Abstract
Tungsten trioxide (WO3) has been recognized as the most promising photocatalyst for highly selective oxidation of methane (CH4) to formaldehyde (HCHO), but the origin of catalytic activity and the reaction manner remain controversial. Here, we take {001} and {110} facets dominated WO3 as the model photocatalysts. Distinctly, {001} facet can readily achieve 100% selectivity of HCHO via the active site mechanism whereas {110} facet hardly guarantees a high selectivity of HCHO along with many intermediate products via the radical way. In situ diffuse reflectance infrared Fourier transform spectroscopy, electron paramagnetic resonance and theoretical calculations confirm that the competitive chemical adsorption between CH4 and H2O and the different CH4 activation routes on WO3 surface are responsible for diverse CH4 oxidation pathways. The microscopic mechanism elucidation provides the guidance for designing high performance photocatalysts for selective CH4 oxidation.
Similar content being viewed by others
Introduction
Photocatalytic CH4 oxidation using semiconductor and solar light enables green synthesis of one-carbon (C1) oxygenates like methanol (CH3OH) and HCHO to supply the key feedstock for chemicals production1,2. Compared with CH3OH, the photocatalytic CH4 oxidation to HCHO is more scientifically challenging. This is because, in contrast to one step conversion of CH4 to CH3OH, the preparation of HCHO from CH4 oxidation generally needs to undergo multiple intermediates conversion1,3,4, and moreover HCHO is easily overoxidized to carbon dioxide (CO2)3.
To date, numerous semiconductor photocatalysts for CH4 oxidation to HCHO have been examined, such as titanium dioxide5,6, zinc oxide1,7 and WO38,9,10. Amongst, WO3 is the only catalyst reported to be capable of generating HCHO with unity selectivity9,10. Unfortunately, due to the complex reaction process, diverse mechanisms on CH4 oxidation to HCHO in WO3 system have been proposed (Fig. 1)8,9,11,12,13,14, which in turn provide the confused guidance for the photocatalyst design. Generally, we classify the reaction mechanisms in Fig. 1 into two pathways. Mechanisms 1–5 represent the radical processes of HCHO formation through CH4 → CH3OOH → CH3OH → HCHO12,15. Owing to the excessive existence of intermediates (CH3OOH, CH3OH), the radical reaction processes are not conducive to the highly selective production of HCHO. Alternatively, mechanism 6 involves the active site, where CH4 is oxidized by lattice-O of WO3 to directly make HCHO9. Apparently, the selectivity of HCHO in mechanism 6 approaches 100%. However, the crucial factors that drive photocatalysts, not limited to WO3, following the desirable reaction mechanism remain largely unexplored.
Reported oxidation of CH4 to HCHO on WO3 photocatalyst following six types of reaction mechanisms.
In this work, we aim at understanding the origin of activity and selectivity of WO3 photocatalysts upon CH4 oxidation to HCHO. To simplify the investigation, all the reactions are performed under the identical reaction condition using WO3 with the same crystal structure as photocatalysts. Such prerequisite guarantees that the distinct reaction performance only correlates with the surface coordination environment of WO3. Therefore, we intentionally select the WO3 samples with same crystal structure but enclosed by different facets as the candidates to inspect the surface effect.
Results and discussion
Synthesis and characterization of catalysts
The WO3 photocatalysts enclosed by {001} and {110}, named as WO3{001} and WO3{110}, were synthesized by 180 oC hydrothermal treatment of Na2WO4•2H2O followed by calcination at 300 oC (Fig. 2a). It is noted that the hydrothermal process with polyvinylpyrrolidone (PVP) as capping agent or ammonium ion (NH4+) as the directing agent facilitates the formation of {001} and {110} facets of WO3, respectively. Furthermore, characterization results of temperature-programmed desorption of O2 (O2-TPD), X-ray photoelectron spectroscopy (XPS) and Fourier-transform infrared spectroscopy (FTIR) confirm that the calcination at 300 oC results in full removal of the chemical adsorbed O2 and the capping PVP or NH4+ from the catalyst surface (Supplementary Figs. 1–3). As shown in Fig. 2b, c, as-prepared WO3{001} and WO3{110} are of nanosheet and nanowire morphology, respectively. Their dominant surfaces are scrutinized by high-resolution transmission electron microscope (HRTEM) imaging with fast Fourier transformations (FFT). Figure 2d presents the clear lattice fringes of (110) (d = 0.37 nm) and (100) (d = 0.70 nm), suggesting that the electron beam transmits perpendicular to the exposed {001} crystal surface of WO3 nanosheet (Supplementary Fig. 4). Likewise, perpendicularly to {110} surface (Fig. 2e), lattice fringes of (110) (d = 0.37 nm) and (002) (d = 0.38 nm) are discerned in parallel with the long and short sides of WO3 nanowire. To further get the information on the surface composition, the high-resolution O1s XPS spectra of WO3{001} (Fig. 2f) and WO3{110} (Fig. 2g) are recorded, in which only lattice-O (ca. 530.4 eV)16,17,18 and OH species (ca. 531.8 eV)19,20 are distinguished without adsorbed O2. The OH species results from the surface hydroxide17,18,21, and the absence of chemisorbed O2 is consistent with the O2-TPD test (Supplementary Fig. 2b)2,22. Finally, the X-ray diffraction (XRD) patterns indicate that both WO3{001} and WO3{110} possess the hexagonal crystal structure (Supplementary Fig. 5).
a Scheme of preparation process of WO3{001} and WO3{110}. b TEM images of WO3{001} and (c) WO3{110}. The insert is single WO3{110} nanowire with the scale bar as 10 nm. d HRTEM images of WO3{001} and (e) WO3{110} with the inset FFT images. f High-resolution O1s XPS spectra of WO3{001} and (g) WO3{110} after 300 oC calcination.
Photocatalytic CH4 oxidation performance
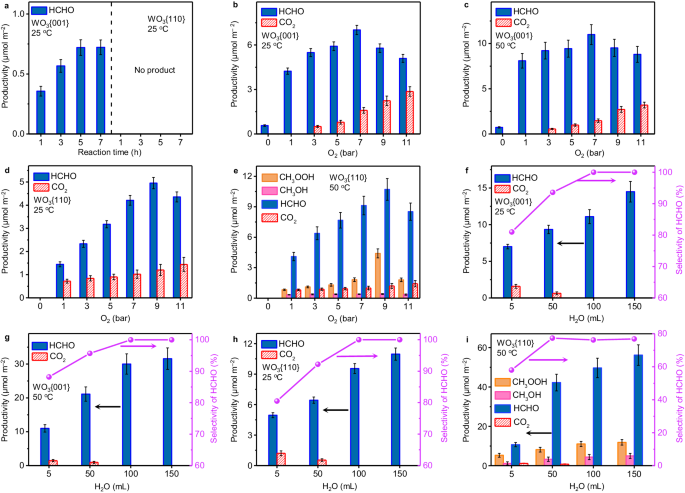
Following the previous reports1,3,4, we carried out the photocatalytic CH4 oxidation with aqueous solution in a high-pressure reactor, where the total pressure of CH4 and O2 was maintained at 20 bar and the volume of H2O was fixed at 5 mL. Reaction temperature was controlled at 25 oC or 50 oC using water circulation to investigate the temperature effect. Before the photocatalytic experiments, the nitrogen adsorption–desorption isotherm curves were utilized to calculate the multipoint Brunauer–Emmett–Teller specific surface area of WO3{001} (Supplementary Fig. 6a–c) and WO3{110} (Supplementary Fig. 6d–f), being 15.70 m2 g–1 and 16.63 m2 g–1, respectively. We notice that the ratio of the specific surface area (0.94) of WO3{001}/WO3{110} is similar to that of the geometric surface area (~1, Supplementary Figs. 7–9). Thus, we take the specific surface area of WO3{001}and WO3{110} for catalytic activity comparison. The WO3{001} and WO3{110} samples were first subjected to pure CH4 atmosphere to reveal their intrinsic oxidation property. Only HCHO without other liquid products is produced on WO3{001} at both 25 oC (Fig. 3a, Supplementary Fig. 10) and 50 oC (Supplementary Fig. 11), indicating that CH4 is directly oxidized to HCHO not through other intermediates. The absence of CO2 is possibly ascribed to the low concentration of HCHO, which is not enough to be overoxidized (Supplementary Fig. 12). With the reaction time prolonging, the productivity of HCHO does not increase after 5 h (0.72 μmol m–2). Since H2O and WO3{001} are sole oxygen sources in pure CH4 atmosphere, the O-atom of HCHO must originate from one of them. If the abundant H2O is the oxygen source, the HCHO formation from CH4 oxidation will not stop at 5 h. Thus, we speculate that the finite surface lattice-O from WO3{001} provides the O-atom of HCHO and limits it production in CH4 atmosphere as previously reported9,10. It is worth mentioning that during the CH4 oxidation on WO3{001}, no H2 product is detected (Supplementary Fig. 13). As for WO3{110} system, no product is found in CH4 atmosphere at both 25 oC (Fig. 3a, Supplementary Figs. 14, 15) and 50 oC (Supplementary Fig. 11). Thus, we deduce that the lattice-O of WO3{110} cannot oxidize CH4 to HCHO.
a Photocatalytic CH4 oxidation performance on WO3{001} and WO3{110} in pure CH4 atmospheres with reaction time prolonging at 25 oC. b Photocatalytic CH4 oxidation performance on WO3{001} at 25 oC and (c) 50 oC with variation of O2 amounts. d Photocatalytic CH4 oxidation performance on WO3{110} at 25 oC and (e) 50 oC with variation of O2 amount. f Photocatalytic CH4 oxidation performance on WO3{001} at 25 oC and (g) 50 oC with variation of H2O amount. h Photocatalytic CH4 oxidation performance on WO3{110} at 25 oC and (i) 50 oC with variation of H2O amount. Reaction condition: (a–e) 10 mg catalyst, 3 h reaction time, Xenon light 150 mW cm–2, 5 mL H2O, pressures of CH4 + O2 = 20 bar; (f–i) 10 mg catalyst, 3 h reaction time, Xenon light 150 mW cm–2, 7 bar O2 + 13 bar CH4 (WO3{001}), 9 bar O2 + 11 bar CH4 (WO3{110}). Error bars indicate standard deviations.
The effect of O2 on CH4 oxidation over WO3{001} and WO3{110} was revealed in the mixed CH4 + O2 atmosphere. Compared to the reaction of WO3{001} in pure CH4 atmosphere, the participation of 7 bar O2 brings ca. ninefold (7.05 μmol m–2 at 25 oC, Fig. 3b and Supplementary Fig. 16) and 15-fold (11.04 μmol m–2 at 50 oC, Fig. 3c and Supplementary Fig. 17) enhancement in the yield of HCHO. Benefitting from the rise of reaction temperature, the total yield is also increased by 1.45 times at 7 bar O2 from 8.68 μmol m–2 (25 oC) to 12.57 μmol m–2 (50 oC). The increased HCHO production is likely caused by the sustainable renewal of lattice-O with the added O2 for CH4 oxidation9,10, and the elevation of reaction temperature promotes this process. The descended HCHO production after 7 bar O2 may be attributed to the reduction in partial pressure of CH4 and the overoxidation to CO2 (Supplementary Figs. 18–20). As comparison, with the addition of O2, HCHO is also produced in WO3{110} system with the highest productivity of 4.96 μmol m–2 (Fig. 3d, Supplementary Figs. 21, 22) at 25 oC. To check if any other intermediates are formed, the reaction temperature is elevated to 50 oC and many types of liquid products including CH3OOH, CH3OH and HCHO are discerned (Fig. 3e, Supplementary Figs. 23–25). At 9 bar of O2, the yield of HCHO reaches a maximum value of 10.71 μmol m–2 (50 oC). The maximum total yield on WO3{110} is improved by 2.73 times by reaction temperature increasing from 25 oC to 50 oC, which is considerably higher than WO3{001}. Evidently, the HCHO formation on WO3{110} experiences the process of CH4 → CH3OOH → CH3OH → HCHO or CH4 → CH3OOH → HCHO. The descended liquid products on WO3{110} upon O2 pressure of larger than 9 bar are also assigned to the reduction in partial pressure of CH4 and the overoxidation to CO2. The distinct effect of reaction temperature on CH4 oxidation performance between WO3{001} and WO3{110} is attributed to their different kinetic properties of Arrhenius and non-Arrhenius behaviors, respectively, which are discussed detailedly in the reaction kinetics analysis part in supplementary information. The higher activation energy of CH4 oxidation on WO3{110} than WO3{001} leads to lower catalytic performance at 25 oC. However, the non-Arrhenius behavior on WO3{110} makes its reaction rate highly depend on the reaction temperature, thus the maximum productivity over WO3{110} surpasses WO3{001} at 50 oC. Besides, the promoted reaction rate of WO3{110} at 50 oC also accelerates the formation of intermediates, contributing to the appearance of CH3OOH and CH3OH signals.
The solvent volume has considerable influence on the photocatalytic selectivity and activity. With H2O volume increasing from 5 to 150 mL at the fixed pressure of 7 bar O2 and 13 bar CH4 in WO3{001} system, the productivity of HCHO increases to 14.49 μmol m–2 at 25 oC (Fig. 3f, Supplementary Fig. 26) or 31.59 μmol m–2 at 50 oC (Fig. 3g, Supplementary Fig. 27), possibly resulting from the improved dissolution of CH4 in H2O solvent7. Besides, the CO2 signal diminishes gradually and eventually disappears in 150 mL H2O (Supplementary Fig. 28, 25 oC and Supplementary Fig. 29, 50 oC), leading to the 100% selectivity of HCHO product. The disappearance of CO2 signal is attributed to the reduced concentration of HCHO as previously reported (Supplementary Figs. 26, 27)3,7. While for WO3{110}, all the yields of CH3OOH, CH3OH and HCHO grows with H2O volume increasing. Despite the selectivity of HCHO approaching 100% at 25 oC in 150 mL H2O (Fig. 3h, Supplementary Figs. 30, 31), it is only 73.73% when the reaction temperature rises to 50 oC (Fig. 3i, Supplementary Figs. 32–35). This result correlates with the non-Arrhenius dependence over WO3{110} involved with radical mechanism. Besides, the HCHO selectivity enhancement with H2O volume increasing from 5 to 150 mL for both WO3 {001} and WO3{110} in our work does not involve the change of reaction mechanism, which is described in supplementary information (Supplementary Figs. 36, 37). Both cyclic test and long-term reaction for CH4 oxidation on WO3{001} and WO3{110} reveal their excellent photocatalytic stability (Supplementary Figs. 38–45). Additional verification experiments were also accomplished. The measured quantum efficiency values of both WO3{001} and WO3{110} follow the their diffuse reflectance spectra (Supplementary Figs. 46–48 and Supplementary Table 1), implying that the oxidation of CH4 to HCHO on WO3{001} and WO3{110} involves photocatalytic reaction process. The contrast experiments in the absence of light, catalyst or CH4 do no acquire the products (Supplementary Table 2).
Mechanism investigation
In situ diffuse reflectance infrared Fourier transform spectroscopies (DRIFTS) performed in pure CH4 atmosphere with or without H2O addition are used to investigate the active site mechanism on WO3{001} for CH4 oxidation. Figure 4a, b shows that in pure CH4 atmosphere without H2O addition, no peak is observed prior to light irradiation (0 min, black curves) on both WO3{001} and WO3{110}. Once the light turns on, a series of peaks emerge on WO3 {001} (Fig. 4a). The peaks at 917, 1363 and 2830 cm–1 are attributed to the stretching vibration of C-H bond in the adsorbed *OCH3 species2, while the ones at 1149 and 1478 cm–1 are assigned to the vibration of adsorbed *CH2 species16,17. Both *OCH3 and *CH2 are believed as the crucial intermediates upon the direct CH4 oxidation to HCHO9. The peaks at 1251 and 1810 cm–1 are ascribed to the adsorbed HCHO* and C = O* species, further verifying the HCHO formation18,19. Note that the adsorbed HCOO* at 1381 and 1594 cm–1 might be the intermediate for overoxidation to CO22. Noteworthily, the consumption of lattice-O is evidenced by continuous descending of the W-O peak at 989 cm–1 below zero baseline20,21. Clearly, CH4 is steadily oxidized to HCHO by lattice-O of WO3{001}. As comparison, no rise of carboxyl peaks on WO3{110} is found along with irradiation time whereas a mass of lattice-O is lost (Fig. 4b). This result discloses that HCHO cannot be generated through CH4 oxidation by lattice-O of WO3{110}, which is consistent with the catalytic experiments (Fig. 3a). Besides, no new peak is observed in both WO3{001}and WO3{110} systems after addition of H2O (Supplementary Fig. 49) with CH4 atmosphere, indicating that H2O molecule does not involve in CH4 oxidation. The causes of lattice-O consumption on WO3{001} and WO3{110} as well as their quantitative comparison are explained in detail in the theoretical calculation section and the •OH radical analysis section see below. Moreover, the O1s XPS spectra of WO3{001} (Fig. 4c) and WO3{110} (Fig. 4d) after reaction in CH4 atmosphere were recorded to quantitatively measure the change of lattice-O. The intensity of lattice-O peaks is reduced by 25% (WO3{001}) and 35% (WO3{110}) after reaction in CH4 atmosphere (Supplementary Table 3), which is in accordance with the DRIFTS results. And the C = O peak (533.46 eV) is merely detected on WO3{001} but not on WO3{110}, presenting the HCHO production. Finally, the appearance of adsorbed O2 peak is attributed to surface oxygen vacancy, which is formed by the removal of surface lattice-O.
In situ DRIFTS spectra of (a) WO3{001} and (b) WO3{110} in CH4 atmosphere under different light irradiation time without H2O addition. Here, * denotes an adsorption site on surface. The inset is the magnified W-O peak. c High-resolution O1s XPS spectra of WO3{001} and (d) WO3{110} after reaction in CH4 atmosphere.
To explore the role of O2 in CH4 oxidation on WO3{001} and WO3{110}, in situ DRIFTS experiments were also conducted in the mixed CH4 + O2 atmosphere without (Fig. 5a, b) or with H2O addition (Supplementary Fig. 50a and 50b). Similar signals on WO3{001} emerge as that in CH4 atmosphere, indicating that there is no new surface reaction pathway (Fig. 5a and Supplementary Fig. 50a). Exceptionally, the W-O peak raises above the zero baseline (insets), signifying that the consumed lattice-O of WO3{001} is replenished adequately in O2 atmosphere. The regeneration of lattice-O is also confirmed by the O1s XPS of WO3{001} (Supplementary Fig. 51a). Such timely supplement of lattice-O guarantees the sustaining oxidation of CH4 to HCHO. For WO3{110} sample, similar signals are also found between CH4 + O2 atmosphere (Fig. 5b) and pure CH4 atmosphere (Fig. 4b) in absence of H2O. The negative W-O signal indicates that the lost lattice-O in WO3{110} could not be totally repaired in O2 atmosphere, which is also validated by 13.9% decrease in O1s XPS peak intensity (Supplementary Fig. 51b and Supplementary Table 4). After H2O addition in CH4 + O2 atmosphere, signals of *OCH3, C = O*, *CH2 and HCHO* appear on WO3{110} (Supplementary Fig. 50b). This result indicates that the photocatalytic CH4 oxidation reaction over WO3{110} is implemented through a radical process, and the addition of H2O enables the radical reaction pathway happening.
In situ DRIFTS spectra of (a) WO3{001} and (b) WO3{110} in the mixed CH4 + O2 atmosphere under different light irradiation time without H2O addition. Here, * denotes an adsorption site on surface. The insets highlight the magnified W-O peak.
To elucidate the different CH4 oxidation process on WO3{001} and WO3{110}, density functional theory (DFT) calculations were performed to examine their abilities responsible for CH4 and H2O adsorption as well as activation. Bridging O (Ob), terminal O (Ot) and W atoms are taken as the adsorption sites of CH4, respectively. It turns out that both WO3{001} (Fig. 6a, c) and WO3{110} (Fig. 6b, d) prefer CH4 adsorption on Ob sites (Ob-*CH4) instead of Ot (Ot-*CH4) and W sites (W-*CH4). To be specific for WO3{001}, through CH4 activation, a *CH3 group is formed and firmly adsorbed on its Ob site to generating *OCH3 group. Such species is confirmed by the rising *OCH3 signals in in situ DRIFTS spectra of WO3{001} in CH4 or CH4 + O2 atmospheres under light irradiation (Figs. 4a, 5a, Supplementary Figs. 49a, 50a). The positive energy of Ob + CH3(g) + *H (ΔE = 1.21 eV) means that the *CH3 group is hardly desorbed from WO3{001} surface. This deduction is proved by the EPR test of WO3{001} in CH4 or CH4 + O2 atmosphere, where no •CH3 radical is observed (Supplementary Fig. 52a). Alternatively, the •OH radical is derived from the adsorption of H2O molecules at Ob site (Ob-*H2O, Fig. 6a and Supplementary Fig. 53a) with subsequent oxidation, which is not involved in CH4 oxidation as proved by in situ DRIFTS spectra before (Figs. 4a and 5a) and after H2O addition (Supplementary Figs. 49a and 50a). Thus, the CH4 oxidation process of WO3{001} for HCHO generation goes through an active site mechanism rather than a radical mechanism. To explore whether the H2O oxidation on WO3{001} surface affects the CH4 oxidation mechanism through Ob site consumption, the •OH formation mechanism is investigated. According to previous reports, the formation of •OH radical via H2O oxidation can be divided into two ways: one is that both Ob and photohole participate in H2O oxidation to generate one oxygen vacancy and two •OH radicals (Ob + h+ + H2O → Vo + 2•OH)23,24,25; the other is simply hole oxidizing H2O to produce one H+ cation and one •OH radical without Ob consumption (h+ + H2O → H+ + •OH)23,26. As shown in Supplementary Fig. 54a and 55a, the positive energy of Vo + 2OH(g) (ΔE = 0.36 eV) on WO3{001} reveals that the •OH radical formation is not through the process of Ob + h+ + H2O → Vo + 2•OH. While the negative energy of *H + OH(g) (ΔE = −0.91 eV, Supplementary Figs. 54a and 55b) confirms that the •OH radical is generated through h+ + H2O → H+ + •OH process without Ob consumption. Therefore, the H2O oxidation on WO3{001} surface does not change the CH4 oxidation process as no Ob is consumed.
Energy diagrams of CH4 and H2O adsorption as well as CH4 activation on the surface of (a) WO3{001} and (b) WO3{110} at the active sites of Ob (blue line), Ot (red line) and W (green line). Atomic configurations for the corresponding steps in the simulation of (c) WO3{001} and (d) WO3{110} (red – O, orange – W, gray – C, white – H).
As for WO3{110}, Fig. 6b uncovers that after CH4 activation on Ob site of (Ob-*H + CH3(g)), the adsorbed *CH3 group is hardly formed and easily desorbed to form CH3(g) leaving Ob-H group. Thus, the active site mechanism of CH4 oxidation by lattice-O does not occur on WO3{110}. Due to the higher surface energy of WO3{110} (4.13 J m–2)22,27, the Ob-H is also easily desorbed to form oxygen vacancy, which is similar to the H2O oxidation to form oxygen vacancy and •OH radical discussed later. This is consistent with in situ DRIFTS results in CH4 atmosphere without H2O addition, where no CH4 oxidation is discerned only with the detected loss of W-O signal (Fig. 4b). Actually, in an aqueous environment, due to the large difference of energy between the adsorbed H2O and CH4 molecules on the surface of WO3{110} (Fig. 6b and Supplementary Fig. 53b), Ob preferentially adsorbs H2O molecules (Ob-*H2O) to block the adsorption of CH4 (Ob-*CH4). And as displayed in Supplementary Figs. 54b and 55c, the adsorbed H2O molecule is easily oxidized to •OH radical through Ob + h+ + H2O → Vo + 2•OH (ΔE = −1.24 eV, Vo + 2OH(g)). During this process, Ob is consumed along with oxygen vacancy generation, further excluding the possibility of CH4 oxidation at Ob active site. This is proved by the signal of W-O consumption in absence of CH4 activation in in situ DRIFTS spectra of WO3{110} in CH4 atmospheres with H2O addition (Supplementary Fig. 49b). Thereby, only •OH radical without •CH3 radical is observed in pure CH4 atmosphere for WO3{110} aqueous system (Supplementary Fig. 52b). Altogether, the CH4 oxidation process on WO3{110} for HCHO generation follows a radical mechanism instead of an active site mechanism. We note that the large difference in the energy for H2O molecules adsorption on surfaces of WO3{001} and WO3{110} stems from the number of hydrogen bonds formed. On WO3{001} surface, H2O molecule is adsorbed through one hydrogen bond, while on WO3{110} surface, two hydrogen bonds are formed after H2O adsorption. Therefore, WO3{110} has a higher adsorption capacity for H2O molecules than WO3{001}.
The reactive radical species in WO3{110} system is monitored by EPR spectroscopy. In pure O2 atmosphere, three signals at g = 2.027, 2.017 and 2.003 appear on WO3{110} surface upon photoirradiation (Fig. 7a). These three signals of orthorhombic symmetry are the characteristic hallmarks of surface-dwelling O2− anions2,5, which are stabilized at the W sites (Eqs. (1)–(4)). The surface-dwelling O2− anion is capable of breaking CH4 molecule to form •CH3 radical and •OOH radical (Eq. (5)) with the regeneration of oxygen vacancy (Eq. (6))5,28, which are proved by the 5,5-dimethyl-1-pyrroline N-oxide (DMPO) -•CH3 (Supplementary Fig. 52b) and DMPO-•OOH (Fig. 7b and Supplementary Fig. 56) signals in EPR spectra29, respectively. Finally, as-formed •CH3 radical combines with •OOH radical to produce CH3OOH (Eq. (7)) that is unstable and decomposed to CH3OH and HCHO (Eqs. (8), (9))7. Although •OH radical was also detected, it was mainly been quenched and not involved in oxygenates production, which has been explained in supplementary information (Supplementary Figs. 57–68). As previous reports5,30,31, CH3OOH can be spontaneously decomposed into HCHO, whereas the conversion of CH3OOH into CH3OH is an electron reduction process. Thus, Eq. (9) becomes the major pathway of HCHO formation. This is the reason why HCHO is the main product in WO3{110} system. Altogether, the rich oxygen vacancies in WO3{110} facilitate the formation of O2− anion, then promoting HCHO generation via the radical way. On the contrary, neither O2− anion (Supplementary Fig. 69a) nor •CH3 (Supplementary Fig. 69b) and •OOH (Supplementary Fig. 69c) radicals are observed in the WO3{001} system, excluding involvement of the radical process in HCHO formation. The redox potential energy for the intermediate formation over WO3{110} is provided in supplementary information (Supplementary Note 3).
a EPR spectra of WO3{110} in O2 atmosphere at 77 K temperature. The WO3{110} is the recycled sample after CH4 oxidation reaction without O2. b EPR spectrum of WO3{110} under light irradiation for 80 s with CH4 and O2 dissolved in methanol. DMPO is added to the reaction mixture as the radical trapping agent. The WO3{110} is the recycled sample after CH4 oxidation reaction without O2. c Band energy diagrams of WO3{001} and WO3{110}.
The energy band potential is also responsible for the distinct CH4 oxidation mechanism between WO3{001} and WO3{110}. The energy band structure of both WO3{001} (Fig. 7c and Supplementary Fig. 70) and WO3{110} (Fig. 7c and Supplementary Fig. 71) is established with the valence band energy of 2.86 V and 2.46 V vs normal hydrogen electrode (NHE) and the conduction band energy of 0.08 V and −0.06 V vs NHE, respectively. The formation potential of O2− anion from O2 reduction is reported to be −0.046 V vs NHE23, which is lower than −0.06 V of WO3{110} but higher than 0.08 V of WO3{001} (Fig. 7c). Therefore, WO3{110} rather than WO3{001} favors the formation of O2− anion, leading to the generation of HCHO through the radical way. Alternatively, it is known that the top of valence band of WO3 is mainly composed of O2p orbitals32,33, and the obvious photocurrent under irradiation (Supplementary Fig. 72) on both WO3{001} and WO3{110} manifests that their lattice-O is activated through loosing electron. The more positive valence band of WO3{001} than WO3{110} could contribute to the preferential oxidation of CH4 to HCHO by lattice-O.
Armed with the above results, we attain the insight into the photocatalytic mechanisms of WO3{001} (Fig. 8a) and WO3{110} (Fig. 8b) toward CH4 oxidation. In both cases of WO3{001} and WO3{110}, the CH4 molecules are preferentially attached to the lattice-Ob, which are disclosed by the DFT calculations (Fig. 6a, b). It is known that the valence band maximum of WO3 is mainly composed of O2p orbitals, meanwhile the conduction band minimum is mainly constituted by W5d orbitals9,34. Under light irradiation, the photoelectron from the valence band of WO3 is excited to the conduction band, that is, from O2p orbitals to W5d orbitals. This excitation makes the valence state of Ob change from O2– to O– and W atom from W6+ to W5+. Therein, the O– is the photohole (h+) and the W5+ is photoelectron (e–)34,35,36. After the CH4 adsorption at the Ob site, the O– (h+) of WO3{001} is able to insert into the C-H bond of CH4 molecule and sequentially forms the *OCH3 and *CH2 species, as shown in in situ DRIFTS spectra of WO3{001} in CH4 and CH4 + O2 atmospheres (Figs. 4a, 5a). Meanwhile the left H atom from CH4 is abstracted by adjacent -OH on W site via hydrogen atom transfer (HAT) process, as revealed by DFT results (Ob-*CH3 + *H, Fig. 6a, c). Finally, the *OCH2 species is desorbed to form HCHO molecule. During this process, the O– (h+) is consumed and e– makes the W partially reduced (W5+), which is inspected by the high-resolution W4f XPS spectra (Supplementary Fig. 73). The consumed Ob atom becomes an oxygen vacancy that is conducive to the adsorption of O2 molecule, as observed by the XPS spectra after photocatalytic reaction in pure CH4 atmosphere (Fig. 4c). The adsorbed O2 molecule is then reduced by photoelectrons (e–) from W5+ to fix the depleted Ob atom, which is confirmed by the XPS spectra after CH4 oxidation in CH4 + O2 atmosphere (Supplementary Fig. 51a, Supplementary Table 4) and in situ DRIFTS spectra of WO3{001} in CH4 + O2 atmosphere (Fig. 5a and Supplementary Fig. 50a). As a result, the e– is consumed. The above process involves the HCHO formation and the utilization route of photogenerated electron-hole pairs of WO3{001}.
a The schematic illustration of the proposed mechanism for photocatalytic oxidation of CH4 on WO3{001} and (b) WO3{110}. Vo is the oxygen vacancy.
As for WO3{110} (Fig. 8b), though the adsorbed CH4 molecule may be activated by lattice-Ob, the adsorbed *CH3 group is hardly formed as revealed by the DFT calculation (Fig. 6b, Ob-*H + CH3(g)). Moreover, the large adsorption energy of H2O (Fig. 6b, Ob-*H2O) at the Ob site further inhibits the above CH4 activation process. Upon H2O oxidation at the Ob site, the oxygen vacancy is formed by releasing •OH radical (Fig. 4b, Supplementary Figs. 52b and 54b). With O2 addition, the adsorbed O2 molecule at the site of oxygen vacancy can be reduced to repair the left lattice-O atom or generate O2− anion by the photoelectron from the conduction band of WO3{110}. Compared with the four-electron oxygen reduction to repair lattice-O, the one-electron oxygen reduction in O2− generation pathway has lower kinetic energy barrier. Therefore, for WO3{110}, the consumed lattice-O of WO3{110} is only partially repaired, and O2 is mainly involved in the formation of O2− anion. The O2− anion activates CH4 molecule to produce •CH3 (Supplementary Fig. 52b) and •OOH (Fig. 7b) radicals. Through combination between •CH3 and •OOH radicals, CH3OOH is generated followed by decomposition to CH3OH and HCHO. Also, the difference in the reaction mechanism between this work and the previous works3,37,38 is discussed in detail (Supplementary Note 2 and Supplementary Fig. 74).
To trace the carbon and oxygen sources of HCHO product, isotope tests were carried out. Employing 13CH4 as reactant (Supplementary Fig. 75), NMR experiments show that only the peak of HO13CH2OH at 81.9 ppm is detected on WO3{001} (CH4 atmosphere or the mixed CH4 and O2 atmosphere at 25 oC) and WO3{110} (the mixed CH4 and O2 atmosphere at 25 oC). Note that HOCH2OH is the diol structure of HCHO in aqueous solution, verifying that the C-atom in HCHO comes from CH4. The carbon source of HCHO in both WO3{001} and WO3{110} (Fig. 9a and Supplementary Fig. 76) systems was also inspected by gas chromatograph-mass spectrometer (GC-MS). The H13CHO peaks (m/z = 31) via 13CH4 oxidation proves that the C-atom of HCHO is from CH4. The origin of O-atoms in HCHO was traced by isotope labeling experiments with 18O2 and H218O. In both WO3{001} (Fig. 9b, Supplementary Fig. 77) and WO3{110} (Fig. 9c, Supplementary Fig. 78) systems, HCH18O peaks (m/z = 32) are found taking 18O2 as reactant while H218O makes no difference (Fig. 9d, Supplementary Fig. 79 and Fig. 9c, Supplementary Fig. 78), indicating that the O-atom of HCHO originates from O2. After the CH4 oxidation reaction in 18O2 atmosphere or taking H218O as solvent, the WO3{001} photocatalyst was recycled and put into another CH4 oxidation system without O2 addition and with H2O as solvent. Taking the recycled WO3{001} from 18O2 atmosphere as photocatalyst, the clear signal of HCH18O confirms that the lattice-O atom of WO3{001} participates in the formation of HCHO and can be supplemented by O2. On the contrary, only HCHO without 18O labelling is found taking the recycled WO3{001} from H218O solvent as photocatalyst, uncovering that the consumed lattice-O of WO3{001} cannot be repaired by H2O. Additionally, we note that no product is found in pure CH4 atmosphere using recycled WO3{110} as photocatalyst without O2 addition, which is reasonable considering that the consumed lattice-O of WO3{110} is hardly repaired. Based on the oxygen isotope experiments, we conclude that the O-atoms of HCHO products on WO3{001} and WO3{110} are both from O2 rather than H2O. Besides, for WO3{001} system, O2 is involved in the formation of HCHO by repairing the lattice-O. The different oxygen source analysis of CH3OH between this work and the previous work38 is provided in supplementary information (Supplementary Note 2). The missing peak signal (m/z = 28) of HCHO is analyzed in supplementary information (Supplementary Figs. 80–85).
a GC-MS spectra of HCHO obtained in WO3{001} and WO3{110} system using 13CH4 as carbon isotope. b GC-MS spectra of HCHO obtained in WO3{001} system using 18O2 as oxygen isotope and the recycled WO3{001} as photocatalyst without O2 addition. c GC-MS spectra of HCHO obtained in WO3{110} system using 18O2 or H218O as oxygen isotope. d GC-MS spectra of HCHO obtained in WO3{001} system using H218O as oxygen isotope and the recycled WO3{001} as photocatalyst without O2 addition.
In summary, we in-depth explore the HCHO formation mechanism from photocatalytic CH4 oxidation in WO3 system. The high oxidation potential, satisfied adsorption of activated CH4 molecule and low surface energy of WO3{001} confer the lattice-O to directly oxidize CH4 to HCHO without intermediates and ensure the 100% selectivity of HCHO through the active site oxidation mechanism. While, the WO3{110} with preferential activation of H2O and rich oxygen vacancy conforms to the free radical oxidation mechanism, possibly giving rise to a low selectivity of HCHO. This work not only provides pivotal insight into competitive catalytic pathways involved with the active site mechanism and the radical mechanism, but also opens the avenue towards optimizing the performance of important photocatalytic reactions, including but not limited to CH4 oxidation.
Methods
Photocatalyst preparation
Photocatalysts WO3{001} and WO3{110} were prepared through simple hydrothermal methods with subsequent calcination treatments.
For WO3{001}, Na2WO4.2H2O (2.7 g) and PVP (0.4 g) were dissolved in 50 mL water, then CH3COOH solution (8 mL) was added with continuous stirring for 30 min. After that, the suspension was transferred to a 100 mL Teflon-lined stainless-steel autoclave and treated under hydrothermal condition at 180 oC for 12 h. The obtained powers were washed with deionized water until the pH = 7. After drying at 80 oC overnight, the samples were calcinated at 300 oC for 3 h with a heating rate of 3 oC min–1. Finally, the desired WO3{001} was obtained.
For WO3{110}, Na2WO4.2H2O (2.7 g), PVP (0.4 g) and CH3COONH4 (0.4 g) were dissolved in 50 mL water, then CH3COOH solution (8 mL) was added with continuous stirring for 30 min. After that, the suspension was transferred to a 100 mL Teflon-lined stainless-steel autoclave and treated under hydrothermal condition at 180 oC for 12 h. The obtained powers were washed with deionized water until the pH = 7. After drying at 80 oC overnight, the samples were calcinated at 300 oC for 3 h with a heating rate of 3 oC min–1. Finally, the desired WO3{110} was obtained.
Characterization
TEM and HRTEM were carried out using an FEI Tecnai G2 F20 electron microscope that was operated at 200 kV. The crystal structures were characterized through XRD patterns, which were obtained using a D/MAX-TTRIII (CBO) and Xeuss small-/wide-angle X-ray scattering (SAXS/WAXS) system with Cu Kα radiation (λ = 1.542 Å) operating at 50 kV and 300 mA. XPS experiments were carried out using an X-ray photoelectron spectrometer (EscaLab 250Xi, Thermo Scientific) and the spectra were calibrated with the C 1 s peak at 284.8 eV. UV-visible diffuse reflectance spectra (UV-Vis DRS) taking BaSO4 as the internal reference sample were recorded using a Hitachi U-3010 UV-visible spectrometer. A Mott-Schottky plot was obtained from samples in 1 M Na2SO4 solution at a frequency of 1500 Hz, prepared using a CHI 760E electrochemical workstation. The electron paramagnetic resonance (EPR) spectra were recorded at 9.43 GHz using a Bruker EMX spectrometer. In the case of the EPR test of O2– anion: 25 mg photocatalysts were loaded into a quartz tube and gas of O2 or mixed O2 and CH4 was introduced for 20 min. Then, the EPR tests were carried out with or without Xenon light irradiation at a liquid nitrogen temperature (77 K). For the EPR test of oxygen vacancy: 25 mg photocatalysts were loaded into a quartz tube and tested at room temperature without light irradiation. For the EPR test of •CH3 radical: 25 mg photocatalysts were loaded into a quartz tube with 5,5-dimethyl-1-pyrroline-1-oxide (DMPO) as the radical trapping agent in aqueous solution, then the test was carried out in the mixed O2 and CH4 atmosphere at room temperature with or without light irradiation, respectively. In situ DRIFTS tests were conducted by Thermo Scientific Nicolet IS52 in CH4 / CH4 + O2 atmosphere, with or without H2O addition, with or without light irradiation. Atomic force microscopy (AFM) was performed on Bruker Dimension Icon.
Photocatalytic oxidation of CH4
The photocatalytic oxidation of CH4 was performed in a stainless-steel autoclave with a quartz glass window on the top. All the photocatalysis experiments were carried out at room temperature along with 25 oC or 50 oC cooling water and a fixed pressure of 20 bar. In a typical experiment, the photocatalyst sample (10 mg) was weighted and added in the center of the reactor with specified amounts of deionized water. 20 bar CH4 was inflated into reactor for the anaerobic reaction. Different ratio of CH4 and O2 with a total pressure of 20 bar was mixed and added in reactor for the aerobic reaction. A Xenon lamp (excitation wavelengths 300-700 nm, irradiation intensity of 150 mW cm–2, CEAULIOHT) or a light-emitting diode monochromatic light source (Perfectlight) was used to initiate the photocatalytic reactions. For 18O- and D-isotope tests, to prevent the exchange of -OH between HCHO and H2O in aqueous solution, H2O, H218O and D2O was added in the form of steam, respectively, with HCHO as the gaseous product for GC-MS tests.
Product analysis
Analysis of the oxygenated liquid product was carried out using NMR spectroscopy. The 1H NMR and 13C NMR spectra were recorded using a Bruker AVANCE III HD 400 MHz NMR spectrometer. The amount of HCHO was quantified using the acetylacetone colour-development method. Gaseous products were qualitatively and quantitatively determined by gas chromatography (GC) tests with flame ionization detector (FID) and thermal conductivity detector (TCD). Test condition of GC: inlet temperature 100 oC, nitrogen as carrier gas with 0.1 MPa, column temperature of 60 oC, FID temperature of 100 oC, TCD bridge current of 60 mA.
The GC-mass spectrum (GC-MS) was performed on SHIMADZU with the SH-PolarWax column. Test condition: inlet temperature 180 oC, splitless inlet, helium as carrier gas, linear speed of 25.5 cm s–1, column temperature of 40 oC with 120 oC pretreatment, GC-MS ion source temperature of 200 oC.
Reporting summary
Further information on research design is available in the Nature Portfolio Reporting Summary linked to this article.
Data availability
All data supporting the findings of this study are available within the paper, supplementary information files or are available from the corresponding authors upon request.
References
Luo, L. et al. Binary Au–Cu reaction sites decorated ZnO for selective methane oxidation to c1 oxygenates with nearly 100% selectivity at room temperature. J. Am. Chem. Soc. 144, 740–750 (2022).
Song, S. et al. A selective Au-ZnO/TiO2 hybrid photocatalyst for oxidative coupling of methane to ethane with dioxygen. Nat. Catal. 4, 1032–1042 (2021).
Fan, Y. et al. Selective photocatalytic oxidation of methane by quantum-sized bismuth vanadate. Nat. Sustain. 4, 509–515 (2021).
Luo, L. et al. Synergy of Pd atoms and oxygen vacancies on In2O3 for methane conversion under visible light. Nat. Commun. 13, 2930 (2022).
Feng, N. et al. Efficient and selective photocatalytic CH4 conversion to CH3OH with O2 by controlling overoxidation on TiO2. Nat. Commun. 12, 4652 (2021).
Song, H. et al. Selective photo-oxidation of methane to methanol with oxygen over dual-cocatalyst-modified titanium dioxide. ACS Catal 10, 14318–14326 (2020).
Song, H. et al. Direct and selective photocatalytic oxidation of CH4 to oxygenates with O2 on Cocatalysts/ZnO at room temperature in water. J. Am. Chem. Soc. 141, 20507–20515 (2019).
Zeng, Y. et al. Photocatalytic oxidation of methane to methanol by tungsten trioxide-supported atomic gold at room temperature. Appl. Catal. B: Environ. 306, 120919 (2022).
Wei, S. et al. Aerobic oxidation of methane to formaldehyde mediated by crystal-O over gold modified tungsten trioxide via photocatalysis. Appl. Catal. B: Environ. 283, 119661 (2021).
Fan, Y. et al. Highly selective oxidation of methane to formaldehyde on tungsten trioxide by lattice oxygen. Catal. Commun. 161, 106365 (2021).
Villa, K., Murcia-Lopez, S., Ramon, J. & Andreu, T. An insight on the role of La in mesoporous WO3 for the photocatalytic conversion of methane into methanol. Appl. Catal. B: Environ. 187, 30–36 (2016).
Villa, K., Murcia-Lopez, S., Andreu, T. & Ramon, J. Mesoporous WO3 photocatalyst for the partial oxidation of methane to methanol using electron scavengers. Appl. Catal. B: Environ. 163, 150–155 (2015).
Villa, K., Murcia-Lopez, S., Andreu, T. & Morante, J. R. On the role of WO3 surface hydroxyl groups for the photocatalytic partial oxidation of methane to methanol. Catal. Commun. 58, 200–203 (2015).
Hameed, A., Ismail, I., Aslam, M. & Gondal, M. A. Photocatalytic conversion of methane into methanol: Performance of silver impregnated WO3. Appl. Catal. A: General 470, 327–335 (2014).
Zhu, Y. et al. Distinct pathways in visible-light driven thermo-photo catalytic methane conversion. J. Phys. Chem. Lett. 12, 7459–7465 (2021).
Zhang, W. et al. High-performance photocatalytic nonoxidative conversion of methane to ethane and hydrogen by heteroatoms-engineered TiO2. Nat. Commun. 13, 2806 (2022).
Senkevich, J., Mitchell, C., Yang, G. & Lu, T. Surface chemistry of mercaptan and growth of pyridine short-chain alkoxy silane molecular layers. Langmuir 18, 1587–1594 (2002).
Chen, X. et al. Photocatalytic oxidation of methane over silver decorated zinc oxide nanocatalysts. Nat. Commun. 7, 12273–12280 (2016).
Hauchecorne, B. et al. Photocatalytic degradation of ethylene: An FTIR in situ study under atmospheric conditions. Appl. Catal. B: Environ. 105, 111–116 (2011).
Xi, G. et al. In situ growth of metal particles on 3D Urchin-like WO3 nanostructures. J. Am. Chem. Soc. 134, 6508–6511 (2012).
Adhikari, S., Sarkar, D. & Maiti, H. Synthesis and characterization of WO3 spherical nanoparticles and nanorods. Mater. Res. Bull. 49, 325–330 (2014).
Wu, R. et al. CH4 activation and sensing on hexagonal WO3 (001) and (110) surfaces. Appl. Surf. Sci. 481, 1154–1159 (2019).
Nosaka, Y. & Nosaka, A. Generation and detection of reactive oxygen species in photocatalysis. Chem. Rev. 117, 11302–11336 (2017).
Tan, S. et al. Observation of photocatalytic dissociation of water on terminal Ti sites of TiO2(110)-1 × 1 surface. J. Am. Chem. Soc. 134, 9978–9985 (2012).
Salvador, P. Mechanisms of water photooxidation at n-TiO2 rutile single crystal oriented electrodes under UV illumination in competition with photocorrosion. Prog. Surf. Sci. 86, 41–58 (2011).
Diesen, V. & Jonsson, M. Formation of H2O2 in TiO2 photocatalysis of oxygenated and deoxygenated aqueous systems: A probe for photocatalytically produced hydroxyl radicals. J. Phys. Chem. C 118, 10083–10087 (2014).
Wang, X. et al. Surface stabilization of hexagonal WO3 by non-metallic atoms: A DFT study. Comp. Mater. Sci. 68, 218–221 (2013).
Liu, L., Wang, Z., Pan, C., Xiao, W. & Cho, K. Effect of hydrogen on O2 adsorption and dissociation on a TiO2 anatase (001) surface. ChemPhysChem. 14, 996–1002 (2013).
Zhang, W. et al. Hot-electron-induced photothermal catalysis for energy-dependent molecular oxygen activation. Angew. Chem. Int. Ed. 60, 4872–4878 (2021).
Agarwal, N. et al. Aqueous Au-Pd colloids catalyze selective CH4 oxidation to CH3OH with O2 under mild conditions. Science 358, 223–227 (2017).
Jiang, Y. et al. Enabling specific photocatalytic methane oxidation by controlling free radical type. J. Am. Chem. Soc. 145, 2698–2707 (2023).
Zhang, N. et al. Monoclinic tungsten oxide with {100} facet orientation and tuned electronic band structure for enhanced photocatalytic oxidations. ACS Appl. Mater. Interfaces 8, 10367–10374 (2016).
Albanese, E., Di, C. & Pacchioni, G. H2O adsorption on WO3 and WO3–x (001) surfaces. ACS Appl. Mater. Interfaces 9, 23212–23221 (2017).
Li, W. et al. WO3 nanoflakes for enhanced photoelectrochemical conversion. ACS Nano 8, 11770–11777 (2014).
Besnardiere, J. et al. Structure and electrochromism of two-dimensional octahedral molecular sieve h’-WO3. Nat. Commun. 10, 327 (2019).
Mi, Q. et al. Thermally stable N2-intercalated WO3 photoanodes for water oxidation. J. Am. Chem. Soc. 134, 18318–18324 (2012).
Luo, L. et al. Nearly 100% selective and visible-light-driven methane conversion to formaldehyde via. single-atom Cu and Wδ+. Nat. Commun. 14, 2690 (2023).
Zhou, W. et al. Highly selective aerobic oxidation of methane to methanol over gold decorated zinc oxide via photocatalysis. J. Mater. Chem. A 8, 13277–13284 (2020).
Acknowledgements
This research was funded by the National Natural Science Foundation of China (22205043, Y.F.; 92056204, 21890381, 21721002, Z.T.; 22172040, D.H.; 21974031, L.N.), the Strategic Priority Research Program of Chinese Academy of Sciences (XDB36000000, Z.T.), National Key Basic Research Program of China (2016YFA0200700, Z.T.; 2022YFD2100304, D.H.), Frontier Science Key Project of Chinese Academy of Sciences (QYZDJ-SSW-SLH038, Z.T.), the Guangdong Science and Technology Department (2021A1515110705, Y.F.; 2021A1515010180, D.H.; 2019B010933001, 2022A156, L.N.), Guangzhou Municipal Science and Technology Project (202201020178, 202201010598, Y.F.; 202102010449, D.H.; 202201000002, L.N.), the Department of Guangdong Provincial Public Security (GZQC20-PZ11-FD084, D.H.), Key Discipline of Materials Science and Engineering, Bureau of Education of Guangzhou (20225546, L.N.), On-campus Scientific Research Project of Guangzhou University (RQ2021010, Y.F.), the Innovation Training Program for College Students of Guangzhou University (XJ202311078038, A.C.). The authors would like to thank Liu Jia from Shiyanjia Lab (www.shiyanjia.com) for the XPS analysis.
Author information
Authors and Affiliations
Contributions
Y.F., Y.J. and Z.T. conceived and designed the experimental scheme. Y.F., Y.J. and H.L. performed the key experiments, processed experimental data and wrote the paper. H.L., J.L., Y.X. and A.C. assisted to carry out the TEM, XRD, XPS, EPR and in situ DRIFTS characterization. S.L. performed the theoretical calculation. D.H., L.N. and Z.T. supervised the project. All the authors discussed the results and commented on the manuscript.
Corresponding authors
Ethics declarations
Competing interests
The authors declare no competing interests.
Peer review
Peer review information
Nature Communications thanks the anonymous reviewer(s) for their contribution to the peer review of this work. A peer review file is available.
Additional information
Publisher’s note Springer Nature remains neutral with regard to jurisdictional claims in published maps and institutional affiliations.
Rights and permissions
Open Access This article is licensed under a Creative Commons Attribution 4.0 International License, which permits use, sharing, adaptation, distribution and reproduction in any medium or format, as long as you give appropriate credit to the original author(s) and the source, provide a link to the Creative Commons licence, and indicate if changes were made. The images or other third party material in this article are included in the article’s Creative Commons licence, unless indicated otherwise in a credit line to the material. If material is not included in the article’s Creative Commons licence and your intended use is not permitted by statutory regulation or exceeds the permitted use, you will need to obtain permission directly from the copyright holder. To view a copy of this licence, visit http://creativecommons.org/licenses/by/4.0/.
About this article
Cite this article
Fan, Y., Jiang, Y., Lin, H. et al. Insight into selectivity of photocatalytic methane oxidation to formaldehyde on tungsten trioxide. Nat Commun 15, 4679 (2024). https://doi.org/10.1038/s41467-024-49138-8
Received:
Accepted:
Published:
Version of record:
DOI: https://doi.org/10.1038/s41467-024-49138-8
This article is cited by
-
Near-infrared photon-triggered CH4-to-CH3OH conversion over plasmonic oxyselenides
Nature Communications (2025)
-
One-step electrochemical conversion of propane to acetone of 96% purity
Nature Communications (2025)
-
Photothermal direct methane conversion to formaldehyde at the gas-solid interface under ambient pressure
Nature Communications (2025)
-
Intermarriage of InVO4 and BiVO4 via cation-exchange to boost charge separation for efficient photocatalytic CH4 oxidation to oxygenates
Science China Chemistry (2025)
-
Regulating the electronic effects of phenylquinoline-functionalized COFs for effective photocatalytic destruction of chemical warfare agent simulants
Science China Chemistry (2025)











