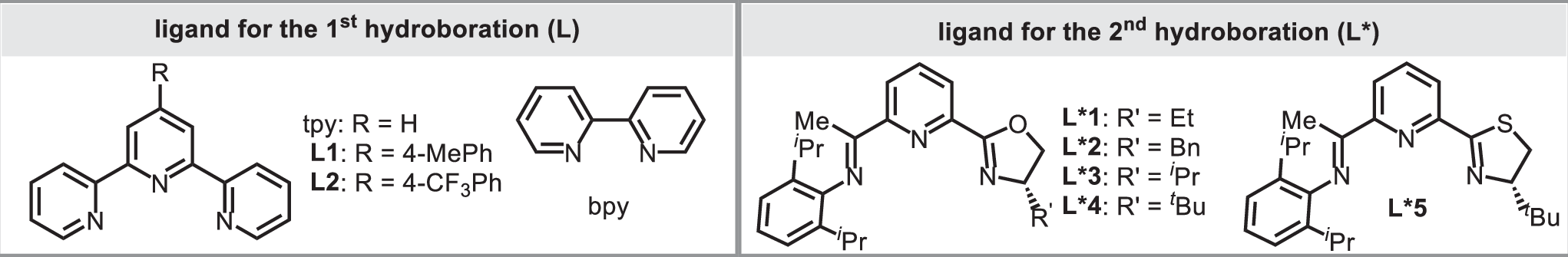
Table 1 Reaction condition optimizationa
From: Asymmetric dihydroboration of allenes enabled by ligand relay catalysis
Entry | [Co] | L | L* | Solvent | Yieldb | Eec |
|---|---|---|---|---|---|---|
1 | Co(acac)2 | tpy | L*1 | MTBE | 40% | 82% |
2 | Co(acac)2 | tpy | L*2 | MTBE | 45% | 80% |
3 | Co(acac)2 | tpy | L*3 | MTBE | 52% | 93% |
4 | Co(acac)2 | tpy | L*4 | MTBE | 79% | 95% |
5d | Co(acac)2 | tpy | L*4 | MTBE | 82% | 94% |
6 | Co(acac)2 | tpy | L*5 | MTBE | ND | – |
7 | Co(acac)2 | L1 | L*4 | MTBE | 42% | 94% |
8 | Co(acac)2 | L2 | L*4 | MTBE | 11% | 70% |
9 | Co(acac)2 | bpy | L*4 | MTBE | ND | – |
10 | Co(acac)3 | tpy | L*4 | MTBE | 14% | 59% |
11 | Co(OAc)2 | tpy | L*4 | MTBE | 21% | 89% |
12 | Co(acac)2 | tpy | L*4 | Et2O | 76% | 88% |
13 | Co(acac)2 | tpy | L*4 | THF | 27% | 79% |
14 | Co(acac)2 | tpy | L*4 | Hexane | 20% | 29% |

