) Heisenberg model (red dashed line). C Extracted, Eq. (2), edge correlation length ξe vs. interaction strength U. Insets depict examples of spin-spin correlations for two system sizes (L = 60 and L = 80, together with fitted exponentials \(\propto \exp (-\ell /{\xi }_{{{{{{{{\rm{e}}}}}}}}})\). All data are calculated at JH/U = 0.25. D Interaction U/W—Hund exchange JH/U phase diagram on the basis of inverse edge correlation length 1/ξe for L = 60. White points depict Uc obtained from the spin gap ΔS opening, while the white line represents JH = t2/U.
Interestingly, a characteristic V-shape of correlations develops above Uc. This is the manifestation of the edge states present at the (open) boundaries of the system5. In the \({{{{{{{\mathcal{S}}}}}}}}=1\) Heisenberg model, the zero-energy modes are not localized at a single edge site but decay exponentially with the correlation length ξS ≃ 6.1. This leads to finite (exponentially suppressed) AFM spin correlations up to half ℓ ~ L/2 of the system. The increase of \({\langle \langle {T}_{1}^{z}{T}_{\ell }^{z}\rangle \rangle }_{\omega=0}\) for ℓ > L/2 is exactly a consequence of correlated edge states: the edge-edge correlations are finite, while the edge-bulk correlations are vanishing.
To assess the development of spin-spin correlations in the 2oH system, especially the correlated edge states, we monitor the behavior of the edge-edge and edge-bulk (Fig. 3B) values vs. the interaction U. The edge-edge correlations acquires a non-zero value at Uc (see Supplementary Note 2) and displays small finite-size effects. On the other hand, the finite value of the edge-bulk correlations decreases with system size L and vanishes in the L→∞ limit.
Furthermore, we can extract the interaction dependence of the edge correlation length (Fig. 3C) by fitting ℓ < L/2 data of the 2oH to
For U/W > 4 we reproduce ξe ≃ ξS ≃ 6.1, consistent with dynamical spin structure factor S(q, ω) investigations of the \({{{{{{{\mathcal{S}}}}}}}}=1\) Heisenberg model physics. Interestingly, the extracted ξ diverges at Uc. This divergence reflects the site-independent correlations in this region (see Supplementary Note 2).
Topological phase transition
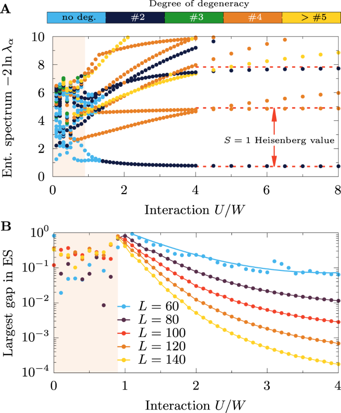
The opening at Uc of a spin gap ΔS, the emergence of edge-edge correlations \({\langle \langle {T}_{1}^{z}{T}_{L}^{z}\rangle \rangle }_{\omega=0}\), and the diverging edge correlation length ξe all consistently indicate the existence of an interaction-induced topological phase transition between topologically trivial and nontrivial regions, with the emergence of the Haldane edge states at Uc. The topological phases can be identified by investigating the entanglement spectrum of the system37,38, i.e., the Schmidt coefficients λα of left/right (\(\left|{{{{{{{\rm{L}}}}}}}}\right\rangle /\left|{{{{{{{\rm{R}}}}}}}}\right\rangle\)) decomposed ground-state \(\left|{{{{{{{\rm{gs}}}}}}}}\right\rangle={\sum }_{\alpha }{\lambda }_{\alpha }{\left|{{{{{{{\rm{L}}}}}}}}\right\rangle }_{\alpha }{\left|{{{{{{{\rm{R}}}}}}}}\right\rangle }_{\alpha }\), with \({\lambda }_{\alpha }^{2}\) being the eigenvalues of the reduced density matrix of the partition. In the topologically nontrivial region, all λα’s are evenly degenerate. Consequently, the entanglement entropy \({S}_{{{{{{{{\rm{vN}}}}}}}}}=-{\sum }_{\alpha }{\lambda }_{\alpha }^{2}\ln {\lambda }_{\alpha }^{2}\) cannot drop below the \(\ln 2\) value for any cut of the system, consistent with the presence of entangled \({{{{{{{\mathcal{S}}}}}}}}=1/2\) edge states. The analysis of the 2oH model indicates that this condition is fulfilled for U ≳ Uc (Fig. 4A). Detailed investigation of the largest gap (see Supplementary Note 3) in the entanglement spectrum (Fig. 4B) shows that the trivial region U < Uc does not have any apparent structure in the λα eigenvalues. On the other hand, the largest gap decays exponentially with system size for any U > Uc (though, with slower decay in the proximity of Uc) and vanishes in the thermodynamic limit L→∞.
A Interaction U dependence of the entanglement spectrum \(-2\ln {\lambda }_{\alpha }\), obtained at JH/U = 0.25 using a L = 140 site system partitioned in half. Color code depicts the number of occurrences of a given eigenvalue (number of degeneracies). The values for the \({{{{{{{\mathcal{S}}}}}}}}=1\) Heisenberg model are also displayed (red dashed lines). B Analysis of the largest gap in the entanglement spectrum for various system sizes L = 60, 80, 100, 120, 140 (see also Supplementary Note 3).
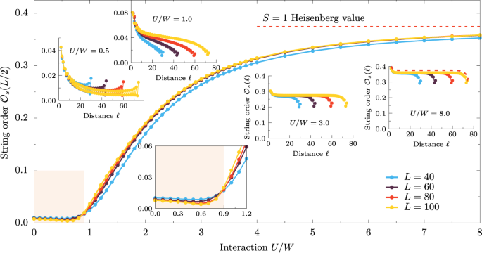
In the context of the \({{{{{{{\mathcal{S}}}}}}}}=1\) Heisenberg model, the topological Haldane phase can also be detected by studying the non-local string order parameter33,39,40
which for θ = π and \({A}_{\ell }={S}_{\ell }^{z}\) measures the breaking of the discrete Z2 × Z2 hidden symmetry (i.e., the dihedral group of π rotations). It is important to note that the phase θ = π was obtained via the valence bond state structure of the AKLT state. For a generic spin-\({{{{{{{\mathcal{S}}}}}}}}\) Heisenberg model, the string order phase becomes spin-dependent \(\theta=\theta ({{{{{{{\mathcal{S}}}}}}}})\), i.e., it has to reflect the properties of a given VBS ground-state41,42,43,44.
In the case of the 2oH model, for U > Uc, the π-string order \({{{{{{{{\mathcal{O}}}}}}}}}_{s}\) does not decay (Fig. 5), as expected in the \({{{{{{{\mathcal{S}}}}}}}}=1\) Haldane phase. However, it is important to note that the total spin operator of 2oH, \({A}_{\ell }={T}_{\ell }^{z}\), involves not only \({{{{{{{\mathcal{S}}}}}}}}=1\) but also \({{{{{{{\mathcal{S}}}}}}}}=1/2\) degrees of freedom and that for U ≃ Uc the magnetic moment deviates strongly from \({{{{{{{\mathcal{S}}}}}}}}=1\) (Fig. 1B). Nevertheless, we observe a finite string order all the way down to U = Uc ~ W, showing that this type of order can exist in a fermionic system as well, even without well-defined moments. Interestingly, consistent with the topological phase transition at Uc, for U < Uc the string order vanishes, and the system size dependence changes from weakly increasing with L (for U > Uc) to weakly decreasing with L (for U < Uc). The latter is consistent with the slow scaling of \({{{{{{{{\mathcal{O}}}}}}}}}_{s}\) for \({{{{{{{\mathcal{S}}}}}}}}=1/2\) moments45.
Interaction U dependence of the string order parameter \({{{{{{{{\mathcal{O}}}}}}}}}_{{{{{{{{\rm{c}}}}}}}}}(\ell )\) with θ = π phase at ℓ = L/2 distance in bulk (m = L/4). Upper insets depicts \({{{{{{{{\mathcal{O}}}}}}}}}_{{{{{{{{\rm{c}}}}}}}}}(\ell )\) vs. distance ℓ for U = 0.5, 1.0, 3.0, 8.0 (left to right). The lower inset depicts a zoom to the proximity of the phase transition Uc, with the shaded region depicting the trivial phase. All data are evaluated at JH/U = 0.25 using L = 40, 60, 80, L = 100 site systems.
Discussion
The non-local character of the topological states allows for phase transitions even in 1D (rare phenomena due to the Mermin-Wagner theorem). Our numerical results indicate that the correlated one-dimensional two-orbital Hubbard model has a sharp transition at Uc ~ W between a topologically trivial region and a generalized fermionic Haldane phase with edge states. Surprisingly, the magnetic moments are not yet fully developed in a vast region of the topological phase (Fig. 1B), and thus the \({{{{{{{\mathcal{S}}}}}}}}=1\) Heisenberg model-like description cannot be applied directly, and it is not necessary to describe the physics of the fermionic generalized Haldane phase presented here. Actually, our analysis shows that the gapped ground-state with finite string order survives down to \(U \sim W \sim {{{{{{{\mathcal{O}}}}}}}}(t)\). Consequently, this result indicates that a VBS-like state, similar to the AKLT state, could be formulated46 even with mobile fermions. It seems true despite the fact that the length scale of spin-spin correlations indicates the spatially extended character of the ground-state, although with moments small in value. Our detailed interaction U and Hund exchange JH investigation (Fig. 3D) indicates that the SU(2) symmetric system undergoes the transition at JH ≃ t2/U, and consequently a finite U ~ W is necessary for the onset of the non-topological–topological phase transition in real materials.
Furthermore, our results indicate that the details of the band structure, i.e., of the hopping matrix \({t}_{\gamma {\gamma }^{{\prime} }}\), are not crucial for our findings. Up to now, we have considered degenerate bands, i.e., t00 = t11 = 0.5 [eV] and t01 = t10 = 0. In Fig. 6 we present additional results of edge correlation length ξe (discussed in Fig. 3) and string order parameter \({{{{{{{{\mathcal{O}}}}}}}}}_{s}(L/2)\) (discussed in Fig. 5) for non-degenerate bands (t00 = 0.5 [eV], t11 = 0.3 [eV], t01 = t10 = 0, with W = 1 [eV]) and strongly hybridized orbitals (t00 = 0.5 [eV], t11 = 0.3 [eV], t01 = t10 = 0.5 [eV], with W = 1.8 [eV]). For all considered cases, we find the transition (identified by diverging ξe and the onset of non-zero \({{{{{{{{\mathcal{O}}}}}}}}}_{s}\)) to the Haldane phase at a finite value of interaction U. Consequently, our results are relevant for various low-dimensional S = 1 compounds, irrespective of kinetic energy details, i.e., for recently investigated platforms such as the van der Waals oxide dichlorides MOX2 (M=V, Ta, Nb, Ru, Os, and X = halogen element)47 or metal-organic structures48. Another promising candidate to test the prediction of our work is the van der Waals quasi-1D material OsCl449.
Interaction U/W dependence of A edge correlation length ξe and B string order parameter \({{{{{{{{\mathcal{O}}}}}}}}}_{s}(L/2)\) for degenerate, non-degenerate bands, and also for the strongly hybridized case (see text for details). Main panels depict L = 60 and JH/U = 0.25 data, while insets depict finite-size scaling of strongly hybridized cases.
Also, one could expect that for JH >> U (i.e., when the system always has well-developed on-site triplets formed by electrons), even small interaction will induce the Haldane phase. However, such region of parameter space is unrealistic because for JH/U > 0.4 the inter-orbital interaction \({U}^{{\prime} }=U-5{J}_{{{{{{{{\rm{H}}}}}}}}}/2\) becomes attractive \({U}^{{\prime} } \, < \, 0\). It is therefore evident that setups with coupled \({{{{{{{\mathcal{S}}}}}}}}=1/2\) triplets represent, from the electron system perspective, broken spin rotation with \({U}^{{\prime} }\ne U-5{J}_{{{{{{{{\rm{H}}}}}}}}}/2\). Previous analysis of the Haldane phase in such setups indicates its fragility with respect to charge fluctuations16,17,18. Our results indicate that within a two-orbital setup, the Haldane phase is robust down to rather small values of the interaction U, in a regime where the magnetic moments are barely developed. Thus, our results are generalizing the ideas of Haldane for S = 1 spin Heisenberg models into unexplored territory involving delocalized electrons. The structure of Haldane edge states was previously investigated, e.g., via INS experiments10. However, our results indicate that the energy gap separating the edge modes from the magnon-like excitations can be small (even exponentially small at the transtion U ~ Uc, see Fig. 2B). Similarly, the intensity of such modes is diminishing close to the transition (see Fig. 3B). As a consequence, neutron scattering (as a global probe of the sample) would not necessarily be the best tool. An alternative would be local probes, e.g., nuclear magnetic resonance experiments50, exploiting the large edge correlation length ξe >> ξS (quantified by the decay of staggered magnetization at the edges of the system).
Methods
DMRG method
The Hamiltonians and observables discussed here were studied using the zero-temperature DMRG method4,23 within the single center site approach22, where the dynamical correlation functions are evaluated via the dynamical-DMRG30,31, i.e., calculating spectral functions directly in frequency space with the correction-vector method using the Krylov decomposition31. We have kept up to M = 3072 states, performed at least 15 sweeps, and used A = 0.001 vector-offset in the single-site DMRG approach, allowing to accurately simulate system sizes up to L ≲ 140 sites of the two-orbital Hubbard model. Consequently, the error bars on the numerical results are smaller than the data points.
Dynamical spin structure factor
The dynamical spin structure factors are evaluated as
where q = nπ/(L + 1), n = 0, …, L, and non-local Green’s function is given by
Here \(\left|{{{{{{{\rm{gs}}}}}}}}\right\rangle\) represents the ground-state with energy ϵ0. The S(q, ω) spectra presented in Fig. 1A of the main text were calculated with the frequency resolution δω/J ≃ 0.03 and broadening η = 2δω [note the U dependence of the spin exchange J = 2t2/(U + JH)].
Largest gap in the entanglement spectrum
In order to find the largest gap in the entanglement spectrum, first we have calculated consecutive gaps \({\delta }_{n}=\min (\ln {\lambda }_{n}-\ln {\lambda }_{n-1};\ln {\lambda }_{n+1}-\ln {\lambda }_{n})\). The largest gap is then obtained from \(\max ({\delta }_{1},{\delta }_{2},\ldots \,)\).
Data availability
The data generated in this study have been deposited in the Zenodo database under the accession code https://doi.org/10.5281/zenodo.7854617.
Code availability
We have used the DMRG++ computer program developed at Oak Ridge National Laboratory. The code that supports this study is available at the Oak Ridge National Laboratory repository https://code.ornl.gov/gonzalo_3/dmrgpp. The input scripts for the DMRG++ package to reproduce our results can be found at https://bitbucket.org/herbrychjacek/corrwro/ and on the DMRG++ webpage.
References
Haldane, F. D. M. Nonlinear field theory of large-spin heisenberg antiferromagnets: semiclassically quantized solitons of the one-dimensional easy-axis Néel state. Phys. Rev. Lett. 50, 1153 (1983).
Haldane, F. D. M. Continuum dynamics of the 1-D Heisenberg antiferromagnet: identification with the O(3) nonlinear sigma model. Phys. Lett. A 93, 464 (1983).
Affleck, I., Kennedy, T., Lieb, E. H. & Tasaki, H. Rigorous results on valence-bond ground states in antiferromagnets. Phys. Rev. Lett. 59, 799 (1987).
White, S. R. Density matrix formulation for quantum renormalization groups. Phys. Rev. Lett. 69, 2863 (1992).
White, S. R. & Huse, D. A. Numerical renormalization-group study of low-lying eigenstates of the antiferromagnetic S = 1 Heisenberg chain. Phys. Rev. B 48, 3844 (1993).
Jolicoeur, T. & Golinelli, O. Physics of integer-spin antiferromagnetic chains: Haldane gaps and edge states. C. R. Chimie 22, 445 (2019).
Kim, E. H., Fáth, G., Sólyom, J. & Scalapino, D. J. Phase transitions between topologically distinct gapped phases in isotropic spin ladders. Phys. Rev. B 62, 14965 (2000).
Zaliznyak, I. A., Lee, S.-H. & Petrov, S. V. Continuum in the spin-excitation spectrum of a haldane chain observed by neutron scattering in CsNiCl3. Phys. Rev. Lett. 87, 017202 (2001).
Kenzelmann, M. et al. Properties of Haldane excitations and multiparticle states in the antiferromagnetic spin-1 chain compound CsNiCl3. Phys. Rev. B 66, 024407 (2002).
Kenzelmann, M. et al. Structure of end states for a Haldane spin chain. Phys. Rev. Lett. 90, 087202 (2003).
Sompet, P. et al. Realizing the symmetry-protected Haldane phase in Fermi-Hubbard ladders. Nature 606, 484 (2022).
Nag, A. et al. Quadrupolar magnetic excitations in an isotropic spin-1 antiferromagnet. Nat. Commun. 13, 2327 (2022).
Jelínek, P. Quantum spin chains go organic. Nat. Chem. 15, 12 (2023).
Dalla Torre, E. G., Berg, E. & Altman, E. Hidden order in 1d Bose insulators. Phys. Rev. Lett. 97, 260401 (2006).
Berg, E., Dalla Torre, E. G., Giamarchi, T. & Altman, E. Rise and fall of hidden string order of lattice bosons. Phys. Rev. B 77, 245119 (2008).
Anfuso, F. & Rosch, A. Fragility of string orders. Phys. Rev. B 76, 085124 (2007).
Anfuso, F. & Rosch, A. String order and adiabatic continuity of Haldane chains and band insulators. Phys. Rev. B 75, 144420 (2007).
Moudgalya, S. & Pollmann, F. Fragility of symmetry-protected topological order on a Hubbard ladder. Phys. Rev. B 91, 155128 (2015).
Maximova, O. V., Streltsov, S. V. & Vasiliev, A. N. Long range ordered, dimerized, large-D and Haldane phases in spin 1 chain compounds. Crit. Rev. Solid State Mater. Sci. 46, 371 (2021).
Onishi, H. & Hotta, T. Orbital-controlled magnetic transition between gapful and gapless phases in the Haldane system with t2g-orbital degeneracy. Phys. Rev. B 70, 100402 (2004).
de’ Medici, L., Mravlje, J. & Georges, A. Janus-faced influence of Hund’s Rule coupling in strongly correlated materials. Phys. Rev. Lett. 107, 256401 (2011).
White, S. R. Density matrix renormalization group algorithms with a single center site. Phys. Rev. B 72, 180403 (2005).
Schollwöck, U. The density-matrix renormalization group. Rev. Mod. Phys. 77, 259 (2005).
Dagotto, E., Hotta, T. & Moreo, A. Colossal magnetoresistant materials: the key role of phase separation. Phys. Rep. 344, 1 (2001).
Georges, A., de’ Medici, L. & Mravlje, J. Strong Correlations from Hund’s Coupling. Annu. Rev. Condens. Matter Phys. 4, 137 (2013).
Muller, G., Thomas, H., Puga, M. W. & Beck, H. Quantum spin dynamics of the one-dimensional planar antiferromagnet. J. Phys. C: Solid State Phys 14, 3399 (1981).
Laurell, P. et al. Magnetic excitations, nonclassicality, and quantum wake spin dynamics in the Hubbard chain. Phys. Rev. B 106, 085110 (2022).
White, S. R. & Affleck, I. Spectral function for the S = 1 Heisenberg antiferromagetic chain. Phys. Rev. B 77, 134437 (2008).
Becker, J. et al. Finite-temperature dynamics and thermal intraband magnon scattering in Haldane spin-one chains. Phys. Rev. B 96, 060403 (2017).
Jeckelmann, E. Dynamical density-matrix renormalization-group method. Phys. Rev. B 66, 045114 (2002).
Nocera, A. & Alvarez, G. Spectral functions with the density matrix renormalization group: Krylov-space approach for correction vectors. Phys. Rev. E 94, 053308 (2016).
Affleck, I. & Lieb, E. H. A proof of part of Haldane’s conjecture on spin chains. Lett. Math. Phys. 12, 57 (1986).
Kennedy, T. & Tasaki, H. Hidden symmetry breaking and the Haldane phase in S = 1 quantum spin chains. Phys. Rev. B 147, 431 (1992).
Fraxanet, J. et al. Topological quantum critical points in the extended Bose-Hubbard model. Phys. Rev. Lett. 128, 043402 (2022).
Qin, S., Ng, T.-K. & Su, Z.-B. Edge states in open antiferromagnetic Heisenberg chains. Phys. Rev. B 52, 12844 (1995).
Yamamoto, S. & Miyashita, S. Low-lying excitations in the S = 1 antiferromagnetic Heisenberg chain. Phys. Lett. A 235, 545 (1997).
Li, H. & Haldane, F. D. M. Entanglement spectrum as a generalization of entanglement entropy: identification of topological order in non-abelian fractional quantum hall effect states. Phys. Rev. Lett. 101, 010504 (2008).
Pollmann, F., Turner, A. M., Berg, E. & Oshikawa, M. Entanglement spectrum of a topological phase in one dimension. Phys. Rev. B 81, 064439 (2010).
den Nijs, M. & Rommelse, K. Preroughening transitions in crystal surfaces and valence-bond phases in quantum spin chains. Phys. Rev. B 40, 4709 (1989).
Kennedy, T. & Tasaki, H. Hidden Z2 × Z2 symmetry breaking in Haldane-gap antiferromagnets. Phys. Rev. B 45, 304 (1992).
Oshikawa, M. Hidden Z2 × Z2 symmetry in quantum spin chains with arbitrary integer spin. J. Phys.: Condens. Matter 4, 7469 (1992).
Totsuka, K. & Suzuki, M. Matrix formalism for the VBS-type models and hidden order. J. Phys.: Condens. Matter 7, 1639 (1995).
Qin, S., Lou, J., Sun, L. & Chen, C. Nonlocal topological order in antiferromagnetic Heisenberg chains. Phys. Rev. Lett. 90, 067202 (2003).
Pollmann, F., Berg, E., Turner, A. M. & Oshikawa, M. Symmetry protection of topological phases in one-dimensional quantum spin systems. Phys. Rev. B 85, 075125 (2012).
Lou, J., Qin, S. & Chen, C. String order in half-integer-spin antiferromagnetic Heisenberg chains. Phys. Rev. Lett. 91, 087204 (2003).
Patel, N. D., Kaushal, N., Nocera, A., Alvarez, G. & Dagotto, E. Emergence of superconductivity in doped multiorbital Hubbard chains. npj Quantum Mater. 5, 27 (2020).
Zhang, Y. et al. Strongly anisotropic electronic and magnetic structures in oxide dichlorides RuOCl2 and OsOCl2. Phys. Rev. B 105, 174410 (2022).
Tin, P. et al. Haldane topological spin-1 chains in a planar metal-organic framework. Nat. Commun. 14, 5454 (2023).
Zhang, Y., Lin, L.-F., Moreo, A. & Dagotto, E. Electronic and magnetic properties of quasi-one-dimensional osmium halide OsCl4. Appl. Phys. Lett. 120, 023101 (2022).
J.-P., Renard, L.-P., Regnault, and M., Verdaguer Haldane quantum spin chains. In: Magnetism: molecules to materials, Chap. 2, p. 49 (John Wiley & Sons, Ltd, 2004).
Acknowledgements
M.M. acknowledges support from the National Science Centre (NCN), Poland, via project 2020/37/B/ST3/00020. M.Ś. and J.H. acknowledge grant support from the National Science Centre (NCN), Poland, via project 2019/35/B/ST3/01207. A.N. acknowledges support from the Max Planck-UBC-UTokyo Center for Quantum Materials and Canada First Research Excellence Fund (CFREF) Quantum Materials and Future Technologies Program of the Stewart Blusson Quantum Matter Institute (SBQMI), and the Natural Sciences and Engineering Research Council of Canada (NSERC). G.A. was partly supported by the Scientific Discovery through Advanced Computing (SciDAC) program funded by the U.S. DOE, Office of Science, Advanced Scientific Computing Research and BES, Division of Materials Sciences and Engineering. E.D. was supported by the U.S. Department of Energy, Office of Science, Basic Energy Sciences, Materials Sciences and Engineering Division. Part of the calculations have been carried out using resources provided by Wroclaw Centre for Networking and Supercomputing.
Author information
Authors and Affiliations
Contributions
J.H. conceived the study. A.J., M.M., E.D., and J.H. planned the project. A.J., M.Ś., and J.H. performed the numerical experiments and analyzed the data. A.N. and G.A. developed and tested the simulation codes. M.M., E.D., and J.H. wrote the manuscript. All authors provided comments on the publication.
Corresponding author
Ethics declarations
Competing interests
The authors declare no competing interests.
Peer review
Peer review information
Nature Communications thanks the anonymous reviewers for their contribution to the peer review of this work. A peer review file is available.
Additional information
Publisher’s note Springer Nature remains neutral with regard to jurisdictional claims in published maps and institutional affiliations.
Supplementary information
Rights and permissions
Open Access This article is licensed under a Creative Commons Attribution 4.0 International License, which permits use, sharing, adaptation, distribution and reproduction in any medium or format, as long as you give appropriate credit to the original author(s) and the source, provide a link to the Creative Commons licence, and indicate if changes were made. The images or other third party material in this article are included in the article’s Creative Commons licence, unless indicated otherwise in a credit line to the material. If material is not included in the article’s Creative Commons licence and your intended use is not permitted by statutory regulation or exceeds the permitted use, you will need to obtain permission directly from the copyright holder. To view a copy of this licence, visit http://creativecommons.org/licenses/by/4.0/.
About this article
Cite this article
Jażdżewska, A., Mierzejewski, M., Środa, M. et al. Transition to the Haldane phase driven by electron-electron correlations. Nat Commun 14, 8524 (2023). https://doi.org/10.1038/s41467-023-44135-9
Received:
Accepted:
Published:
Version of record:
DOI: https://doi.org/10.1038/s41467-023-44135-9








