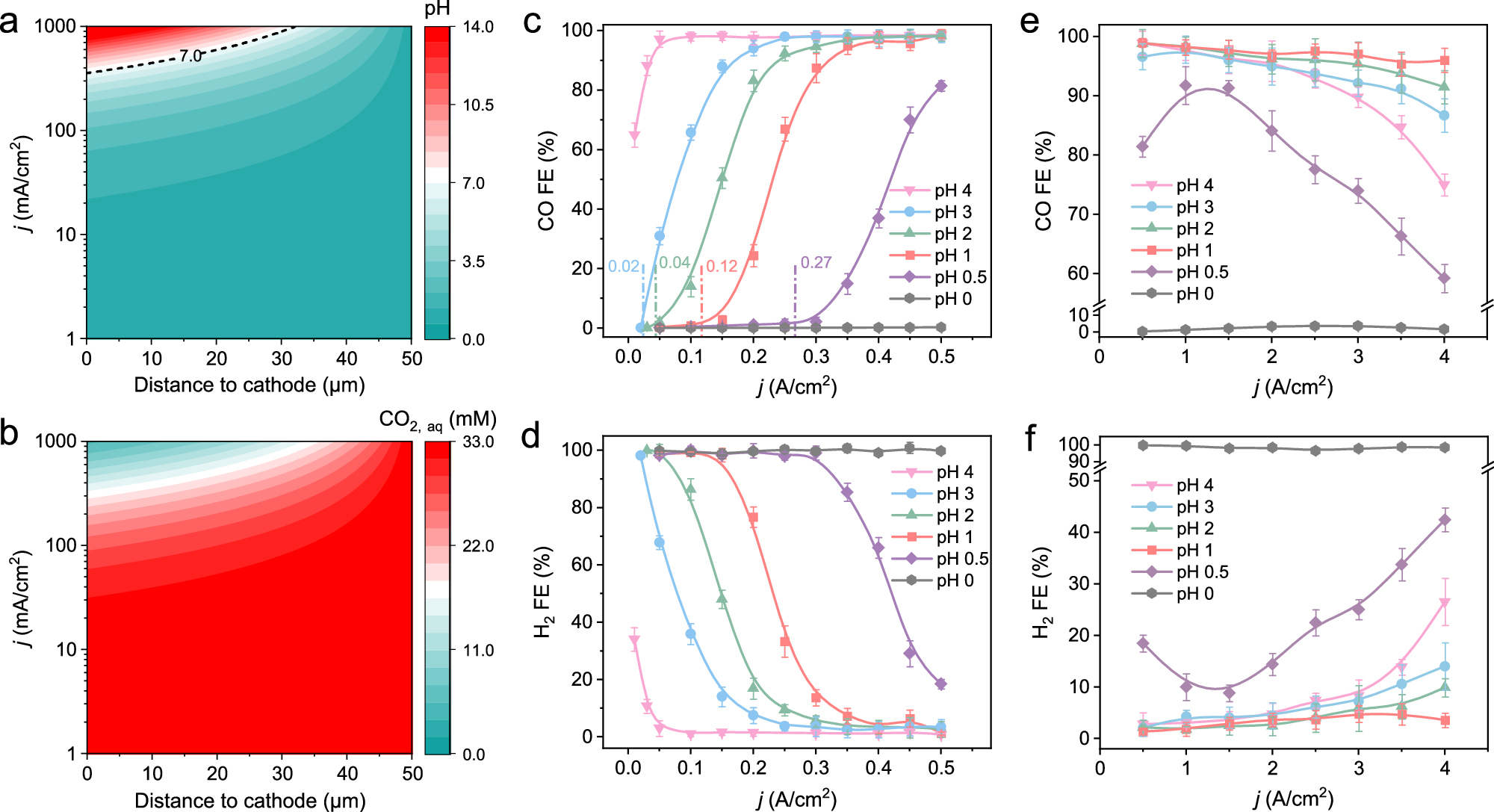
Fig. 3: Effects of H+ concentration and CO2 carbonation on CO2RR.

Modeling of (a) pH, (b) concentration profile of CO2 at different distances to cathode and j in 0.05 M H2SO4 and 3 M KCl. c, e CO and d, f H2 FE over CD-Ag HPE as a function of applied j measured in 3 M KCl and H2SO4 catholytes with different pH values. The input CO2 flow rate was 30 sccm. The error bars in (c)–(f) represent one standard deviation based on five independent tests.