Abstract
Stacking and twisting graphene layers allows to create and control a two-dimensional electron liquid with strong correlations. Experiments indicate that these systems exhibit strong tendencies towards both magnetism and triplet superconductivity. Motivated by this phenomenology, we study a 2D model of fluctuating triplet pairing and spin magnetism. Individually, their respective order parameters, d and N, cannot order at finite temperature. Nonetheless, the model exhibits a variety of vestigial phases, including charge-4e superconductivity and broken time-reversal symmetry. Our main focus is on a phase characterized by finite d ⋅ N, which has the same symmetries as the BCS state, a Meissner effect, and metastable supercurrents, yet rather different spectral properties: most notably, the suppression of the electronic density of states at the Fermi level can resemble that of either a fully gapped or nodal superconductor, depending on parameters. This provides a possible explanation for recent tunneling experiments in the superconducting phase of graphene moiré systems.
Similar content being viewed by others
Introduction
Strongly correlated systems often exhibit complex phase diagrams with multiple phases, characterized by long-range or quasi-long-range order (QLRO) of different order parameters. Aside from phase competition as a possible origin, a rich set of phases might also be understood as different manifestations of an underlying primary order—a concept often referred to as “intertwined orders”1. For instance, thermal or quantum fluctuations can disorder a primary order parameter, while higher-order composite order parameters can still survive. An example of such a “vestigial phase”2,3 is the charge-4e superconducting state that emerges when a charge-2e pair density wave order parameter, ΔQ, itself vanishes, yet ΔQΔ−Q does not4; this and other forms of charge-4e superconductivity have attracted a lot of attention5,6,7,8,9,10,11,12,13,14,15,16,17,18, in particular, as a result of recent experiments19,20.
Another exciting recent development is the emergence of twisted graphene moiré superlattices as versatile playgrounds for strongly correlated physics21,22. These systems display a variety of different phases such as nematic23,24,25 and density-wave order26,27,28, different forms of magnetism29,30,31,32,33, and, possibly unconventional34,35, superconductivity36; magnetism and superconductivity appear in the same density range34,35,37,38,39,40,41 and recent experiments33,42 demonstrate that they can coexist microscopically. Motivated by these observations, we here study the case of two primary order parameters: a fully gapped spin–triplet superconductor (d), which could explain43 the subgap states at strong tunneling in recent experiments35, and, in line with the conclusions of41,44, magnetic order (N) with antiparallel spins in the two valleys. At finite temperature, T > 0, it must hold 〈d〉 = 〈N〉 = 0 in two dimensions (2D). However, there are several different vestigial phases characterized by the composite order parameters ϕdd = d ⋅ d, ϕdN = d ⋅ N, and ϕddN = i(d† × d) ⋅ N. These include not only a charge-4e superconductor45,46, see Fig. 1a, but also a charge-2e state, which has the same symmetries as and is, hence, adiabatically connected to the BCS state. However, it should primarily be thought of as a condensate of three electrons and a hole, see Fig. 1b, or, more formally, QLRO of ϕdN. We develop a theory for this state and study its spectral properties at finite T, which are rather different from those of the BCS state. Depending on T and ϕdN, we obtain a low-energy suppression of the density of states (DOS) similar to a fully gaped or nodal state. This could provide an alternative explanation43,44,47,48 to the tunneling data of 34,35, which does not require any momentum dependence in the superconducting order parameter.
We illustrate schematically the two finite-T vestigial superconducting phases of our model, a a charge-4e state where two pairs of electrons each in a triplet state condense, and b where three electrons and a hole pair; in both cases, the objects that condense are spin singlets in agreement with the Mermin–Wagner theorem. c Mean-field phase diagram for rd = rN, b3 = b1, c2 = 0, where we indicate the symmetries at T = 0 (blue), those of the resulting vestigial phases at T > 0 (red), and which composite order parameters are finite. Solid (dashed) orange lines are phase transitions at T = 0 and T > 0 (become a crossover at T > 0).
Results
Model
We consider a 2D model, which is similar in spirit to the celebrated spin fermion model49, and describes both triplet superconductivity and spin magnetism, with three-component order parameter fields d (complex) and N (real), respectively. Denoting the electronic field operators of spin s = ↑, ↓ (Pauli matrices s) and in valley τ = ± (Pauli matrices τ) by ck,s,τ, where k = (iωn, k) comprises Matsubara frequencies and 2D momentum, they couple as
Note that N couples anti-ferromagnetically in the two valleys; while the ferromagnetic case can be studied similarly, we focus on antiferromagnetism not only for concreteness here but also because recent microwave experiments41 and multiple other experiments44 favor this scenario. The bare dynamics of d and N is governed by
We take the susceptibilitites to be \({\chi }_{\mu }(q)={\overline{\chi }}_{\mu }/({r}_{\mu }+{\Omega }_{n}^{2}+{v}_{\mu }^{2}{{{{{{{{\boldsymbol{q}}}}}}}}}^{2})\), μ = N, d, where q = (iΩn, q) and Ωn are bosonic Matsubara frequencies. Up to quartic order, the local bosonic interactions allowed by the symmetries listed in Table 1 can be written as \({{{{{{{{\mathcal{S}}}}}}}}}_{V}={\int}_{x}V({{{{{{{\boldsymbol{d}}}}}}}}(x),\, {{{{{{{\boldsymbol{N}}}}}}}}(x))\) with
Finally, the bare electronic action is given by \({{{{{{{{\mathcal{S}}}}}}}}}_{e}={\int}_{k}{c}_{k,\tau ,s}^{{{{\dagger}}} }\left(-i{\omega }_{n}+{\epsilon }_{\tau \cdot {{{{{{{\boldsymbol{k}}}}}}}}}\right){c}_{k,\tau,s}^{}\).
Zero-temperature phases
To gain an overview of the different possible phases at zero temperature, we start with a simple mean-field analysis, which proceeds by minimizing the potential term \({{{{{{{{\mathcal{S}}}}}}}}}_{V}\) for different values of b1,2,3 and c1,2. Assuming that both 〈d〉 and 〈N〉 are non-zero and homogeneous, we obtain the four distinct zero-temperature phases labeled (A), (B1,2), and (C) in Fig. 1c, with respective symmetries indicated in blue (cf. Table 1). We note that there is no relation of the labeling of the phases we use here to the nomenclature in superfluid 3He. Using \({\hat{{{{{{{{\boldsymbol{e}}}}}}}}}}_{1,2,3}\in {{\mathbb{R}}}^{3}\) to denote orthogonal unit vectors, we have \({{{{{{{\boldsymbol{N}}}}}}}}={N}_{0}{\hat{{{{{{{{\boldsymbol{e}}}}}}}}}}_{1}\) and \({{{{{{{\boldsymbol{d}}}}}}}}={d}_{0}{e}^{i\alpha }{\hat{{{{{{{{\boldsymbol{e}}}}}}}}}}_{2}\) in phase (A), which breaks SO(3) completely, while Θ is preserved (in any gauge-invariant observable); as for any phase with 〈N〉 ≠ 0, C2z is broken. In phase (B1), N and d are aligned; we, thus, obtain a residual spin-rotation symmetry SO(2) along that direction and Θ is preserved too. Beyond a critical value of b2, an additional component with relative phase π/2 emerges in d, defining phase (B2) where \({{{{{{{\boldsymbol{N}}}}}}}}={N}_{0}{\hat{{{{{{{{\boldsymbol{e}}}}}}}}}}_{1}\) and \({{{{{{{\boldsymbol{d}}}}}}}}={d}_{0}{e}^{i\alpha }({\hat{{{{{{{{\boldsymbol{e}}}}}}}}}}_{1}+i\eta {\hat{{{{{{{{\boldsymbol{e}}}}}}}}}}_{2})\), with 0 < η < 1; this is a distinct phase as η ≠ 0 breaks both the residual SO(2) spin symmetry and Θ. Finally, phase (C) is characterized by \({{{{{{{\boldsymbol{N}}}}}}}}={N}_{0}{\hat{{{{{{{{\boldsymbol{e}}}}}}}}}}_{1}\) and \({{{{{{{\boldsymbol{d}}}}}}}}={d}_{0}{e}^{i\alpha }({\hat{{{{{{{{\boldsymbol{e}}}}}}}}}}_{2}+i{\hat{{{{{{{{\boldsymbol{e}}}}}}}}}}_{3})\). Consequently, Θ is also broken but a residual SO(2) spin-symmetry remains. We finally point out that the location of the different phases in Fig. 1(c) is straightforward to understand intuitively. Positive (negative) c1 disfavors (favors) alignment of d along N, which is why these two vectors are perpendicular in phase (A) and (C) [are (partially) aligned in (B1,2)]. What is more, negative (positive) b2 prefers a unitary (non-unitary) triplet component to maximize (minimize) ∣dd∣ at a fixed length of d.
Vestigial phases at finite T
Importantly, 〈d〉, 〈N〉 ≠ 0 is not possible for finite T, and thus, our discussion of symmetries and phases above is only valid for T = 0 in 2D. Nonetheless, the T = 0 results will help us understand the possible vestigial phases at finite temperatures, T > 0, in our model, which will be the focus of the remainder of this paper. To study T > 0, where SO(3) spin-rotation symmetry is preserved and 〈d〉 = 〈N〉 = 0, it is convenient to define the following composite order parameters ϕdd = d ⋅ d, ϕdN = d ⋅ N, and ϕddN = i(d† × d) ⋅ N, with symmetry properties listed in Table 1. These are constructed as the lowest-order, local combinations of the bosonic fields d and N that are invariant under SO(3) spin-rotations while transforming non-trivially under U(1)-gauge or the point symmetries. By virtue of being SO(3) invariant, they can exhibit long-range (in case of ϕddN) or QLRO (in case of ϕdd, ϕdN) at finite T. We indicate this in Fig. 1c for the different phases. This immediately tells us that, in spite of 〈d〉 = 0, phase (A) transitions for finite T into a state where ϕdd has QLRO and, thus, constitutes a charge-4e superconductor (as ϕdN = 0), which does not break C2z or Θ (as ϕddN = 0); intuitively, one can think of this state as a condensate of four electrons forming a spin-singlet out of two triplets, see Fig. 1a. At finite T, (B1) and (B2) will both preserve all normal-state symmetries and become the same phase, which we denote by (B) in the following. It is characterized by QLRO not only in ϕdd but also in ϕdN; as the latter has charge 2e, it is a charge-2e superconductor and adiabatically connected to the conventional BCS state. Nonetheless, in our current description, this state should rather be thought of as the condensation of three electrons and a hole, see Fig. 1b, consisting of a pair of electrons in a triplet state forming a singlet with a spin-1 particle-hole excitation. In fact, we will see below that it exhibits spectral properties rather different from those of the BCS state at finite T. Finally, while phase (C) does not exhibit any vestigial pairing at T > 0, it will have long-range order in ϕddN and, as such, continues to break both C2z and Θ.
Theory for phase (B)
As c1 < 0 is found when the coefficients in V are computed from high-energy electronic degrees of freedom within the mean-field theory (see Methods), we focus on phase (B). To obtain an efficient description of this phase that properly captures the preserved SO(3) symmetry at finite temperature, we first decouple the four terms in V using four Hubbard–Stratonovich fields, ψd for d†d, ψN for N2, ϕd for d ⋅ d, and ϕdN for d ⋅ N. We treat them on the saddle-point level, which becomes exact in the limit where the number of components of d and N is taken to be infinitely large50. This procedure does not violate Mermin–Wagner’s theorem (as opposed to taking the limit of infinitely many fermion flavors). The saddle point values of ψd and ψN will in general, be non-zero, which we absorb into a redefinition of rd,N. Then, the effective action for phase (B) becomes \({{{{{{{{\mathcal{S}}}}}}}}}_{B}={{{{{{{{\mathcal{S}}}}}}}}}_{\chi }+{{{{{{{{\mathcal{S}}}}}}}}}_{e}+{{{{{{{{\mathcal{S}}}}}}}}}_{c}+{{{{{{{{\mathcal{S}}}}}}}}}_{\phi }\) where the key new component reads as
While generically, both saddle point values \({\phi }_{dN}^{0}\) and \({\phi }_{dd}^{0}\) are expected to be non-zero simultaneously in phase (B), we take \({\phi }_{dd}^{0}\to 0\) and \({\phi }_{dN}^{0}\equiv {\phi }_{0}\ne 0\) for the following explicit calculations to model the QLRO of phase (B). Setting \({\phi }_{dd}^{0}=0\) does not change any symmetries of the phase, allows for a more compact discussion of the results, and can formally be seen as the large b2 limit of the theory where \({\phi }_{dd}^{0}\) is suppressed [cf. Fig. 1c]. More generally than its derivation via Hubbard–Stratonovich transformations, \({{{{{{{{\mathcal{S}}}}}}}}}_{B}\) can also be thought of as the simplest field theory capturing the key aspects of phase (B) in Fig. 1c at finite T. Crucially, this is still an interacting theory, and integrating out the bosons yields the effective fermionic description \({{{{{{{{\mathcal{S}}}}}}}}}_{B}^{{\prime} }={{{{{{{{\mathcal{S}}}}}}}}}_{e}+{{{{{{{{\mathcal{S}}}}}}}}}_{1}+{{{{{{{{\mathcal{S}}}}}}}}}_{2}\); here \({{{{{{{{\mathcal{S}}}}}}}}}_{1,2}\) are the following four-fermion interactions
with \({M}_{q}={\chi }_{d}^{-1}{\chi }_{N}^{-1}-| {\phi }_{0}{| }^{2}\) and where we introduced the fermionic bi-linears \({{{{{{{{\bf{S}}}}}}}}}_{q}={\int}_{k}{c}_{k+q}^{{{{\dagger}}} }{{{{{{{\bf{s}}}}}}}}{\tau }_{z}{c}_{k}\) and \({{{{{{{{\bf{D}}}}}}}}}_{q}={\int}_{k}{c}_{k+q}^{{{{\dagger}}} }{{{{{{{\bf{s}}}}}}}}i{s}_{y}{\tau }_{y}{c}_{-k}^{{{{\dagger}}} }\) to write Eq. (3) in more compact form. The two terms in \({{{{{{{{\mathcal{S}}}}}}}}}_{1}\) describe spin and superconducting triplet fluctuations, respectively, while \({{{{{{{{\mathcal{S}}}}}}}}}_{2}\) captures the Higgs mechanism underlying phase (B)’s superconducting phenomenology, to be discussed below. Note that \({M}_{q}\to {\chi }_{d}^{-1}{\chi }_{N}^{-1}\) for ϕ0 → 0 such that the first and second terms in Eq. (3a) are proportional to χN and χd, respectively, as expected.
Minimal mean-field theory
Before analyzing \({{{{{{{\mathcal{S}}}}}}}}{\prime}\) in a more systematic way below, we first study a simple, effective Hamiltonian associated with setting q = 0 in the particle-number-non-conserving interaction term in Eq. (3b); we treat it within self-consistent Hartree–Fock, only allowing for spin-rotation invariant operators to condense (see Supplementary Appendix A). This will help us to understand the behavior of the electronic spectrum in phase (B) more intuitively in a minimal setting. The effective (static iΩ = 0) interaction is given by
where we introduced the Nambu-spinor \({\Psi }_{{{{{{{{\boldsymbol{k}}}}}}}}}={ ({c}_{{{{{{{{\boldsymbol{k}}}}}}}},+},i{s}_{y}{c}_{-{{{{{{{\boldsymbol{k}}}}}}}},-}^{{{{\dagger}}} })}^{T}\), with associated Pauli matrices γi in Nambu space and the complex-valued coupling constant
The free Hamiltonian reads as \({H}_{0}={\int}_{{{{{{{{\boldsymbol{k}}}}}}}}}{\Psi }_{{{{{{{{\boldsymbol{k}}}}}}}}}^{{{{\dagger}}} }{\epsilon }_{{{{{{{{\boldsymbol{k}}}}}}}}}{\gamma }_{z}{\Psi }_{{{{{{{{\boldsymbol{k}}}}}}}}}\). Performing a mean-field decomposition of the interaction in Eq. (4) that retains spin-rotation invariance in line with the Mermin–Wagner theorem, we arrive at
where \({C}_{{{{{{{{\boldsymbol{k}}}}}}}}}=-\langle {\Psi }_{{{{{{{{\boldsymbol{k}}}}}}}}}{\Psi }_{{{{{{{{\boldsymbol{k}}}}}}}}}^{{{{\dagger}}} }\rangle\), and \({\tilde{\epsilon }}_{{{{{{{{\boldsymbol{k}}}}}}}}},{\tilde{\Delta }}_{{{{{{{{\boldsymbol{k}}}}}}}}}\) are the self-consistent band structure and superconducting singlet order parameter. The resulting self-consistency equations become
where \({E}_{{{{{{{{\boldsymbol{k}}}}}}}}}=\sqrt{{\tilde{\epsilon }}_{{{{{{{{\boldsymbol{k}}}}}}}}}^{2}+| {\tilde{\Delta }}_{{{{{{{{\boldsymbol{k}}}}}}}}}{| }^{2}}\). The solutions of these self-consistency equations contain a strong temperature dependence. When T > ∣g∣/4, the coupling ∣βk∣ is smaller than 1 for all k. Thus, the self-consistency equations can be rearranged as
which gives us \({E}_{{{{{{{{\boldsymbol{k}}}}}}}}}=\frac{\sqrt{1+| {\beta }_{{{{{{{{\boldsymbol{k}}}}}}}}}{| }^{2}}}{1-| {\beta }_{{{{{{{{\boldsymbol{k}}}}}}}}}{| }^{2}}{\epsilon }_{{{{{{{{\boldsymbol{k}}}}}}}}}\). In this regime, the self-consistent solution simply renormalizes the Fermi velocity, with states near the Fermi surface pushed away from it. This is in stark contrast to the behavior in the usual, BCS-like, mean-field theory of superconductivity. The difference is tied to the fact that, to linear order, \({\tilde{\Delta }}_{{{{{{{{\boldsymbol{k}}}}}}}}}\) only appears on one side of the self-consistency equations in Eq. (8), which leads to \({\tilde{\Delta }}_{{{{{{{{\boldsymbol{k}}}}}}}}}\propto {\epsilon }_{{{{{{{{\boldsymbol{k}}}}}}}}}\) in Eq. (9); intuitively, this comes from the extra factor of c†c in the interaction ϕ0c†c†c†c + H.c. = c†c(ϕ0c†c† + H.c.) that we decouple. More formally, it is clear that this cannot arise in BCS-like mean-field theory of superconductivity since the superconducting order parameter is the only complex number in the theory that transforms non-trivially under U(1) gauge transformations, c → eiφc, requiring it to appear on both sides of the self-consistency equations. In our case, this is different since also g → e−2iφg and, hence, βk → e−2iφβk, allowing the behavior \({\tilde{\Delta }}_{{{{{{{{\boldsymbol{k}}}}}}}}}\propto {\beta }_{{{{{{{{\boldsymbol{k}}}}}}}}}{\epsilon }_{{{{{{{{\boldsymbol{k}}}}}}}}}\) in Eq. (9).
Since βk also depends on Ek, \({E}_{{{{{{{{\boldsymbol{k}}}}}}}}}=\frac{\sqrt{1+| {\beta }_{{{{{{{{\boldsymbol{k}}}}}}}}}{| }^{2}}}{1-| {\beta }_{{{{{{{{\boldsymbol{k}}}}}}}}}{| }^{2}}{\epsilon }_{{{{{{{{\boldsymbol{k}}}}}}}}}\) should be thought of as a self-consistency equation to be solved for βk or Ek. Nonetheless, it allows to readily derive asymptotic relations. In the limit ϵk → 0, we have Ek → 0 and \({\beta }_{{{{{{{{\boldsymbol{k}}}}}}}}}\to \frac{| g| }{4T}=:\alpha \, < \, 1\), ensuring the expressions in Eq. (9) are well behaved for ϵk → 0. Near ϵk = 0 and for large T ≫ ∣g∣, i.e., α ≪ 1, the renormalized spectrum is given by \({E}_{{{{{{{{\boldsymbol{k}}}}}}}}}\simeq \sqrt{1+\frac{3| g{| }^{2}}{16{T}^{2}}}{\epsilon }_{{{{{{{{\boldsymbol{k}}}}}}}}}\); the associated temperature-dependent reduction of the electronic mass reduces the DOS and leads to an expression of the same form that we will derive diagrammatically in Eq. (11) below.
When T/∣g∣ → 1/4+ (i.e., α → 1−), we have ∣βk∣2 → 1 as we approach the Fermi surface ϵk → 0, and the expressions in Eq. (9) are not valid anymore because 1 − ∣βk∣2 is not invertible on the Fermi surface. At this temperature and for lower temperatures, the self-consistent solutions open up a gap in Ek when ϵk = 0, which we find by solving the equation ∣βk∣2 = 1, giving us \({E}_{{{{{{{{\boldsymbol{k}}}}}}}}}{| }_{{\epsilon }_{{{{{{{{\boldsymbol{k}}}}}}}}}=0} \sim \sqrt{12}T\sqrt{1-\frac{4T}{| g| }}\) as T approaches ∣g∣/4 from below.
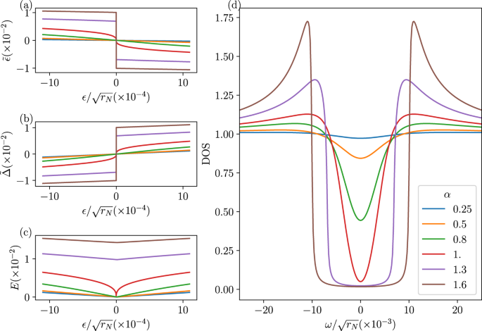
In Fig. 2, we illustrate the self-consistent mean-field solutions. Figure 2a–c shows the renormalized spectrum \({\tilde{\epsilon }}_{{{{{{{{\boldsymbol{k}}}}}}}}},{\tilde{\Delta }}_{{{{{{{{\boldsymbol{k}}}}}}}}}\) and Ek respectively, as a function of ϵk for various values of α. As α approaches 1 from below, the slope of \(\tilde{\epsilon }(\epsilon )\) approaches ∞ at ϵ = 0, and \(\tilde{\epsilon }(\epsilon )\), becomes non-analytic at α = 1 At α > 1, the non-analyticity at ϵ = 0 turns into a discontinuity, with the self-consistent solutions developing a finite gap; we have checked numerically that including finite momentum transfer in the mean-field equations regularizes this non-analytic behavior. Figure 2d shows the resulting DOS in our minimal mean-field model: for small α, one finds only a partial suppression of the low-energy spectral weight, in line with our expansion in small α discussed above and Eq. (11) below; including higher-order corrections leads to a hard gap for α ≥ 1. At T = 0, we find \(| \tilde{\Delta }|=| \tilde{\epsilon }|={2}^{-3/2}| g|\) for ϵ = 0, which corresponds to a gap of E∣ϵ=0 = ∣g∣/2.
a–c The renormalized band parameters \(\tilde{\epsilon },\tilde{\Delta },E\) as a function of the free energy ϵ within self-consistent Hartree–Fock. For α < 1, \(\tilde{\epsilon }\) and \(\tilde{\Delta }\) vary linearly with ϵ near ϵ = 0. The corresponding slope diverges as α → 1, and becomes non-analytic at α = 1, developing a discontinuity in the band parameters at ϵ = 0 for α > 1, resulting in a hard gap. (d) The corresponding density of states within self-consistent Hartree–Fock, very similar behavior is found with an explicit hard gap for α > 1.
Electronic self-energy
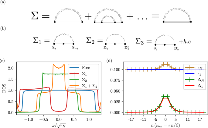
After our simple yet insightful mean-field treatment, we come back to the full model \({{{{{{{{\mathcal{S}}}}}}}}}_{B}^{{\prime} }\) with four-fermion interactions in Eq. (3) and analyze it in a complementary approach that retains the frequency and momentum dependence. To this end, we employ a matrix-large-N technique similar to51,52: we add extra indices to the electrons and bosons, ck,τ,s → ck,τ,s,a, d → dab and similarly for N, where a, b = 1, 2, …, N, which are contracted in all terms of \({{{{{{{{\mathcal{S}}}}}}}}}_{B}\) so as to ensure O(N) symmetry. In the limit N → ∞, the electronic self-energy Σ is given by the “rainbow diagrams”51,52 shown in Fig. 3(a). In our case, however, Σ involves both normal (i.e., particle-number-conserving) and anomalous (non-conserving) contributions as a result of \({{{{{{{{\mathcal{S}}}}}}}}}_{2}\) in Eq. (3b). To represent the diagrams algebraically, we again shift to the Bogoliubov-de Gennes basis \({\Psi }_{k}={({c}_{k,+},i{s}_{y}{c}_{-k,-}^{{{{\dagger}}} })}^{T}\), with Pauli matrices γi acting on this space. In this basis, the free Green’s function is G0(iω, ϵ) = iω − ϵγz. Up to the first order in λ2, see Fig. 3b and Supplementary Appendix B for details on the evaluation of the diagrams, the spin–spin self-energy term can be written as \({\Sigma }_{1}(k)=3{\lambda }^{2}{\int}_{q}\frac{{\chi }_{d}^{-1}(q)}{2{M}_{q}}{G}_{0}(i\omega+i\Omega,{\epsilon }_{{{{{{{{\boldsymbol{k}}}}}}}}+{{{{{{{\boldsymbol{q}}}}}}}}})\), while the triplet–triplet term is \({\Sigma }_{2}(k)=12{\lambda }^{2}{\int}_{q}\frac{{\chi }_{N}^{-1}(q)}{{M}_{q}}{G}_{0}(i\omega+i\Omega,-{\epsilon }_{{{{{{{{\boldsymbol{k}}}}}}}}+{{{{{{{\boldsymbol{q}}}}}}}}})\). After performing a gauge transformation to make ϕ0 real, the anomalous term from the spin–triplet interaction is given by
For concreteness and since spin fluctuations are believed to occur already at higher energies than superconducting fluctuations in graphene moiré systems37,38, we focus on rd > rN; for concreteness, we will use \({r}_{d}/{r}_{N}=9,\, {v}_{d}^{2}/{v}_{N}^{2}=8,\, {\lambda }^{2}/{v}_{N}^{2}\sqrt{{r}_{N}}=1,\, {\overline{\chi }}_{N}={\overline{\chi }}_{d}\), and set \({\overline{\chi }}_{\mu }=1\) by rescaling of the fields, but note that no fine-tuning is required for the following results.
Diagrams contributing to the fermionic self-energy Σ a in the matrix-large-N limit defined in the main text and b to first order. c Impact of spin (Σ1) and triplet fluctuations (Σ2) on the constant DOS (blue) of a 2D band with finite bandwidth. (d) Comparing the first order solution (ϵ1, Δ1) and self-consistent solution (ϵN, ΔN) for G = iω − ϵ(iω)γz + Δ(iω)γy for \({{{{{{{{\mathcal{S}}}}}}}}}_{2}\) taking into account higher order terms shown in (a) (both without momentum integration). We use \(\epsilon /\sqrt{{r}_{N}}=0.1,{\phi }_{0}/{r}_{N}=0.5\).
Density of states
Figure 3c shows the effect of the normal contributions of the self-energy Σ1,2 on the constant DOS around the Fermi level of a 2D band structure. The effect of Σ1 is to push the peak of the free spectral function at energy ϵ away from ω = 0. This results in the opening of a gap (which can be soft depending on the parameter regime), very similar to fluctuating antiferromagnetism discussed in the cuprates53,54,55. Σ2 on the other hand, has the opposite effect, where it pushes states toward ω = 0. This is because Σ1 and Σ2 have the exact same functional form with one key difference: ϵk+q of Σ1 is replaced by − ϵk+q in Σ2. As a result, Σ2 “sees” the state at energy − ϵ, and pushes it away from 0, resulting in the actual pole at ω = ϵ shifting towards ω = 0 (or even crossing 0). This is why high-energy states accumulate in the vicinity of ω = 0.
The effect of the total normal self-energy Σ1 + Σ2 is to enhance the DOS in the vicinity of the Fermi level, see Fig. 3c. The anomalous contribution Σ3 does not interfere with these effects since it occurs in the γy channel. The role of Σ1 + Σ2 can, thus, be intuitively thought of as providing a renormalized DOS in the normal state, on top of which the anomalous Σ3 opens up a gap. We have checked (see Supplementary Appendix C) by numerically solving the self-consistency equation for the self-energy [Fig. 3a] in the limit (of large vμ) where only the q = 0 term of the momentum sum contributes that higher-order corrections do not change our results qualitatively for small ϕ0. For instance, Fig. 3d shows the numerical solution for the Green’s function G = iω − ϵ(iω)γz + Δ(iω)γy in Matsubara space upon including the effect of higher-order terms from \({{{{{{{{\mathcal{S}}}}}}}}}_{2}\) [Fig. 3a]; the difference to the first-order result is small.
To gain intuition for the impact of Σ3 on the DOS, we first focus again on the q = 0 term of the momentum sum in Eq. (10). In this limit, one can easily see (cf. Supplementary Appendix D) that Σ3 vanishes linearly in ϵk for small energies. Note that this is very different from conventional BCS theory, where the anomalous self-energy is just given by the order parameter Δ and, thus, constant and finite around the Fermi level; the difference arises from the fact that, although we also keep ϕ0 as a constant, it is associated with a four-electron interaction, \({{{{{{{{\mathcal{S}}}}}}}}}_{2}\) in Eq. (3b), and, hence, leads to one- or higher-loop diagrams contributing to Σ3. This is what induces the momentum dependence in our case.
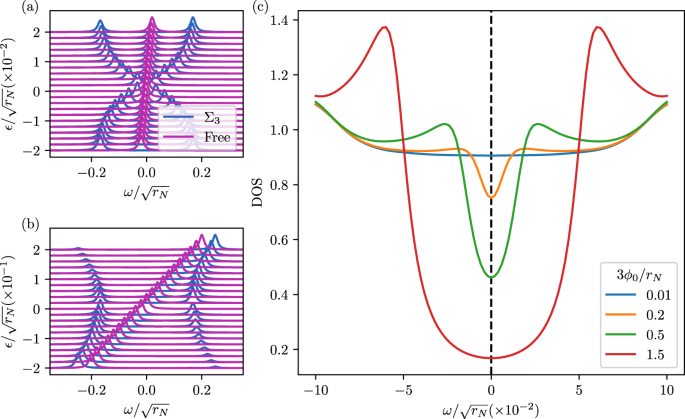
Since Σ3 is in the γy channel, the effect of any non-zero value is to generically open a gap. As a result of the linear behavior, Σ3 ∝ ϵk, for ϵk → 0, the states exactly at zero energy are unaffected, but slightly away from it, the states get pushed away to higher energy; this is clearly visible in Fig. 4a. The fact that there is still a peak in the spectral function at ω = 0 for finite but sufficiently small coupling strength is in line with previous works on related one-loop self-energy diagrams56. In contrast, for large energies, Σ3 is readily seen to tend to zero. The spectral function, thus, remains asymptotically unaffected, as can be seen in Fig. 4b. Taken together, we expect the DOS to be reduced (but not fully suppressed for small ϕ0) in an energy range around the Fermi level, exhibiting an enhancement with respect to its normal-state value at intermediate energies, and then approaching the normal-state limit at larger energies.
Spectral weight as a function of ω with (blue) and without (purple) Σ3 a close to ϵk = 0 and b including a larger energy range; in both cases, we focus on the q = 0 contribution (see text). c The effect of all three self energy contributions Σ1 + Σ2 + Σ3 (including the momentum integration) on the DOS. For small ϕ0, there is suppression of the DOS at ω = 0, which resembles the V-shaped DOS of a nodal state. For large ϕ0, the gap resembles a hard BCS gap.
To demonstrate this explicitly beyond the simple q = 0 limits, we approximate ϵk+q ≃ ϵk + vF q∥ + q2/(2m), where q∥ is the component of q along k, and numerically evaluate the momentum integrals to find the total self-energy Σ = Σ1 + Σ2 + Σ3. Choosing \({v}_{F}=1.5{v}_{N},2m=\sqrt{{r}_{N}}/{v}_{N}^{2}\) for concreteness, Fig. 4(c) shows the resulting DOS. As expected, we see that there is a suppression of the DOS. However, for small values of ϕ0, the resulting DOS has a V-shaped behavior, which is typically only seen in nodal states (with either nodal lines or points). Recall that the superconducting phase in our model is symmetry-equivalent to a conventional BCS state and that the triplet superconductor that arises at T = 0 in-phase (B) will be fully gapped. For larger ϕ0, the gap at ω = 0 increases and resembles a hard BCS gap. The suppression of the DOS ρF at ω = 0 can be estimated analytically at finite temperature by again taking the limit (of large vμ) where the integration over q can be replaced by an evaluation at q = 0; we find
with g defined in Eq. (5). It holds ∣ϕ0∣2 < rdrN due to the Mermin–Wagner theorem. As ∣ϕ0∣ increases, α increases the suppression of the DOS, and near the instability point of ∣ϕ0∣2 = rdrN, where the bosons would condense, there are no states near the Fermi surface.
Electromagnetic response
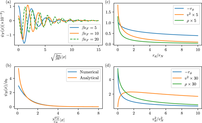
We will finally demonstrate that the superconducting phase characterized by ϕ0 ≠ 0 has the same electromagnetic phenomenology as BCS superconductors, despite the unusual electronic spectral properties. To this end, we study off-diagonal long-range order (ODLRO)57,58,59, which implies the Meissner effect60, flux quantization61, Josephson effect, and persistent currents62. First, focusing on the electrons, we show that \(\langle {c}_{{s}_{1},+}^{{{{\dagger}}} }({{{{{{{{\boldsymbol{x}}}}}}}}}_{1}){c}_{{s}_{2},-}^{{{{\dagger}}} }({{{{{{{{\boldsymbol{x}}}}}}}}}_{2}){c}_{{s}_{2}^{{\prime} },-}^{}({{{{{{{{\boldsymbol{x}}}}}}}}}_{2}^{{\prime} }){c}_{{s}_{1}^{{\prime} },+}^{}({{{{{{{{\boldsymbol{x}}}}}}}}}_{1}^{{\prime} })\rangle \to {n}_{0}{({\Psi }_{{{{{{{{\rm{F}}}}}}}}}^{*}({{{{{{{{\boldsymbol{x}}}}}}}}}_{12}))}_{{s}_{1},{s}_{2}}{({\Psi }_{{{{{{{{\rm{F}}}}}}}}}({{{{{{{{\boldsymbol{x}}}}}}}}}_{12}^{{\prime} }))}_{{s}_{1}^{{\prime} },{s}_{2}^{{\prime} }}\), with ΨF ≠ 0, as \(| {{{{{{{{\boldsymbol{x}}}}}}}}}_{j}-{{{{{{{{\boldsymbol{x}}}}}}}}}_{j}^{{\prime} }| \to \infty\) at finite x12 = x1 − x2 and \({{{{{{{{\boldsymbol{x}}}}}}}}}_{12}^{{\prime} }={{{{{{{{\boldsymbol{x}}}}}}}}}_{1}^{{\prime} }-{{{{{{{{\boldsymbol{x}}}}}}}}}_{2}^{{\prime} }\), to leading (first) order in ϕ0 (see Supplementary Appendix E); as non-zero ΨF to linear order in ϕ0 implies that it cannot vanish identically for generic ϕ0, this is sufficient to show the presence of ODLRO. We find the “macroscopic wave function” to be a singlet, ΨF(x) = isyψF(x), as expected since spin-rotation symmetry is preserved at finite T, with ψF(x) shown in Fig. 5a. Alternatively, one can demonstrate ODLRO to arbitrary order in ϕ0, by focusing on the bosons: to zeroth order in λ, we find \(\langle ({{{{{{{{\boldsymbol{d}}}}}}}}}^{{{{\dagger}}} }({{{{{{{{\boldsymbol{x}}}}}}}}}_{1}){{{{{{{\boldsymbol{N}}}}}}}}({{{{{{{{\boldsymbol{x}}}}}}}}}_{2}))({{{{{{{\boldsymbol{d}}}}}}}}({{{{{{{{\boldsymbol{x}}}}}}}}}_{1}^{{\prime} }){{{{{{{\boldsymbol{N}}}}}}}}({{{{{{{{\boldsymbol{x}}}}}}}}}_{2}^{{\prime} }))\rangle \to {\psi }_{{{{{{{{\rm{B}}}}}}}}}^{*}({{{{{{{{\boldsymbol{x}}}}}}}}}_{12}){\psi }_{{{{{{{{\rm{B}}}}}}}}}({{{{{{{{\boldsymbol{x}}}}}}}}}_{12}^{{\prime} })\) as \(| {{{{{{{{\boldsymbol{x}}}}}}}}}_{j}-{{{{{{{{\boldsymbol{x}}}}}}}}}_{j}^{{\prime} }| \to \infty\), with ψB(x) plotted in Fig. 5b along with an analytic asymptotic form for large x; in Supplementary Appendix F, we show that this leads to the same constraints as the conventional form of bosonic ODLRO57,58.
a The fermionic and b the bosonic ODLRO “macroscopic wavefunction''. The mass rϕ [in units of \({r}_{N}^{-1/2}{v}_{N}^{-2}\)], superfluid density ρ [\({r}_{N}^{-3/2}{v}_{N}^{-2}\)], and velocity v2 [\({r}_{N}^{-3/2}\)] of \({{{{{{{{\mathcal{S}}}}}}}}}_{{{{{{{{\rm{GL}}}}}}}}}\) in Eq. (12) as a function of rd and \({v}_{d}^{2}\) are shown in (c) and (d), respectively.
Finally, the connection to the textbook theory of superconductivity can be made more explicit by deriving the analog of the time-dependent Ginzburg–Landay theory: we reinstate fluctuations via ϕ0 → ϕ(x, τ) and integrate out all other degrees of freedom yielding
to leading order in ϕ and gauge-covariant derivatives \({({D}_{\tau },{{{{{{{\boldsymbol{D}}}}}}}})}_{\mu }={\partial }_{\mu }-i2e{A}_{\mu }\). We evaluated the coefficients in \({{{{{{{{\mathcal{S}}}}}}}}}_{{{{{{{{\rm{GL}}}}}}}}}\) to leading (zeroth) order in \({{{{{{{{\mathcal{S}}}}}}}}}_{c}\) and find ρ, vϕ > 0 and rϕ < 0 for low T (see Supplementary Appendix G); the state with QLRO in ϕ0 thus corresponds, as usual, to the Higgs phase, with Meissner effect and massive Higgs mode, but without Goldstone modes.
Discussion
We have studied the finite-T vestigial phases, see Fig. 1, associated with two primary order parameters, d and N, describing a fully gapped triplet superconductor and spin magnetism, respectively. While this includes phases where only broken time-reversal symmetry (C) or charge-4e pairing (phase A) can survive finite-temperature fluctuations, our main focus has been on phase B1,2, which is best thought of as a condensate of spin-0 bosons ϕ formed by two electrons in a triplet state and an electron and a hole, which are also in a triplet configuration. This defines a Higgs phase without any broken symmetry, effective time-dependent Ginzburg–Landau-like action given by Eq. (12), and ODLRO; meanwhile, its spectral electronic properties are very unusual: as can be seen in Fig. 2(d) and Fig. 4(c), varying 〈ϕ〉 = ϕ0 changes the low-energy DOS from partial suppression, akin to that of a nodal superconducting state, to a hard gap.
We emphasize that such a state is generically expected to emerge in a range of small but finite temperatures in a two-dimensional system that exhibits triplet superconductivity and spin magnetism at T = 0. The current experiment indicates that alternating-twist-angle graphene moiré superlattices indeed realize this phenomenologically and, thus, provide an ideal testbed for this theory. In fact, recent tunneling data in the superconducting state34,35 show a V-shaped DOS that can become U-shaped upon doping. While this could also be explained by an exotic interband order parameter63, our proposed state provides a very natural interpretation of these observations: the value of ϕ0 is expected to vary from sample to sample and also change with electron filling, likely decreasing when moving further away from the insulator, which would lead to a transition from U- to V-shaped, as seen in experiment34. We finally point out that the suppression of N would immediately also suppress ϕ0 in our model and could, therefore, explain why superconductivity is connected to the reset behavior in trilayer graphene34,35,39,40.
Naturally, there are many open questions related to the novel state we propose here, such as understanding quantitative differences in its electromagnetic response, such as penetration depth, compared to a conventional BCS state and its behavior under the influence of disorder. Furthermore, it would be interesting to study the exotic spectral properties with other techniques such as Monte-Carlo simulations and dynamical mean-field theory. We leave this for future work.
Methods
Mean-field form of the bosonic interactions
In the discussion above, we viewed the field theory defined by the action \({{{{{{{\mathcal{S}}}}}}}}={{{{{{{{\mathcal{S}}}}}}}}}_{e}+{{{{{{{{\mathcal{S}}}}}}}}}_{\chi }+{{{{{{{{\mathcal{S}}}}}}}}}_{c}+{{{{{{{{\mathcal{S}}}}}}}}}_{V}\) as an effective low-energy theory that arises when high-energy electronic degrees of freedom have already been integrated out. Due to the symmetry and locality constraints, it only depends on a few parameters, rμ, vμ, b1,2,3, c1,2. As can be seen in Fig. 1(c), in particular, (the sign of) the parameters c1 and b2 entering V crucially determine the phase of the system. We here provide an estimate for these parameters by computing them from high-energy electronic degrees of freedom within the mean-field theory. To this end, we replace the bosonic fields with classical homogeneous and time-independent vectors, Nq → δq,0N, dq → δq,0d, in \({{{{{{{{\mathcal{S}}}}}}}}}_{e}+{{{{{{{{\mathcal{S}}}}}}}}}_{\chi }+{{{{{{{{\mathcal{S}}}}}}}}}_{c}\); this yields
which we now view as our full action, also containing the high-energy degrees of freedom. Integrating out the electronic degrees of freedom and expanding the resulting action in terms of N and d to quartic order, one obtains exactly the same terms as in V in Eq. (1), as expected by symmetry. Moreover, one finds
As stated in the main text, this places us into phase (B). We note, however, that fluctuation corrections to the mean field can modify the values of these coupling constants significantly46,64,65. For instance, ferromagnetic fluctuations can change the sign of b2 to positive values46.
Data availability
The data generated in this study are available in the Zenodo database under the accession code https://zenodo.org/records/10547103.
Code availability
The codes used to generate the plots are available from the corresponding author upon request.
References
Fradkin, E., Kivelson, S. A. & Tranquada, J. M. Colloquium: theory of intertwined orders in high temperature superconductors. Rev. Mod. Phys. 87, 457–482 (2015).
Nie, L., Tarjus, G. & Kivelson, S. A. Quenched disorder and vestigial nematicity in the pseudogap regime of the cuprates. Proc. Natl Acad. Sci. USA 111, 7980–7985 (2014).
Fernandes, R. M., Orth, P. P. & Schmalian, J. Intertwined vestigial order in quantum materials: nematicity and beyond. Annu. Rev. Condens. Matter Phys. 10, 133–154 (2019).
Berg, E., Fradkin, E. & Kivelson, S. A. Charge-4e superconductivity from pair-density-wave order in certain high-temperature superconductors. Nat. Phys. 5, 830–833 (2009).
Fernandes, R. M. & Fu, L. Charge- 4 e superconductivity from multicomponent nematic pairing: application to twisted bilayer graphene. Phys. Rev. Lett. 127, 047001 (2021).
Jian, S.-K., Huang, Y. & Yao, H. Charge- 4 e superconductivity from nematic superconductors in two and three dimensions. Phys. Rev. Lett. 127, 227001 (2021).
Zeng, M., Hu, L.-H., Hu, H.-Y., You, Y.-Z. & Wu, C. Phase-fluctuation induced time-reversal symmetry breaking normal state. Preprint at arXiv https://doi.org/10.48550/arXiv.2102.06158 (2021).
Song, F.-F. & Zhang, G.-M. Phase coherence of pairs of cooper pairs as quasi-long-range order of half-vortex pairs in a two-dimensional bilayer system. Phys. Rev. Lett. 128, 195301 (2022).
Maccari, I., Carlström, J. & Babaev, E. Possible time-reversal-symmetry-breaking fermionic quadrupling condensate in twisted bilayer graphene. Phys. Rev. B 107, 064501 (2023).
Chung, S. B. & Kim, S. K. Berezinskii-Kosterlitz-Thouless transition transport in spin-triplet superconductor. SciPost Phys. Core 5, 003 (2022).
Jiang, Y.-F., Li, Z.-X., Kivelson, S. A. & Yao, H. Charge-$4e$ superconductors: a Majorana quantum Monte Carlo study. Phys. Rev. B 95, 241103 (2017).
Li, P., Jiang, K. & Hu, J. Charge 4e superconductor: a wavefunction approach. Preprint at arXiv https://doi.org/10.48550/arXiv.2209.13905 (2022).
Gnezdilov, N. V. & Wang, Y. Solvable model for a charge-$4e$ superconductor. Phys. Rev. B 106, 094508 (2022).
Curtis, J. B. et al. Stabilizing fluctuating spin-triplet superconductivity in graphene via induced spin-orbit coupling. Phys. Rev. Lett. 130, 196001 (2023).
Garaud, J. & Babaev, E. Effective model and magnetic properties of the resistive electron quadrupling state. Phys. Rev. Lett. 129, 087602 (2022).
Pan, Z., Lu, C., Yang, F. & Wu, C. Frustrated superconductivity and “charge-6e" ordering. Preprint at arXiv https://doi.org/10.48550/arXiv.2209.13745. (2022).
Yu, Y. Non-uniform vestigial charge-4e phase in the Kagome superconductor CsV$_3$Sb$_5$. Preprint at arXiv https://doi.org/10.48550/arXiv.2210.00023. (2022).
Zhou, S. & Wang, Z. Chern Fermi pocket, topological pair density wave, and charge-4e and charge-6e superconductivity in kagomé superconductors. Nat. Commun. 13, 7288 (2022).
Grinenko, V. et al. State with spontaneously broken time-reversal symmetry above the superconducting phase transition. Nat. Phys. 17, 1254–1259 (2021).
Ge, J. et al. Discovery of charge-4e and charge-6e superconductivity in kagome superconductor CsV3Sb5. Preprint at arXiv https://doi.org/10.48550/arXiv.2201.10352. (2022).
Andrei, E. Y. & MacDonald, A. H. Graphene bilayers with a twist. Nat. Mater. 19, 1265–1275 (2020).
Balents, L., Dean, C. R., Efetov, D. K. & Young, A. F. Superconductivity and strong correlations in moiré flat bands. Nat. Phys. 16, 725–733 (2020).
Kerelsky, A. et al. Maximized electron interactions at the magic angle in twisted bilayer graphene. Nature 572, 95–100 (2019).
Cao, Y. et al. Nematicity and competing orders in superconducting magic-angle graphene. Science 372, 264–271 (2021).
Rubio-Verdú, C. et al. Moiré nematic phase in twisted double bilayer graphene. Nat. Phys. 18, 196–202 (2022).
He, M. et al. Symmetry-Broken Chern Insulators in Twisted Double Bilayer Graphene. Nano Lett. 23, 23, 11066–11072 (2023).
Polshyn, H. et al. Topological charge density waves at half-integer filling of a moiré superlattice. Nat. Phys. 18, 42–47 (2022).
Siriviboon, P. et al. A new flavor of correlation and superconductivity in small twist-angle trilayer graphene. Preprint at arXiv https://doi.org/10.48550/arXiv.2112.07127. (2022).
Sharpe, A. L. et al. Emergent ferromagnetism near three-quarters filling in twisted bilayer graphene. Science 365, 605–608 (2019).
Polshyn, H. et al. Electrical switching of magnetic order in an orbital Chern insulator. Nature 588, 66–70 (2020).
Chen, S. et al. Electrically tunable correlated and topological states in twisted monolayer–bilayer graphene. Nat. Phys. 17, 374–380 (2021).
Kuiri, M. et al. Spontaneous time-reversal symmetry breaking in twisted double bilayer graphene. Nat. Commun. 13, 6468 (2022). 2204.03442.
Lin, J.-X. et al. Zero-field superconducting diode effect in small-twist-angle trilayer graphene. Nat. Phys. 18, 1221–1227 (2022).
Kim, H. et al. Evidence for unconventional superconductivity in twisted trilayer graphene. Nature 606, 494–500 (2022).
Oh, M. et al. Evidence for unconventional superconductivity in twisted bilayer graphene. Nature 600, 240–245 (2021).
Cao, Y. et al. Unconventional superconductivity in magic-angle graphene superlattices. Nature 556, 43–50 (2018).
Wong, D. et al. Cascade of electronic transitions in magic-angle twisted bilayer graphene. Nature 582, 198–202 (2020).
Zondiner, U. et al. Cascade of phase transitions and Dirac revivals in magic-angle graphene. Nature 582, 203–208 (2020).
Park, J. M., Cao, Y., Watanabe, K., Taniguchi, T. & Jarillo-Herrero, P. Tunable strongly coupled superconductivity in magic-angle twisted trilayer graphene. Nature 590, 249–255 (2021).
Hao, Z. et al. Electric field–tunable superconductivity in alternating-twist magic-angle trilayer graphene. Science 371, 1133–1138 (2021).
Morissette, E. et al. Dirac revivals drive a resonance response in twisted bilayer graphene. Nature Physics 19, 1156–1162 (2023)
Scammell, H. D., Li, J. I. A. & Scheurer, M. S. Theory of zero-field superconducting diode effect in twisted trilayer graphene. 2D Mater. 9, 025027 (2022).
Sainz-Cruz, H., Pantaleón, P. A., Phong, V. T., Jimeno-Pozo, A. & Guinea, F. Junctions and superconducting symmetry in twisted bilayer graphene. Phys. Rev. Lett. 131, 016003 (2023).
Lake, E., Patri, A. S. & Senthil, T. Pairing symmetry of twisted bilayer graphene: a phenomenological synthesis. Phys. Rev. B 106, 104506 (2022).
Xu, C. & Balents, L. Topological superconductivity in twisted multilayer graphene. Phys. Rev. Lett. 121, 087001 (2018).
Scheurer, M. S. & Samajdar, R. Pairing in graphene-based moir\’e superlattices. Phys. Rev. Res. 2, 033062 (2020).
Sukhachov, P. O., von Oppen, F. & Glazman, L. I. Andreev reflection in scanning tunneling spectroscopy of unconventional superconductors. Phys. Rev. Lett. 130, 216002 (2023).
Islam, S. F., Zyuzin, A. Y. & Zyuzin, A. A. Unconventional superconductivity with preformed pairs in twisted bilayer graphene. Phys. Rev. B 107, L060503 (2023).
Ar. Abanov, A. V. C. & Schmalian, J. Quantum-critical theory of the spin-fermion model and its application to cuprates: normal state analysis. Adv. Phys. 52, 119–218 (2003).
Fernandes, R. M., Chubukov, A. V., Knolle, J., Eremin, I. & Schmalian, J. Preemptive nematic order, pseudogap, and orbital order in the iron pnictides. Phys. Rev. B 85, 024534 (2012).
Fitzpatrick, A. L., Kachru, S., Kaplan, J. & Raghu, S. Non-Fermi-liquid behavior of large- N B quantum critical metals. Phys. Rev. B 89, 165114 (2014).
Werman, Y. & Berg, E. Mott-Ioffe-Regel limit and resistivity crossover in a tractable electron-phonon model. Phys. Rev. B 93, 075109 (2016).
Kyung, B., Hankevych, V., Daré, A.-M. & Tremblay, A.-M. S. Pseudogap and spin fluctuations in the normal state of the electron-doped cuprates. Phys. Rev. Lett. 93, 147004 (2004).
Vilk, Y. M. & Tremblay, A.-M. S. Non-perturbative many-body approach to the hubbard model and single-particle pseudogap. J. de. Phys. I 7, 1309–1368 (1997).
Scheurer, M. S. et al. Topological order in the pseudogap metal. Proc. Natl Acad. Sci. USA 115, E3665–E3672 (2018).
Ye, M., Wang, Z., Fernandes, R. M. & Chubukov, A. V. Location and thermal evolution of the pseudogap due to spin fluctuations. Phys. Rev. B 108, 115156 (2023). 2304.08623.
Penrose, O. & Onsager, L. Bose-Einstein condensation and liquid helium. Phys. Rev. 104, 576–584 (1956).
Penrose, O. CXXXVI. On the quantum mechanics of helium II. Lond. Edinb. Dublin Philos. Mag. J. Sci. 42, 1373–1377 (1951).
Yang, C. N. Concept of off-diagonal long-range order and the quantum phases of liquid He and of superconductors. Rev. Mod. Phys. 34, 694–704 (1962).
Sewell, G. L. Off-diagonal long-range order and the Meissner effect. J. Stat. Phys. 61, 415–422 (1990).
Nieh, H. T., Su, G. & Zhao, B.-H. Off-diagonal long-range order: Meissner effect and flux quantization. Phys. Rev. B 51, 3760–3764 (1995).
Sewell, G. L. Off-diagonal long range order and superconductive electrodynamics. J. Math. Phys. 38, 2053–2071 (1997).
Christos, M., Sachdev, S. & Scheurer, M. S. Nodal band-off-diagonal superconductivity in twisted graphene superlattices. Nature Communications 14, 7134 (2023).
Fernandes, R. M. & Millis, A. J. Nematicity as a probe of superconducting pairing in iron-based superconductors. Phys. Rev. Lett. 111, 127001 (2013).
Kozii, V., Isobe, H., Venderbos, J. W. F. & Fu, L. Nematic superconductivity stabilized by density wave fluctuations: possible application to twisted bilayer graphene. Phys. Rev. B 99, 144507 (2019).
Acknowledgements
We thank Rafael Fernandes, Victor Gurarie, Peter Orth, and Subir Sachdev for fruitful discussions on the project and Jakob Wessling for a related collaboration. M.S.S. acknowledges funding from the European Union (ERC-2021-STG, Project 101040651—SuperCorr). Views and opinions expressed are, however those of the authors only and do not necessarily reflect those of the European Union or the European Research Council Executive Agency. Neither the European Union nor the granting authority can be held responsible for them. P.P.P. acknowledges support from the Laboratory for Physical Sciences through the Condensed Matter Theory Center.
Funding
Open Access funding enabled and organized by Projekt DEAL.
Author information
Authors and Affiliations
Contributions
P.P.P. and M.S.S. performed the research and wrote the paper.
Corresponding authors
Ethics declarations
Competing interests
The authors declare no competing interests.
Peer review
Peer review information
Nature Communications thanks the anonymous reviewer(s) for their contribution to the peer review of this work. A peer review file is available.
Additional information
Publisher’s note Springer Nature remains neutral with regard to jurisdictional claims in published maps and institutional affiliations.
Supplementary information
Rights and permissions
Open Access This article is licensed under a Creative Commons Attribution 4.0 International License, which permits use, sharing, adaptation, distribution and reproduction in any medium or format, as long as you give appropriate credit to the original author(s) and the source, provide a link to the Creative Commons licence, and indicate if changes were made. The images or other third party material in this article are included in the article’s Creative Commons licence, unless indicated otherwise in a credit line to the material. If material is not included in the article’s Creative Commons licence and your intended use is not permitted by statutory regulation or exceeds the permitted use, you will need to obtain permission directly from the copyright holder. To view a copy of this licence, visit http://creativecommons.org/licenses/by/4.0/.
About this article
Cite this article
Poduval, P.P., Scheurer, M.S. Vestigial singlet pairing in a fluctuating magnetic triplet superconductor and its implications for graphene superlattices. Nat Commun 15, 1713 (2024). https://doi.org/10.1038/s41467-024-45950-4
Received:
Accepted:
Published:
Version of record:
DOI: https://doi.org/10.1038/s41467-024-45950-4
This article is cited by
-
Nodal band-off-diagonal superconductivity in twisted graphene superlattices
Nature Communications (2023)







