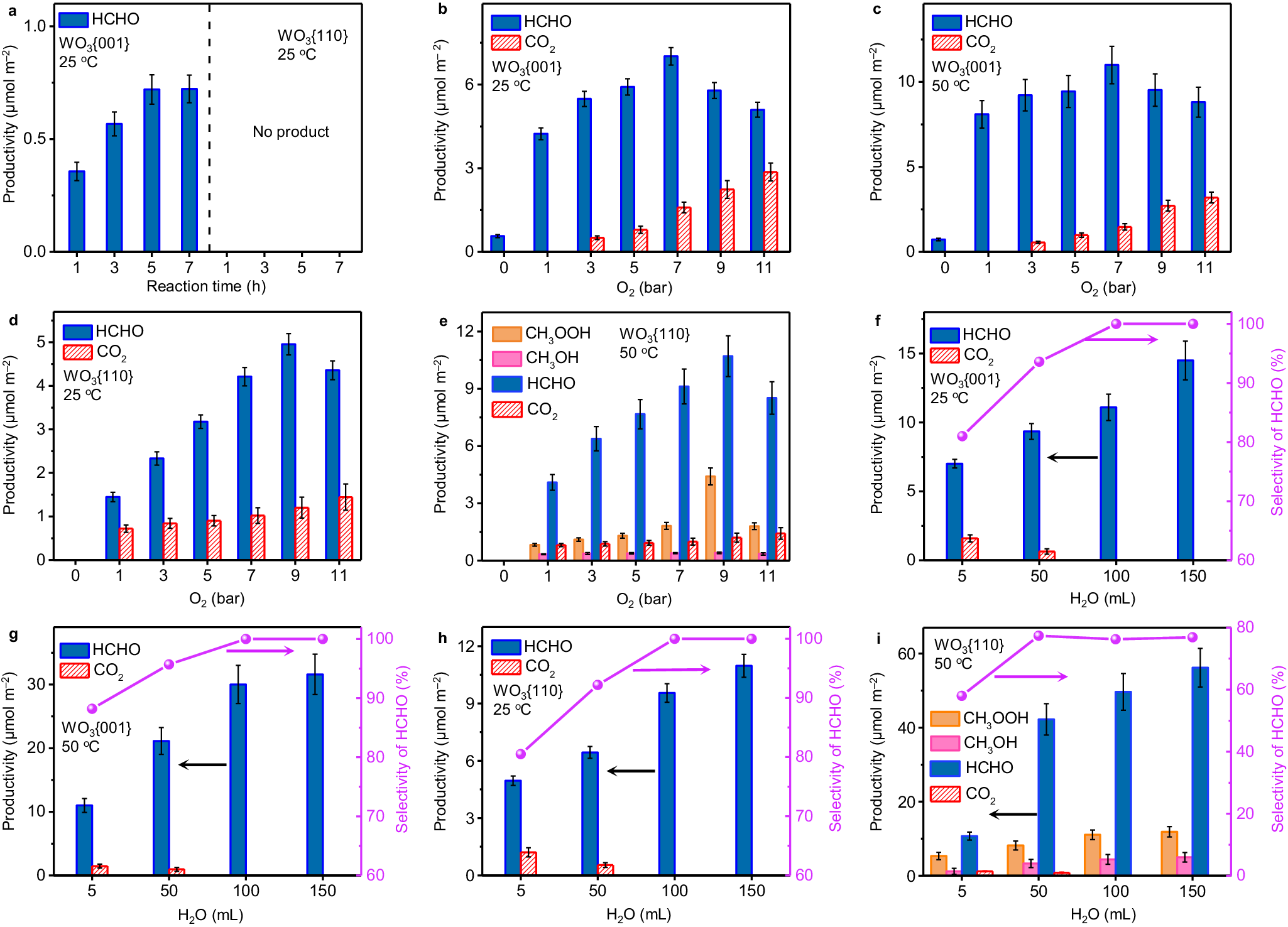
Fig. 3: Photocatalytic oxidation of CH4 under different conditions.
From: Insight into selectivity of photocatalytic methane oxidation to formaldehyde on tungsten trioxide

a Photocatalytic CH4 oxidation performance on WO3{001} and WO3{110} in pure CH4 atmospheres with reaction time prolonging at 25 oC. b Photocatalytic CH4 oxidation performance on WO3{001} at 25 oC and (c) 50 oC with variation of O2 amounts. d Photocatalytic CH4 oxidation performance on WO3{110} at 25 oC and (e) 50 oC with variation of O2 amount. f Photocatalytic CH4 oxidation performance on WO3{001} at 25 oC and (g) 50 oC with variation of H2O amount. h Photocatalytic CH4 oxidation performance on WO3{110} at 25 oC and (i) 50 oC with variation of H2O amount. Reaction condition: (a–e) 10 mg catalyst, 3 h reaction time, Xenon light 150 mW cm–2, 5 mL H2O, pressures of CH4 + O2 = 20 bar; (f–i) 10 mg catalyst, 3 h reaction time, Xenon light 150 mW cm–2, 7 bar O2 + 13 bar CH4 (WO3{001}), 9 bar O2 + 11 bar CH4 (WO3{110}). Error bars indicate standard deviations.