Abstract
Applications in photodetection, photochemistry, and active metamaterials and metasurfaces require fundamental understanding of ultrafast nonthermal and thermal electron processes in metallic nanosystems. Significant progress has been recently achieved in synthesis and investigation of low-loss monocrystalline gold, opening up opportunities for its use in ultrathin nanophotonic architectures. Here, we reveal fundamental differences in hot-electron thermalisation dynamics between monocrystalline and polycrystalline ultrathin (down to 10 nm thickness) gold films. Comparison of weak and strong excitation regimes showcases a counterintuitive unique interplay between thermalised and non-thermalised electron dynamics in mesoscopic gold with the important influence of the X-point interband transitions on the intraband electron relaxation. We also experimentally demonstrate the effect of hot-electron transfer into a substrate and the substrate thermal properties on electron-electron and electron-phonon scattering in ultrathin films. The hot-electron injection efficiency from monocrystalline gold into TiO2, approaching 9% is measured, close to the theoretical limit. These experimental and modelling results reveal the important role of crystallinity and interfaces on the microscopic electronic processes important in numerous applications.
Similar content being viewed by others
Introduction
Monocrystalline (MC) metals have recently emerged as attractive materials for a wide range of plasmonic applications, from sensing and imaging to information processing and energy harvesting1,2,3,4. In particular, because of the highly ordered crystal structure and lack of grain boundaries, they exhibit unique optical properties and allow for long-range plasmon coherence and reduced optical losses5,6,7,8. MC metals have in fact been shown to result in higher resonance quality factors, larger surface plasmon polariton propagation length, and superior electric field confinement compared to their polycrystalline (PC) counterparts5,9,10. Concurrently, advancements in the synthesis of MC metallic microflakes (MFs), in particular Au MFs, towards larger lateral sizes and higher aspect ratios, have enabled the study and exploitation of these outstanding physical properties in ultrathin (sub 15 nm) films, which are difficult to realise with PC metals2,11.
Plasmonic-based charge transfer devices, such as photodetectors and photoelectrodes12,13,14, could uniquely benefit from ultrathin MC metals. These systems indeed rely on the injection of photoexcited energetic charges (hot electrons and/or holes) from the metal into an adjacent semiconductor or adsorbed molecules15,16,17. Therefore, physical dimensions comparable to hot-carrier mean-free paths (sub 20 nm) and reduced scattering losses could favour ballistic hot-carrier transfer, significantly improving device performance. Additionally, well-defined crystal facets in MC metals would help clarify the interplay of catalytic properties and hot-carrier injection in plasmonic photoelectrodes18. In order to design and optimize the performance of hot-carrier devices, a detailed microscopic understanding of the carrier properties and thermalization dynamics in the material is essential.
Hot carriers initially generated in metal by light absorption have non-thermal energy distribution (which cannot be described by the Fermi-Dirac distribution) with energies that depend on the incident photon energy and the material band structure19. They are generated via intraband and interband absorption described by the dielectric function of the metal, ϵ = ϵ1 + iϵ2, and augmented by geometric effects in nanoscale structures20. Non-thermal carriers subsequently undergo a thermalization process that involves carrier-carrier scattering (typical carrier thermalization time τth of few hundreds of femtoseconds) and carrier-phonon relaxation (τe−ph of few picoseconds)21,22,23, ultimately dissipating the photon energy into lattice heating. Ultrafast transient absorption spectroscopy studies of polycrystalline metal films and monocrystalline (colloidal) nanoparticles have shown that the substrate thermal conductivity as well as hot-carrier extraction strongly alter the overall thermalization dynamics24,25,26,27,28,29,30. Interestingly, nanoparticle-based studies have recently shown that the size and metal crystallinity can alter the electron-phonon coupling time31,32,33,34. Yet, because of limitations in the temporal resolution, there remains a lack of understanding of how the crystallinity affects the early thermalization stages (sub 100 fs), where electron-electron scattering is dominant. No study to date has investigated the hot-carrier dynamics in MC ultrathin films and transfer to semiconductors, both of which are essential for applications.
In this work, we study hot-carrier generation, relaxation, and transfer dynamics in ultrathin MC Au microflakes under different excitation conditions. We perform transient reflectance spectroscopy of these films with near-IR 8-fs pulses, providing insights into the hot-carrier thermalization dynamics on ultrashort timescales. In particular, we observe a decrease in electron scattering rate in MC gold, which suggests that grain boundaries may play a role in this process. Our results also demonstrate several features of hot-electron dynamics in the thermalized regime, such as the dynamic renormalization of the interband absorption peak at the X high symmetry point in the Brillouin zone as well as a strong contribution of hot-electron scattering on polar phonons in the substrate, caused by the electron spill-out and manifested by the dependence of the relaxation rate on the thermal conductivity of the substrate and thickness of gold crystals. The latter behaviour is reversed for stronger optical excitation due to the increasingly higher energy stored in the hot-electron gas. Finally, we use the MC gold flakes as a platform for ultrafast hot-electron transfer into the adjacent semiconductor material (TiO2) and demonstrate the injection efficiency as high as ≈ 9%, close to the theoretical limit, despite the Au surface being atomically flat. This finding is highly promising for hot-carrier transfer devices with monocrystalline metals, allowing high-quality factor surface plasmon resonances thanks to the low optical loss and their atomically flat surfaces. We also show the impact of the excitation regime (weak or strong perturbation), resulting in the suppression of the electron spill-out effect on the electron-phonon relaxation time as perturbation increases. The obtained results reveal the important effects of crystallinity on hot-carrier dynamics, providing opportunities for the development of plasmonic hot-carrier devices.
Results
Ultra-thin MC Au MFs with pristine (no ligand) and atomically smooth (111) surfaces are grown on glass by a wet chemistry method2. The studied range of the flake thicknesses is 10 nm to 20 nm, as determined by atomic force microscopy (Supplementary Fig. 5a). The high aspect ratio of the flakes concurrently ensures lateral sizes >10 μm, suitable for optical spectroscopy. Separately, complementary 10-nm-thick, continuous PC Au films were prepared by sputtering. The hot-electron injection into TiO2 was studied by transferring the chemically synthesized MC Au flakes onto a 40-nm-thick TiO2 film, deposited on borosilicate glass (see Methods). Calculated reflection, absorption and transmission spectra of the 10-nm-thick MC Au (the dielectric function from ref. 35) and PC Au (the dielectric function from ref. 36) films on a SiO2 substrate show small but distinguishable differences (Fig. 1c). In the spectral range of the pump beam used in the experiments, the mean absorption for PC films (A = 0.071) is slightly higher than that of MC films (A = 0.066).
a The schematic illustrations of monocrystalline and polycrystalline Au. b Schematic of the band diagram of Au. Red arrow indicates the transition from d-band to p-band near the X-symmetry point, the green arrow indicates the transition near the L-symmetry point. c The simulated reflection, absorption and transmission spectra of the 10-nm-thick MC Au (solid curves) and PC Au (dashed curves) on a SiO2 substrate at normal incidence. The shaded area indicates a spectral range of the excitation. d Schematics of the degenerate pump-probe optical measurements with back surface pumping and front surface probing. e Simulated ΔR/R (blue curve) for a 10-nm-thick MC Au flakes on a SiO2 substrate at the laser fluence of 3.5 Jm−2 and 8-fs-long pulses and its components ΔRT/R (orange curve), ΔRNT/R (yellow curve), ΔRD−Te/R (violet curve), and ΔRD−Tl/R (green curve). The nonthermalised, ΔRNT/R, and thermalized, ΔRT/R, contributions are simulated by considering in Eq. 1 only either ΔϵNT(ℏω, t) or ΔϵT(ℏω, t), respectively. The Drude contribution in the transient reflectivity is separated into two parts, which depend on an electron temperature, ΔRD−Te/R, or a lattice temperature, ΔRD−Tl/R, and computed by considering only either elevated Te or Tl, respectively. See Supplementary Note 1 for the details of the simulations.
Hot-carrier dynamics was investigated using transient reflectance measurements (Fig. 1d, see Methods). An 8 fs pump-pulse laser allows to measure the whole thermalization process, including at sub-100 fs time scales. Both pump and probe beams have a central photon energy of 1.7 eV. In Au, this corresponds mainly to the intraband hot-carrier excitation regime, which results in a near-uniform non-Fermi distribution of non-thermal carriers from the Fermi level up to the energy of the excitation photon19,21,37,38. At photon energies >1.8 eV, the interband transitions dominate the optical response and include transitions at X-point (≈ 1.8 eV, d-band to p-band transition) and at L-point (≈ 2.4 eV, d-band to p-band and ≈3.5 eV, p-band to s-band)(Fig. 1b, Supplementary Fig. 1).
The relaxation dynamics of the hot carrier ensemble can be well-described using a three-process model19,39 that evaluates the time evolution of the energy density of the non-thermal hot carriers, Ne, the temperature of the thermalized electron gas, Te, and the temperature of the lattice, Tl. This model, combined with a semiclassical theory of optical transitions in the solids, allows to establish a link between the non-equilibrium energy transfer and the measured changes in the dielectric function Δϵ(ℏω, t) of the metal and, therefore, the measured reflectance signal (see Supplementary Note 1 for the details of the model)19,23. The changes in permittivity Δϵ can be split in three distinct contributions from (i) the non-thermal hot carriers (ΔϵNT), (ii) the thermalized electrons with the elevated temperature (ΔϵT), and (iii) the Drude damping modification (ΔϵD) as in ref. 19:
The importance of these contributions changes with the time after the excitation. The first two terms account for the transient change of the single-particle interband absorption peak due to the pump-induced change in the electron-hole occupancy and the electron temperature, respectively, while the last term accounts for the many-body free-electron response manifested by the change in the optical Drude damping. In the spectral range above the interband offset threshold, the main contribution is given by the ΔϵT, and a characteristic “slow” rise is observed in the optical constants as the internal equilibrium is being reached within the hot-electron gas (i.e., τrise ≈ τth). In a highly non-equilibrium Fermi gas, which can be obtained at higher optical fluences the thermalisation time decreases due to stronger electron-electron scattering40. At longer wavelengths, on the other hand, ΔϵNT dominates the response and exhibits an almost instantaneous τrise, irrespective of the strength of the excitation, which depends on the average scattering rate of the non-thermal electrons41,42 (Supplementary Fig. 2).
Figure 1e illustrates the contributions of the above-introduced excitation/relaxation processes to the transient reflection, ΔR/R. Initially, the photon absorption results in a sudden change in the electron occupancy and creates a nonequilibrium, nonthermal electron distribution, which causes the rapid increase of the signal by ΔRNT/R. The nonthermalised electrons interact inelastically with each other and also with ’cold’ electrons, not perturbed from their initial thermal equilibrium, resulting in the thermalized electron distribution after ~100s of fs. The contribution ΔRT/R, which accounts for the interband transitions, is associated with this new electron distribution, thermalised at a higher electron temperature. The thermalized electrons also impact the Drude response of the electron gas, resulting in ΔRD−Te/R. The thermalized electrons collide with the lattice of a metal, and their excess energy is transferred to phonons. Therefore, a lattice temperature increases over a few ps time, determined by the electron-phonon coupling constant of the system, G. As a consequence, the ΔRD−Tl/R contribution is built up. The excited phonons interact with the room-temperature phonons of the lattice and the substrate phonons, and their energy is dissipated until the thermal equilibrium with the surroundings is established.
Electron-electron relaxation
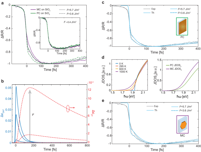
We first compare the behaviour of highly nonequilibrium hot electrons in MC and PC gold generated under strong excitation conditions (Fig. 2a). At low fluences, both samples exhibit exactly the same charge carrier dynamics. In particular, we observe a rapid rise, (τrise = 150 fs < < τth ≈ 500 fs), dictated by the non-thermal electron dynamics ΔϵNT, as expected for the nonresonant (with respect to the interband transitions) probing conditions. However, when the fluence increases, two intriguing phenomena emerge: (i) counter-intuitively, τrise increases and, most significantly, (ii) τrise in the MC sample becomes longer than in the PC one, despite its lower absorption. This indicates different early-stage thermalization dynamics in MC and PC films.
a Normalised transient reflection from a 10-nm-thick MC Au MF (violet curves) and a PC Au (green curves) on SiO2 substrate at the pump fluence F = 3.6 Jm−2 (dashed curves) and F = 5.7 Jm−2 (solid curves). The inset shows the weak perturbation regime measurements with F = 0.4 Jm−2. b Transient change in the imaginary part of the dielectric function of Au at ℏω = 1.7 eV due to the nonthermalised ΔϵNT (blue curves) and thermalised ΔϵT (orange curves) electron distributions, simulated with the three process model. c Simulated (cyan curves) and measured (gray curves) normalised ΔR/R from a 10-nm-thick PC Au film on SiO2. d (left) JDOS at the X-symmetry point of the Brillouin zone of the MC Au at different electron temperatures and (right) JDOS at the X-symmetry point for MC (purple curves) and PC (green curves) Au. e Simulated (cyan curves) and measured (gray curves) normalised ΔR/R for a 10-nm-thick monocrystalline Au MF on SiO2. In (a, c, e), dashed curves correspond to F = 3.6 Jm−2 and solid curves to F = 5.7 Jm−2.
Using ϵAu(ω) for PC Au36 and the electron-electron scattering rate (γe−e, which has a quadratic dependence on electron energy42,43), we obtain an excellent agreement between the experimental and theoretical transient reflectance (Fig. 2c). Importantly, at higher fluences and hence higher Te of the thermal carriers, the joint density of states (JDOS) for the interband transitions at the X-point of the Brillouin zone broadens in energy so that the spectral overlap with the probe beam spectrum used in the measurements increases (Fig. 2d). In other words, when a high Te is established, the probe pulse can transiently access interband absorption at the X-point, becoming more sensitive to the thermal-carrier contribution (ΔϵT) similar to the resonant probing conditions of the interband transitions. The interplay between the evolution of ΔϵT and ΔϵNL then produces a “delayed” rise time, observed in the experiment. To confirm this conclusion, we compare the dependence of ΔϵNT and ΔϵT on the excitation fluence (Fig. 2b and Supplementary Fig. 2). At low fluences (F = 0.4 Jm−2), the contribution from ΔϵT is negligible, and the response is dominated by the fast ΔϵNT. However, at stronger excitation, the magnitude of ΔϵT increases rapidly, reaching nearly 25% of the nonthermal contribution for a fluence of 5.7 Jm−2. We conclude, therefore, that the observed experimental trends and their dependence on the excitation fluence showcase an overlooked unique interplay between equilibrium and non-equilibrium electron dynamics in mesoscopic gold. We can speculate that the stronger role of X-point in the dielectric function of MC gold is what allows us to more clearly observe it at higher fluences in the transient spectra (Fig. 2a). It is worth noting that we do not observe the decrease (increase) of τth (γe−e) that follows from the Fermi liquid theory37,42 due to the predominantly nonresonant nature of the experiment, which is only partially sensitive to the non-equilibrium dynamics (τrise < < τth).
For strongly perturbative excitation at higher fluence, the rise of ΔR/R in the PC Au film is faster than in the MC Au MF. Treating the average scattering rate of the nonthermalised electrons, \(\overline{{\gamma }_{e}}\), as a free parameter of the dynamic three-process model (Supplementary Note 1) and noting the larger JDOS at the X-point for MC than PC Au (Fig. 2d), we can reproduce the measured electron dynamics in MC gold (Fig. 2e). The greater spectral weight of the interband transitions in MC Au means a stronger contribution of the slow ΔϵT term to the measured dynamics with the obtained \(\overline{{\gamma }_{e,MC}}\) = 18 THz \( < \overline{{\gamma }_{e,PC}}\) = 24 THz. This difference in \(\overline{{\gamma }_{e}}\) arises from the additional contributions from scattering on lattice defects and grain boundaries in PC Au, which are the additional energy loss channels for electrons44,45,46. The studied PC Au film has an average grain size of 50 nm (Supplementary Fig. 5) which is much smaller than the pump beam size (≈10 μm) and thus multiple grain boundaries contribute. We can, therefore, attribute the longer τrise in MC Au to the combination of (i) a decrease in \(\overline{{\gamma }_{e}}\) and (ii) an increase of the contribution of the interband optical transitions at the X-point. The former also results in longer thermalization of electrons in MC Au.
To visualize the effect of hot-carrier extraction on the early-stage thermalization dynamics of hot carriers, we compare a 10-nm-thick Au MF on SiO2 and n-doped TiO2 substrates. At an Au/TiO2 interface, a Schottky barrier of ~1.2 eV is formed47,48,49 (Fig. 3a), enabling hot-electron separation across the metal/semiconductor interface. Under these conditions, regardless of the pump fluence, the rise of ΔR/R is slower than on SiO2. This is related to the transfer of the non-equilibrium hot electrons with the energies exceeding the Schottky barrier from Au to TiO2 in the first 100 fs, increasing the thermalisation time governed by the electrons closer to the Fermi level. In fact, γe−e is quadratically proportional to the excited electron energy, and lower energy carriers have a longer lifetime (Supplementary Note 2)23,42,43. Since the remaining electrons are less energetic, they will live longer. This effect occurs at all levels of excitation as hot-carrier transfer is always present in Au/TiO2 system. However, it is fundamentally different from the power-dependent phenomena discussed above, and it survives even in the regime of low perturbation excitation (Fig. 3b).
a The schematic illustration of hot-electron transfer from Au to TiO2 (right) and the respective energy band diagram (left). b Normalised transient reflection measured for a 10-nm-thick monocrystalline Au MF on SiO2 (purple curves) and on TiO2 (red curves) at a pump fluence F = 3.6 Jm−2 (dashed curves) and F = 5.7 Jm−2 (solid curves). Inset shows the low perturbation ΔR/R measurement at F = 0.4 Jm−2.
Electron-phonon scattering and hot-electron transfer efficiency
To complete the picture of the role of crystallinity and hot-electron extraction on the overall carrier thermalization dynamics, we analyze the temporal response of optical properties of MC and PC films governed by the electron-phonon scattering (Fig. 4b). Electron-phonon relaxation time τe−ph increases with the excitation fluence for all the samples since the free-electron heat capacity depends on thermalized Te, and, therefore, the relaxation is slower for higher initial values of Te27,33,50. For the same excitation fluence, τe−ph is slightly shorter in the MC Au MFs compared to the PC Au thin films. We can estimate the electron-phonon coupling constant from the intersect of its dependence on the excitation fluence as GMCAu = (2.2 ± 0.1) x 1016 Wm−3K−1 and GPCAu = (2.0 ± 0.1)x 1016 Wm−3K−1, for MC and PC samples, respectively. Since both films are on the same substrate, the change in an electron-phonon coupling constant originates from the difference in crystallinity. In particular, grain boundaries can affect the phonon density of states and frequencies51, therefore, impacting the rate of energy transfer from electrons to phonons51, showcasing the importance of using robust single crystal platforms for the design of plasmonic hot-carrier devices.
a Measured normalised transient reflection from a 10-nm-thick MC Au MF (violet curve) and a PC Au film (green curve) on a SiO2 substrate, and a MC Au MF on a TiO2 substrate (red curve) at the excitation fluence F = 5.7 Jm−2. b Measured dependence of τe−ph of a 10-nm-thick MC Au MF on SiO2 (violet diamonds), on TiO2 (red squares), and a PC Au film on SiO2 (green dots) on the excitation fluence. The dotted curves are simulated with Eq. (2) for G\({}_{MCAu/Ti{O}_{2}}\) = 1.6 x 1016 Wm−3K−1 (red), G\({}_{PCAu/Si{O}_{2}}\) = 2 x 1016 Wm−3K−1 (green), and G\({}_{MCAu/Si{O}_{2}}\) = 2.2x1016 Wm−3K−1 (purple). Inset shows the comparison of the fluence dependence of τe−ph of a 10-nm-thick MC Au MF on TiO2 with the simulations for different values of Pi. c Thickness dependence of measured τe−ph for MC Au MFs on SiO2 in strong (dots), and weak (diamonds) perturbation regimes. Solid curves are the calculated electron temperatures Te achieved in strong (upper) and weak (lower) perturbation regimes. Error bars in (b, c) represent standard deviation.
A second practically important observation is a slower electron-phonon relaxation in MC Au on TiO2 and a drastic difference in the electron-phonon coupling constants for the identical MC gold films on SiO2 (GMCAu = (2.2 ± 0.1) x 1016 Wm−3K−1) and TiO2 (\({G}_{MCAu/Ti{O}_{2}}\) = (1.6 ± 0.1) x 1016 Wm−3K−1). Several studies have reported a major effect of the environment on τe−ph in Au NPs and Au thin films interfaced with dielectric materials25,26,52,53,54,55. In particular, it has been shown that τe−ph decreases in an environment with higher thermal conductivity which is likely to be related to the scattering of Au electrons on the phonons in the substrate53. Therefore, we expect smaller \({G}_{MCAu/Ti{O}_{2}}\) to partially originate from the lower thermal conductivity of thin TiO2 film compared to bulk SiO256. Hot-electron injection is also expected to modify τe−ph. Since the most energetic electrons will be transferred, the thermalised electron gas temperature will increase less in the presence of hot-carrier transfer. Therefore, one could also expect a decrease in τe−ph in the case of a MC Au MF on TiO2, as it depends on the electron temperature.
To disentangle the two contributions, we consider the relationship between τe−ph and the hot-electron injection probability, Pi,33,50:
where γ= 66 Jm−3K−2 is the electron heat capacity for Au, and U is the initial energy density absorbed by the electrons U = A × F/L, where A and L are the absorbance of the film and its thickness, respectively. Using Pi as a fitting parameter, the dependence of the electron-phonon relaxation time on the excitation fluence can be fitted to the experimental data with Pi = 0.09 ± 0.03 (Fig. 4b). On the other hand, the theoretical hot-electron injection probability from a monocrystalline Au MF into TiO2 can be evaluated, assuming Φb = 1.2 eV and ℏω = 1.7 eV, as Pi = 0.1 (see Supplementary Note 2 for the details of the calculations). Surprisingly, there is an excellent agreement between the hot-electron injection probability obtained from the theoretical estimates under fully-relaxed momentum conservation and the one extracted from the experimental τe−ph dependence.
Several studies demonstrated the increase in the hot-electron transfer efficiency due to electron-surface-defect scattering which causes the electron momentum randomization if the surface is rough or due to a grain structure of PC metals57,58. However, our results suggests that, despite their atomically smooth surfaces, MC Au MFs provide good hot-electron extraction efficiency (≈10%). This agrees well with the reduced hot-electron scattering rate measured above, as it would favor the ballistic extraction of the highly energetic electrons. Additionally, for the thicknesses lower than the electron mean-free-path, which is electron-energy-dependent and >30 nm at 1.7 eV photon energy58, quasi-elastic electron-phonon scattering can efficiently redirect the momentum of hot electrons, which increases the transfer efficiency even in the absence of other momentum relaxing mechanisms, such as lattice defects, grain boundaries, and rough surface scattering. Therefore, we assume the relaxation of the momentum conservation during hot-electron transfer, which shows good agreement with the measured efficiency. It should be noted that an ideal theoretical limit of the injection probability in the considered system can be obtained assuming Φb = 0 eV, zero-thickness of Au film, and angular momentum for all the hot electrons directed towards the film interface to be Pi,max = 0.53.
Finally, we compare the electron-phonon relaxation times τe−ph for monocrystalline Au MF with different thicknesses (Fig. 4c). In a weak perturbation regime (F = 0.4 Jm−2), the increase of the electron temperature Te is simulated to be stronger for the thinner films. However, interestingly, τe−ph decreases as the thickness decreases. While the contribution of surface acoustic59 or electronic60 states on highly oriented (111) Au surfaces may become relevant with the increase of a surface-to-bulk ratio, multiple previous theoretical and experimental works have failed to observe their role in hot-electron dynamics on surfaces even for much higher surface-to-bulk ratios than in the studied MC Au films60,61,62. Moreover, since the experimental studies are performed here at ambient conditions, the surface states are likely to be passivated by molecular contaminants63. Therefore, we attribute the decrease of τe−ph with the increase in thickness to the increased contribution of the electron spill-out effects, which reduces the average electron density for the thinner films64. This leads to the reduced screening and stronger interaction between the electrons and the ionic lattice40,65. The opposite behavior is observed at higher fluences in the strong perturbation regimes: τe−ph increases as the thickness decreases. The reason is that the non-negligible increase in Te (Fig. 4c), overpowers the contribution of the electron spill-out effect on τe−ph: as the thickness decreases, the hot-electron temperature Te significantly increases in a high perturbation regime, and its increase is stronger for thinner films because of the smaller volume where the energy is absorbed, resulting in longer electron-phonon relaxation.
Discussion
We interrogated temporal dynamics of hot carriers in ultrathin monocrystalline and polycrystalline Au films on passive and active substrates. Our findings revealed that a relative contribution of thermalised and nonthermalised electrons to transient optical properties depends on the crystallinity of a gold film. We found longer electron thermalization in monocrystalline Au due to a decrease in \(\overline{{\gamma }_{e}}\), which was caused by the absence of grain boundaries and lattice defects. Contrary to general perception, in the near-IR spectral range, the interband transitions in gold at the X-point of the Brillouin zone significantly affect hot-carrier dynamics and must be taken into account in monocrystalline gold, especially in a strong perturbation regime at the high excitation fluences. This results in the increase of the contribution of long-lived thermalized electrons to the optical response and, therefore, its slower dynamics. We also showed that the presence of hot-electron transfer from Au to TiO2 suppresses the nonthermal electron contribution to the optical properties and leads to much longer electron-phonon relaxation on a thermally low conductive substrate. We demonstrated that the perturbation regime highly affects the thickness dependence of the electron-phonon relaxation time τe−ph. While τe−ph decreases as thickness decreases in a low perturbation regime owing to the electron spill-out effect, it increases in a high perturbation regime because of the non-negligible increase in ΔTe for smaller thicknesses. Our findings also revealed that hot-electron injection efficiency in TiO2 is as high as ≈9%, which agrees with the estimates under the assumption of momentum relaxation, even though the Au surface is atomically flat. This result indicates a potential for using monocrystalline metals in hot-carrier transfer devices47,66,67, as it supports high-quality factor plasmonic resonances. Overall, the results contribute to a deeper understanding of the non-equilibrium carrier dynamics in monocrystalline metals.
Methods
Sample preparation
High-aspect ratio ultrathin (10–25 nm) monocrystalline Au MFs are fabricated by the procedure described in ref. 2. The on-substrate growth method results in MC Au MFs, which are directly nucleated and grown on the glass substrate surface with no organic or halide ligands present at the Au-glass interface; i.e., the bottom Au(111)/glass interface is pristine. The substrate is 180-μm-thick borosilicate glass. MFs have atomically smooth (Supplementary Fig. 5) and well-defined (111) crystallographic surface and face-centered cubic crystal structure (see ref. 2 for the details of the crystallographic characterization). After synthesis, a <2-nm-thick organic-halide adlayer is present on the top gold surface. The physically adsorbed organic-halide residue is easily removed with a simple cleaning procedure (several rinses with ethanol and DI water followed by drying with nitrogen gas) as it is not strongly bonded to the metal surface. The RMS roughness of the MF surface is measured to be ≈250 pm. To study hot-electron transfer, chemically synthesized flakes are transferred onto 40-nm-thick TiO2 films on borosilicate glass by the PMMA transfer method68, followed by the exposure to an oxygen plasma (4 min, 500 W) to remove any PMMA residue left from the transfer step. After the transfer, the pristine interface of the Au flakes (which was a Au/SiO2 interface) is in contact with TiO2. The detailed characterization of the MC Au-TiO2 interface can be found in ref. 69. To compare the effect of crystallinity on hot-carrier dynamics, 10-nm-thick Au films were fabricated on the same type of substrates by sputtering. AFM imaging verifies that these films are continuous with the RMS surface roughness around 1.5 nm (Supplementary Fig. 5). The average grain sizes of the polycrystalline Au films are measured to be around 50 nm.
Degenerate pump-probe measurements
Transient optical measurements were conducted using a femtosecond laser (Laser Quantum Venteon) and a degenerate pump-probe setup (Supplementary Fig. 5). The laser produces ≈8 fs pulses with a repetition rate of 80 MHz and an average power of 0.5 W. The spectrum of such a short laser pulse covers a range from 650 to 950 nm (Supplementary Fig. 5). The pump and probe beams were cross-polarized in order to prevent coherent interactions during the measurements. The measurements were performed using a lock-in amplifier and a modulated pump at 1 kHz frequency, which allowed for accurate measurements with a precision of 10−6–10−7. The optical path included a dispersion control system (Sphere Photonics D-Scan) in order to control the dispersion of the ultrashort pulses. To assure consistency, ΔR/R traces of each sample were measured several times over a few different days.
Data availability
All the data supporting the findings of this study are presented in the Results section and Supplementary Information and available from the corresponding authors upon reasonable request.
References
McPeak, K. M. et al. Plasmonic films can easily be better: rules and recipes. ACS Photon. 2, 326–333 (2015).
Kiani, F. & Tagliabue, G. High aspect ratio Au microflakes via gap-assisted synthesis. Chem. Mater. 34, 1278–1288 (2022).
Liu, L. et al. Atomically smooth single-crystalline platform for low-loss plasmonic nanocavities. Nano Lett. 22, 1786–1794 (2022).
Fusco, Z. et al. High-temperature large-scale self-assembly of highly faceted monocrystalline au metasurfaces. Adv. Funct. Mater. 29, 1806387 (2019).
Lebsir, Y., Boroviks, S., Thomaschewski, M., Bozhevolnyi, S. I. & Zenin, V. A. Ultimate limit for optical losses in gold, revealed by quantitative near-field microscopy. Nano Lett. 22, 5759–5764 (2022).
Wang, Z. et al. Effect of mirror quality on optical response of nanoparticle-on-mirror plasmonic nanocavities. Adv. Opt. Mater. 11, 2201914 (2023).
Mkhitaryan, V. et al. Ultraconfined plasmons in atomically thin crystalline silver nanostructures. Adv. Mater. 23, 25820 (2022).
Abd El-Fattah, Z. M. et al. Plasmonics in atomically thin crystalline silver films. ACS Nano 13, 7771–7779 (2019).
Kuttge, M. et al. Loss mechanisms of surface plasmon polaritons on gold probed by cathodoluminescence imaging spectroscopy. Appl. Phys. Lett. 93, 113110 (2008).
Boroviks, S., Todisco, F., Mortensen, N. A. & Bozhevolnyi, S. I. Use of monocrystalline gold flakes for gap plasmon-based metasurfaces operating in the visible. Opt. Mater. Expr. 9, 4209–4217 (2019).
Kaltenecker, K. J. et al. Mono-crystalline gold platelets: a high-quality platform for surface plasmon polaritons. Nano Photon. 9, 509–522 (2020).
Manjavacas, A., Liu, J. G., Kulkarni, V. & Nordlander, P. Plasmon-induced hot carriers in metallic nanoparticles. ACS Nano 8, 7630–7638 (2014).
Brown, A. M., Sundararaman, R., Narang, P., Goddard, W. A. I. & Atwater, H. A. Nonradiative plasmon decay and hot carrier dynamics: effects of phonons, surfaces, and geometry. ACS Nano 10, 957–966 (2016).
Brongersma, M. L., Halas, N. J. & Nordlander, P. Plasmon-induced hot carrier science and technology. Nat. Nanotechnol. 10, 25–34 (2015).
Yu, Y., Sundaresan, V. & Willets, K. A. Hot carriers versus thermal effects: resolving the enhancement mechanisms for plasmon-mediated photoelectrochemical reactions. J. Phys. Chem. C. 122, 5040–5048 (2018).
DuChene, J. S., Tagliabue, G., Welch, A. J., Cheng, W.-H. & Atwater, H. A. Hot hole collection and photoelectrochemical CO2 reduction with plasmonic Au/p-GaN photocathodes. Nano Lett. 18, 2545–2550 (2018).
Liu, Y., Ma, H., Han, X. X. & Zhao, B. Metal–semiconductor heterostructures for surface-enhanced Raman scattering: synergistic contribution of plasmons and charge transfer. Mater. Horiz. 8, 370–382 (2021).
Sun, S., He, L., Yang, M., Cui, J. & Liang, S. Facet junction engineering for photocatalysis: a comprehensive review on elementary knowledge, facet-synergistic mechanisms, functional modifications, and future perspectives. Adv. Funct. Mater. 32, 2106982 (2022).
Sun, C.-K., Vallée, F., Acioli, L. H., Ippen, E. P. & Fujimoto, J. G. Femtosecond-tunable measurement of electron thermalization in gold. Phys. Rev. B 50, 15337–15348 (1994).
Khurgin, J., Bykov, A. Y. & Zayats, A. V. Hot-electron dynamics in plasmonic nanostructures. arXiv https://doi.org/10.48550/arXiv.2302.10247 (2022).
Heilpern, T. et al. Determination of hot carrier energy distributions from inversion of ultrafast pump-probe reflectivity measurements. Nat. Commun. 9, 1853 (2018).
Sundararaman, R., Narang, P., Jermyn, A. S., Goddard III, W. A. & Atwater, H. A. Theoretical predictions for hot-carrier generation from surface plasmon decay. Nat. Commun. 5, 5788 (2014).
Zavelani-Rossi, M. et al. Transient optical response of a single gold nanoantenna: the role of plasmon detuning. ACS Photon. 2, 521–529 (2015).
Sim, S. et al. Ultrafast relaxation dynamics in bimetallic plasmonic catalysts. Nanoscale 12, 10284–10291 (2020).
Halté, V. et al. Size dependence of the energy relaxation in silver nanoparticles embedded in dielectric matrices. Appl. Phys. Lett. 75, 3799–3801 (1999).
Link, S., Hathcock, D., Nikoobakht, B. & El-Sayed, M. Medium effect on the electron cooling dynamics in gold nanorods and truncated tetrahedra. Adv. Mater. 15, 393–396 (2003).
Tagliabue, G. et al. Ultrafast hot-hole injection modifies hot-electron dynamics in Au/p-GaN heterostructures. Nat. Mater. 19, 1312–1318 (2020).
Furube, A., Du, L., Hara, K., Katoh, R. & Tachiya, M. Ultrafast plasmon-induced electron transfer from gold nanodots into TiO2 nanoparticles. J. Am. Chem. Soc. 129, 14852–14853 (2007).
Asbury, J. B., Hao, E., Wang, Y., Ghosh, H. N. & Lian, T. Ultrafast electron transfer dynamics from molecular adsorbates to semiconductor nanocrystalline thin films. J. Phys. Chem. B 105, 4545–4557 (2001).
Du, L. et al. Plasmon-induced charge separation and recombination dynamics in gold–TiO2 nanoparticle systems: Dependence on TiO2 particle size. J. Phys. Chem. C. 113, 6454–6462 (2009).
Elsayed-Ali, H. E., Juhasz, T., Smith, G. O. & Bron, W. E. Femtosecond thermoreflectivity and thermotransmissivity of polycrystalline and single-crystalline gold films. Phys. Rev. B 43, 4488–4491 (1991).
Besteiro, L. V. et al. The fast and the furious: ultrafast hot electrons in plasmonic metastructures. size and structure matter. Nano Today 27, 120–145 (2019).
Staechelin, Y. U., Hoeing, D., Schulz, F. & Lange, H. Size-dependent electron–phonon coupling in monocrystalline gold nanoparticles. ACS Photon. 8, 752–757 (2021).
Huang, W., Qian, W., El-Sayed, M. A., Ding, Y. & Wang, Z. L. Effect of the lattice crystallinity on the electron–phonon relaxation rates in gold nanoparticles. J. Phys. Chem. C. 111, 10751–10757 (2007).
Olmon, R. L. et al. Optical dielectric function of gold. Phys. Rev. B 86, 235147 (2012).
Johnson, P. B. & Christy, R. W. Optical constants of the noble metals. Phys. Rev. B 6, 4370–4379 (1972).
Del Fatti, N. et al. Nonequilibrium electron dynamics in noble metals. Phys. Rev. B 61, 16956–16966 (2000).
Della Valle, G., Conforti, M., Longhi, S., Cerullo, G. & Brida, D. Real-time optical mapping of the dynamics of nonthermal electrons in thin gold films. Phys. Rev. B 86, 155139 (2012).
Conforti, M. & Della Valle, G. Derivation of third-order nonlinear susceptibility of thin metal films as a delayed optical response. Phys. Rev. B 85, 245423 (2012).
Voisin, C., Del Fatti, N., Christofilos, D. & Vallée, F. Ultrafast electron dynamics and optical nonlinearities in metal nanoparticles. J. Phys. Chem. B 105, 2264–2280 (2001).
Schoenlein, R. W., Lin, W. Z., Fujimoto, J. G. & Eesley, G. L. Femtosecond studies of nonequilibrium electronic processes in metals. Phys. Rev. Lett. 58, 1680–1683 (1987).
Brown, A. M. et al. Experimental and ab initio ultrafast carrier dynamics in plasmonic nanoparticles. Phys. Rev. Lett. 118, 087401 (2017).
Brown, A. M., Sundararaman, R., Narang, P., Goddard, W. A. & Atwater, H. A. Ab initio phonon coupling and optical response of hot electrons in plasmonic metals. Phys. Rev. B 94, 075120 (2016).
Belevtsev, B. I., Komnik, Y. F. & Beliayev, E. Y. Electron relaxation in disordered gold films. Phys. Rev. B 58, 8079–8086 (1998).
Martinez, C. E. et al. Energy relaxation by hot 2d electrons in AlGaN/GaN heterostructures: the influence of strong impurity and defect scattering. Semicond. Sci. Technol. 21, 1580 (2006).
Kreibig, U. Lattice defects in small metallic particles and their influence on size effects. Z. Fur. Phys. B Condens. Mater. 31, 39–47 (1978).
Mubeen, S., Hernandez-Sosa, G., Moses, D., Lee, J. & Moskovits, M. Plasmonic photosensitization of a wide band gap semiconductor: converting plasmons to charge carriers. Nano Lett. 11, 5548–5552 (2011).
Ng, C. et al. Hot carrier extraction with plasmonic broadband absorbers. ACS Nano 10, 4704–4711 (2016).
Ratchford, D. C., Dunkelberger, A. D., Vurgaftman, I., Owrutsky, J. C. & Pehrsson, P. E. Quantification of efficient plasmonic hot-electron injection in gold nanoparticle–TiO2 films. Nano Lett. 17, 6047–6055 (2017).
Groeneveld, R. H. M., Sprik, R. & Lagendijk, A. Femtosecond spectroscopy of electron-electron and electron-phonon energy relaxation in Ag and Au. Phys. Rev. B 51, 11433–11445 (1995).
Huang, W., Qian, W. & El-Sayed, M. A. Optically detected coherent picosecond lattice oscillations in two dimensional arrays of gold nanocrystals of different sizes and shapes induced by femtosecond laser pulses. In Plasmonics: Metallic Nanostructures and Their Optical Properties 3rd edn, Vol. 5927 (ed. Stockman, M. I.) Ch. 592–701 (SPIE, 2005).
Polavarapu, L. & Xu, Q.-H. A simple method for large scale synthesis of highly monodisperse gold nanoparticles at room temperature and their electron relaxation properties. Nano Technol. 20, 185606 (2009).
Hopkins, P. E., Kassebaum, J. L. & Norris, P. M. Effects of electron scattering at metal-nonmetal interfaces on electron-phonon equilibration in gold films. J. Appl. Phys. 105, 023710 (2009).
Hopkins, P. E. & Norris, P. M. Substrate influence in electron–phonon coupling measurements in thin Au films. Appl. Surf. Sci. 253, 6289–6294 (2007).
Bykov, A. Y., Roth, D. J., Sartorello, G., Salmón-Gamboa, J. U. & Zayats, A. V. Dynamics of hot carriers in plasmonic heterostructures. Nanophotonics 10, 2929–2938 (2021).
DeCoster, M. E. et al. Density and size effects on the thermal conductivity of atomic layer deposited TiO2 and Al2O3 thin films. Thin Solid Film. 650, 71–77 (2018).
Blandre, E., Jalas, D., Petrov, A. Y. & Eich, M. Limit of efficiency of generation of hot electrons in metals and their injection inside a semiconductor using a semiclassical approach. ACS Photon. 5, 3613–3620 (2018).
Leenheer, A. J., Narang, P., Lewis, N. S. & Atwater, H. A. Solar energy conversion via hot electron internal photoemission in metallic nanostructures: efficiency estimates. J. Appl. Phys. 115, 134301 (2014).
Hodak, J. H., Henglein, A. & Hartland, G. V. Electron-phonon coupling dynamics in very small (between 2 and 8 nm diameter) Au nanoparticles. J. Chem. Phys. 112, 5942–5947 (2000).
Saavedra, J. R. M., Asenjo-Garcia, A. & García de Abajo, F. J. Hot-electron dynamics and thermalization in small metallic nanoparticles. ACS Photon. 3, 1637–1646 (2016).
Bürgi, L., Jeandupeux, O., Brune, H. & Kern, K. Probing hot-electron dynamics at surfaces with a cold scanning tunneling microscope. Phys. Rev. Lett. 82, 4516–4519 (1999).
Echenique, P. et al. Decay of electronic excitations at metal surfaces. Surf. Sci. Rep. 52, 219–317 (2004).
Forster, F., Bendounan, A., Reinert, F., Grigoryan, V. & Springborg, M. The shockley-type surface state on ar covered Au(111): high resolution photoemission results and the description by slab-layer DFT calculations. Surf. Sci. 601, 5595–5604 (2007).
Bykov, A. Y., Shukla, A., van Schilfgaarde, M., Green, M. A. & Zayats, A. V. Ultrafast carrier and lattice dynamics in plasmonic nanocrystalline copper sulfide films. Laser Photon. Rev. 15, 2000346 (2021).
Arbouet, A. et al. Electron-phonon scattering in metal clusters. Phys. Rev. Lett. 90, 177401 (2003).
Knight, M. W., Sobhani, H., Nordlander, P. & Halas, N. J. Photodetection with active optical antennas. Science 332, 702–704 (2011).
Lee, Y. K. et al. Surface plasmon-driven hot electron flow probed with metal-semiconductor nanodiodes. Nano Lett. 11, 4251–4255 (2011).
Ma, L.-P., Ren, W. & Cheng, H.-M. Transfer methods of graphene from metal substrates: a review. Small Methods 3, 1900049 (2019).
Kiani, F. et al. Transport and interfacial injection of d-band hot holes control plasmonic chemistry. ACS Energy Lett. 8, 4242–4250 (2023).
Acknowledgements
This work was supported in part by the SNSF Eccellenza Grant #PCEGP2_194181, the ERC iCOMM project (789340), and the UK EPSRC project EP/W017075/1.
Author information
Authors and Affiliations
Contributions
G.T. and A.V.Z. conceived the project. F.K. fabricated the samples. C.O.K. and A.Yu.B. performed the experiments. C.O.K. performed the simulations. All the authors analysed the results and wrote the paper. G.T. and A.V.Z. supervised all aspects of the project.
Corresponding authors
Ethics declarations
Competing interests
The authors declare no competing interests.
Peer review
Peer review information
Nature Communications thanks Yuxin Leng and the other anonymous reviewer(s) for their contribution to the peer review of this work. A peer review file is available.
Additional information
Publisher’s note Springer Nature remains neutral with regard to jurisdictional claims in published maps and institutional affiliations.
Supplementary information
Rights and permissions
Open Access This article is licensed under a Creative Commons Attribution 4.0 International License, which permits use, sharing, adaptation, distribution and reproduction in any medium or format, as long as you give appropriate credit to the original author(s) and the source, provide a link to the Creative Commons license, and indicate if changes were made. The images or other third party material in this article are included in the article’s Creative Commons license, unless indicated otherwise in a credit line to the material. If material is not included in the article’s Creative Commons license and your intended use is not permitted by statutory regulation or exceeds the permitted use, you will need to obtain permission directly from the copyright holder. To view a copy of this license, visit http://creativecommons.org/licenses/by/4.0/.
About this article
Cite this article
Karaman, C.O., Bykov, A.Y., Kiani, F. et al. Ultrafast hot-carrier dynamics in ultrathin monocrystalline gold. Nat Commun 15, 703 (2024). https://doi.org/10.1038/s41467-024-44769-3
Received:
Accepted:
Published:
Version of record:
DOI: https://doi.org/10.1038/s41467-024-44769-3
This article is cited by
-
Spectral synthesis of temporal response of nonlinearity through tuneable electron and phonon dynamics in a metamaterial
npj Nanophotonics (2026)
-
Morphology-modified contributions of electronic transitions to the optical response of plasmonic nanoporous gold metamaterial
Nature Communications (2026)
-
Surface-energy-compensated fabrication of single-crystal alloy films with atomic-scale flatness
Nature Communications (2026)
-
On-chip single-crystal plasmonic optoelectronics for efficient hot carrier collection and photovoltage detection
Light: Science & Applications (2025)
-
Ultrafast nonthermal electron transfer at plasmonic interfaces
Nature Communications (2025)






