Abstract
The mixed-valence compound YbB12 displays paradoxical quantum oscillations in electrical resistivity and magnetic torque in a regime with a well-developed insulating charge gap and in the absence of an electronic Fermi surface. However, signatures of such unusual fermionic quasiparticles in other bulk thermodynamic observables have been missing. Here we report the observation of a series of sharp double-peak features in the specific heat as a function of the magnetic field. The measured Hall resistivity evolves smoothly across the field values at which the characteristic anomalies appear in the thermodynamic response and rules out the possibility of conventional electrons as their origin. Our observations of thermodynamic anomalies in a bulk three-dimensional electrical insulator provide the evidence for the presence of emergent dispersing fermionic excitations within the insulating bulk, which sets the stage for further investigation of electron fractionalization in other correlated mixed-valence compounds.
Similar content being viewed by others
Introduction
Quantum oscillations are widely used to map out the Fermi surfaces in metals and can be understood in the semi-classical limit as arising from the cyclotron motion of electrons. However, the observation of quantum oscillations in electrical insulators, such as the three-dimensional mixed-valence compounds SmB6 and YbB121,2,3, as well as certain two-dimensional semiconductors4,5, which do not host electronic Fermi surfaces have led to a critical examination for alternative mechanisms leading to the same phenomenon6,7,8,9,10,11,12,13,14,15,16. Of particular interest are the observations in YbB12, where thermal conductivity measurements at low temperatures reveal highly mobile excitations that carry heat like in a metal but do not conduct electricity17. The celebrated Wiedemann-Franz law which relates the thermal and electrical conductivities in all metals at asymptotically low temperatures is violated in this material by at least three orders of magnitude17. However, the thermal Hall conductivity up to a field of 12 T remains negligibly small17. This leads to the fundamental question of whether electrically neutral excitations in an insulator, which nominally do not have a direct orbital coupling to an external magnetic field, can nevertheless display singular thermodynamic signatures characteristic of metals. Finding compelling signatures of the interaction-induced electron fractionalization and the emergence of neutral fermionic excitations, especially in the bulk thermodynamic response, remains one of the outstanding challenges in the study of correlated quantum materials, including mixed-valence compounds.
Quantum oscillations in high-quality single crystals of YbB12 have been reported in both magnetoresistance and magnetic torque, with large sinusoidal oscillations periodic in 1/B above 38 T2,17,18. Moreover, the functional form of the oscillatory components is well described by Lifshitz–Kosevich (LK) theory19,20, suggesting a fermionic origin tied to the underlying Fermi-Dirac distribution function. However, this material has an appreciable negative magnetoresistance, and the charge-gap decreases with increasing magnetic field18,21,22, ultimately resulting in a field-induced insulator-metal transition around B = 46 T21,23,24. Relatedly, the Hall resistance exhibits clear anomalies in the quantum oscillation regime18, making it difficult to disentangle the effects of electronic charge carriers from the possibly neutral carriers on the oscillation phenomenology. As a result, the microscopic origin of the low-energy excitations that are responsible for both the oscillations and the metallic-like thermal conductivity of YbB12 in the insulating regime remains unclear17,18. To shed new light on these pressing questions, we present here a detailed study of thermodynamic properties of YbB12 in a magnetic field, which provides evidence for bulk sub-gap excitations with a fermionic character that are distinct from electrons.
Results
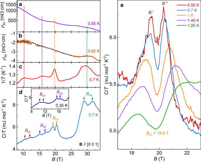
We report here a sequence of increasingly pronounced (singular) features in both the specific heat (C) and the magnetocaloric effect (MCE) within the insulating phase of YbB12. These features, characterized by a series of “double-peak” features in the specific heat at 11, 16, 19.6, and 30 T, respectively, suggest an underlying fermionic density of states (DoS). The Hall resistivity measurement evolves smoothly across these field values, ruling out an electronic origin for these anomalies and suggesting a distinct fermionic contribution to the singular DoS in YbB12. Moreover, the fourfold rotational symmetry tied to the angle-dependent field position of the double-peak structure suggests a bulk rather than surface-state origin.
Unlike magnetoresistance, MCE and specific heat (C) are bulk-sensitive probes for the fermionic DoS. MCE represents the field dependence of the sample temperature, T(B), which is a measure of the inverse of magnetic entropy S. In Fig. 1, we plot the magnetoresistance, Hall resistivity, MCE, and C/T taken at 0.65–0.7 K in fields up to 35 T. These experiments were performed on the same YbB12 single crystal (sample#1) with B along [1 0 0]. The vertical lines in Fig. 1(a)-(c) indicate the field positions of the thermodynamic anomalies. All the features shown in Fig. 1 were observed in other samples (sample#2 and sample#3, Supplementary Notes 6 and 7). As noted previously in magnetic torque and magnetoresistance measurements2, our \(\rho\)xx experiments resolve a weak feature at 19.6 and 30 T, respectively, while the thermodynamic probes (MCE and C/T) detect additional anomalies at 11, 16 T. Intriguingly, the Hall resistivity (\(\rho\)xy) only exhibits an anomaly at 30 T (Supplementary Note 4). It is worth noting that while the magnetoresistance and Hall resistivity are directly sensitive to the electronic carriers at the surface and in bulk, the specific heat and MCE are bulk-sensitive probes that help detect contributions from all low-energy degrees of freedom.
a Magnetoresistance and b Hall resistivity of YbB12 as a function of the magnetic field measured at T = 0.65 K (see Supplementary Note 2 for a full set of transport data). c Reciprocal temperature (1/T) of YbB12 as a function of the applied magnetic field in an adiabatic condition measured at initial temperature T = 0.7 K. d Specific heat divided by temperature C/T in YbB12 as a function of the magnetic field at T = 0.7 K. In addition to the pronounced anomalies at 16, 19.6 T, and 30 T, our specific heat and MCE data also resolve small anomalies at 11 T (see inset and Supplementary Note 7). e Specific heat C/T as a function of the magnetic field at indicated temperature, obtained by subtracting the Schottky and phonon contributions from as-measured C/T.
The observation of quantum oscillations in an insulator has raised questions about the role of inhomogeneities and sample quality1,2,25,26. However, the observation of a residual metallic-like thermal conductivity in an electrical insulator at low temperatures presents a challenge to a simplified picture of disconnected metallic inclusions below the percolation threshold in the three-dimensional bulk of the sample. Nevertheless, to ensure that the high-quality single crystals used in this study represent the universal and intrinsic properties of YbB12, we have performed additional X-ray diffraction, magnetoresistance, and MCE measurements (Supplementary Note 1 and 3). The extracted gap sizes and quantum oscillation frequencies are consistent with earlier reports2,22,27.
To track the evolution of the magnetic entropy of YbB12, we plot 1/T(B) versus B in Fig. 1c, which exhibits well-defined local peaks with an amplitude much larger than that of the quantum oscillation (Supplementary Fig. 2b). This indicates the existence of high entropy states in the corresponding field regions. These local peaks were also observed in MCE data for different YbB12 single crystals (sample#2; Supplementary Note 6), reflecting the reproducibility of the phenomena. The specific heat anomalies, which appear as a double-peak structure, are marked by the colored double arrows in Fig. 1d. Among them, the double-peak structures at 19.6 and 30 T are particularly pronounced, whereas the structures at 11 and 16 T are less apparent but are clearly resolved in lower temperature data (inset of Fig. 1d, Supplementary Notes 6 and 7). The simultaneous observation of single- and double-peak structures in MCE and C/T is a characteristic feature for a singularity in the DoS passing through the Fermi level, as demonstrated, e.g., in the quantum oscillation of graphite28. The fields Bc1–Bc4 in Fig. 1d are defined as the location when a local maximum in the DoS crosses the Fermi level, corresponding to the peak positions in MCE and center positions of the double peaks in C/T. However, the key difference with graphite is that YbB12 does not show any drastic change in \({\rho }_{{xy}}\) across these field values18,29. This strongly supports the contention that the sequential anomaly in MCE and C/T is due to bulk low-energy fermionic quasiparticles that are distinct from electrons in YbB12.
The appearance of the anomaly in C/T and MCE indicates that the signals at 11, 16, and 19.6 T are caused by the bulk states, while the absence of the anomaly in \({\rho }_{{xy}}\) excludes its origin from the electronic transition of conventional electrons and suggests the existence of neutral fermionic quasiparticles in the bulk states. Although the field sweep of \({\rho }_{{xx}}\) exhibits some hysteretic non-monotonic features at 16 and 19.6 T2,18, we note that this is a non-equilibrium phenomenon amplified with faster sweep rates (Supplementary Note 5). On the other hand, the anomaly at 30 T might arise in part due to a conventional electronic transition2,18.
Given the highly unconventional character of the bulk magnetic field dependence on the thermodynamic response of YbB12, it is useful to compare these measurements against similar observations in more conventional materials. As demonstrated in graphite28, the double-peak structure in C/T provides direct information on the singularities associated with the Landau levels in a magnetic field. The origin of this behavior is intimately tied to the Fermi–Dirac distribution function. When an electronic quasiparticle state contributes to the magnetic field-tuned DoS near the Fermi energy, the specific heat can be calculated as30,
Here the energies are measured relative to the Fermi energy, \(x={\epsilon /k}_{B}{T}\) is the ratio of energy and the thermal energy, \(F\left(x\right)=1/(1+{e}^{x})\) is the Fermi-Dirac distribution function, and \(D(\epsilon,B)\) is the DoS for the fermionic quasiparticle singularity. Specifically, the kernel function \((-{x}^{2}d\left(F\left(x\right)\right)/{dx})\) exhibits two local maxima with an energy separation that increases linearly with temperature as 4.8kBT28 (Fig. 2b). In Fig. 1e, we focus on the double-peak structure in C/T at 19.6 T measured at indicated temperatures after subtracting the electron, phonon, and Schottky contributions, respectively (Supplementary Note 8). The field positions associated with the double peaks are strongly temperature dependent, and likely merge into a single peak with decreasing temperature. This feature was also observed in three additional double-peak structures (Supplementary Note 6).
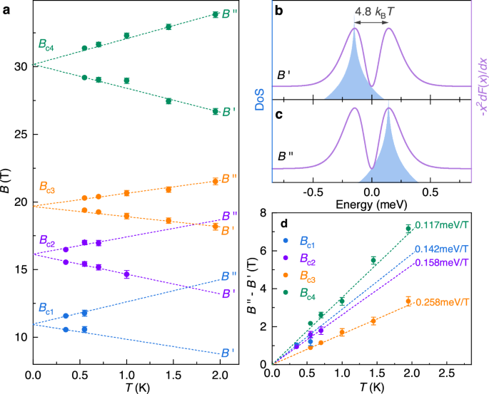
a Measured magnetic field positions of the double peaks \(B^{\prime}\) and \(B^{{\prime} {\prime}}\) as a function of temperature for all the anomalies in C/T. b, c Schematic view to show the origin of the double-peak structure in C/T. d Measured splitting \((B^{{\prime} {\prime}} -B^{\prime} )\) for all the double-peak structures in C/T as a function of temperature. Dashed lines indicate the linear fit to obtain \(d\epsilon /{dB}\) from the inverse slope. The error bars represent one standard deviation of uncertainty.
We plot the position of the double-peak structures versus temperature in Fig. 2a. The splitting of the double peak decreases linearly with decreasing temperature. The central field of the double peaks remains constant and coincides with the entropy maximum observed in MCE. The measured C/T has a high sensitivity to the DoS over a finite energy interval, set by the thermal energy, near the Fermi energy. The overlap of the DoS and the kernel function features two local maxima at fields of \(B^{\prime}\) and \(B^{{\prime} {\prime}}\) (Fig. 2b, c), which controls the double-peak structure of C/T. Since the splitting of the double peaks is 4.8kBT, the field dependence of \(d\epsilon /{dB}\) is given by28,
Figure 2d shows the \((B^{{\prime} {\prime}} -B^{\prime} )\) as a function of temperature for the four double-peak structures. From a linear fit, we estimate \(d\epsilon /{dB}\) (from the inverse slope) for the four DoS singularities (Bc1–Bc4) to be 0.142 (0.025), 0.158 (0.015), 0.258 (0.015), 0.117 (0.01) meV/T, respectively.
Our observation of a double-peak structure in C/T that disperses linearly with increasing temperature is strong evidence for the existence of fermionic quasiparticles in the bulk28, which is remarkable given the absence of an electronic DoS in the insulating bulk of YbB12. It is equally important to note that the measured 1/T(B) from MCE, which is sensitive to the DoS at the Fermi energy28, also induces a single-peak structure (Fig. 1c) in the same field regimes. Fitting to the double-peak structure in C/T at 19.6 T using Eq. (1) (Fig. S12, Supplementary Note 9) directly supports the origin of the fermionic DoS from a cusp-like singularity. The symmetric double-peak structure in C/T is a smoking gun signature for a symmetric cusp-like singularity in the DoS crossing the fermi energy. It is known that two-level crossing can show a similar double-peak structure in C/T, which is well characterized by the Schottky model31,32,33,34. However, this scenario is ruled out by the amplitude, magnetic field position, and number of levels of observed double-peak features in C/T (Supplementary Note 13). Alternative scenarios like the appearance of magnetic order and in-gap magnetic excitations are also considered and are found to be insufficient to account for these experimental observations (Supplementary Note 13).
Although both MCE and specific heat are bulk-sensitive probes, one may argue that the observed anomalies can be attributed to two-dimensional surface metallic states in YbB12. However, it is important to note that the anomalies are “large”, as they constitute a significant fraction of the total measured thermodynamic response. This already suggests that it has to be a bulk response, given that the total number of degrees of freedom on the surface is many orders of magnitude fewer than in the bulk. Additionally, we performed a field sweep for C/T at different angles (Supplementary Note 7). The magnetic field is rotated from equivalent crystal axes [001] to [010] in a cubic structure. We extracted the field position (Bc1–Bc3) at which the DoS singularity meets the Fermi energy and plotted them as a function of angle \(\theta\) in Fig. 3. \(\theta\) is defined as the angle between B and [001]. The values for Bc1, Bc2 and Bc3 (marked as rectangular symbols) are extracted from the double-peak structure in C/T, while values for Bc3 (marked as triangular symbols) are extracted from published magnetic torque data2. Interestingly, the three anomalies exhibit distinct angle dependencies. The singularity at Bc1 follows a hyperbolic function, while the singularities at Bc2 and Bc3 can be fitted by the ellipse function with the same fitting parameters (Supplementary Note 7). All three anomalies exhibit a fourfold rotational symmetry, ruling out the possible 2D surface states. We therefore conclude that the DoS singularities at Bc1–Bc3 result from 3D bulk insulating states.
Angular dependence of Bc1, Bc2, and Bc3 (square symbols). The magnetic field was applied from equivalent crystal axes [001] (\(\theta\) = 0°) to [010] (\(\theta\) = 90°) in the cubic structure of YbB12. The angle dependence of Bc3 marked as half-filled triangle symbols was extracted from the published magnetic torque data of Xiang et al.2. Red and blue dashed curves are the fits using ellipse and hyperbolic functions, respectively. The error bars are estimated from the misalignment between the sample and the Hall probe.
Discussion
The thermodynamic and transport experimental results indicate the existence of a series of in-gap discrete fermionic DoS singularities that are possibly consisting of charge-neutral quasi-particles. Driven by the magnetic field, this sequence of DoS singularities passes through the Fermi energy, which is reminiscent of Landau quantization. However, it is still premature to ascribe these oscillatory features to the quantum oscillations due to the limited number of DoS singularities and complex angular dependence.
Aside from quantum oscillation, the Lifshitz transition is also reported to show a double-peak structure in C/T, as demonstrated in the prototypical Kondo metal CeRu2Si228,35 and ferromagnetic superconductor UCoGe28. The origin of the Lifshitz transition in CeRu2Si2 was interpreted as a spin-split band passing over the fermi level with a DoS singularity pinned to the band edge36,37. This picture is consistent with our DoS singularities interpretation. Moreover, the DoS singularities in YbB12 are cusp-like (Supplementary Note 9), which is often observed in Lifshitz transition28. However, it is commonly acknowledged that Lifshitz transitions yield kinks in Hall resistivity37,38,39,40. Except for the feature at 30 T, no corresponding anomaly was found in the Hall resistivity of YbB12.
Although the formation mechanism of these DoS singularities remains elusive, it is worth comparing the experimental results with the available theoretical works to understand the unusual quasi-particles that constitute these singularities. Currently, the two main theoretical frameworks that have attempted to explain the magnetic-field-induced anomalous behavior in mixed-valence insulators have focused either on narrow-gap bulk insulators where the thermodynamic response involves thermally-activated gapped electrons8,9,10,11,13,14,16 (Supplementary Note 11), or that involve a strong interaction-induced fractionalization of the electron, leading to the emergence of electrically neutral fermionic excitations (Supplementary Note 10)6,7,12.
As noted above, it has been suggested that a variety of narrow-gap insulators can exhibit quantum oscillations and related phenomena8,9,10,11,13,14,16, in the absence of any exotic fractionalized degrees of freedom contributing to the DoS at the Fermi energy. However, the finite gap associated with such insulators necessarily alters the temperature dependence of the overall amplitude associated with both the specific heat and MCE (Supplementary Note 11). For the temperature range of our measurement and based on the extracted charge gap scales from transport, such a clear exponential suppression of the measured thermodynamic quantities should have been self-evident. However, we do not observe any such activated behavior. Moreover, as shown in our calculation (Supplementary Note 11), the C/T in such a narrow-gap insulator does not show a double-peak feature in the absence of the gap closure.
In frustrated Mott-insulators with a small charge gap, it has been pointed out that electrically neutral spinon excitations can experience an effective orbital coupling to a magnetic field41, resulting in quantum oscillations in an insulator. Such oscillations have also been argued to be possible for small-gap mixed-valence insulators with Fermi surfaces of emergent neutral fermions6,7,12 (Supplementary Note 10). The double-peak features in C/T are demonstrated to be observed in this scenario (Supplementary Note 10). Therefore, the quasiparticles that account for our observation are possibly related to interaction-induced electron-fractionalization.
We have observed, in the insulating phase of YbB12, a series of fermionic DoS singularities passing through the Fermi energy at 11, 16, 19.6, and 30 T, respectively. Except for the feature at 30 T, no corresponding anomaly was found in the Hall resistivity, ruling out the relevance of itinerant electrons for the observations. The relatively large magnitude of the effect, its angular dependence, and its field and temperature-dependence, reveals a highly unusual physical phenomenon, where a three-dimensional insulating bulk behaves like a conventional metal in the absence of electrically conducting electrons. Future theoretical research will need to address a microscopic theory for the origin of such unusual phenomena in the regime of strong correlations, and will benefit from complementary spectroscopic experiments that directly probe multiparticle correlations associated with the low-energy fractionalized degrees of freedom.
Methods
Sample preparation
The YbB12 single-crystal samples were grown by the floating zone method. The samples were cut from the ingots and polished into a rectangular shape. The sample plane corresponds to the (100) surface of the crystal. The dimension and weight are ~1.1 × 0.9 × 0.05 mm3 and ~0.3 mg for Sample#1, ~1 × 1 × 0.5 mm3 and ~2.3 mg for Sample#2, ~0.5 × 0.5 × 0.16 mm3 and ~0.2 mg for Sample#3, and ~1.1 × 0.6 × 0.05 mm3 and ~0.2 mg for Sample #4.
Magneto-transport and magneto-caloric effect measurement in pulsed magnetic field
Magnetocaloric effect and part of the magneto-transport measurements were performed using a non-destructive pulse magnet at the International Megagauss Laboratory at ISSP, the University of Tokyo. The maximal field and pulse duration of the magnet are about 60 T and 36 ms, respectively.
For transport measurements, the longitudinal magnetoresistance \({\rho }_{{xx}}\) and Hall resistivity \({\rho }_{{xy}}\) were measured simultaneously on the same sample using the standard 6 probe method. Thirty micrometre gold wires were attached to the sample by the silver paint, resulting in a contact resistance of less than 10 Ω. During the measurement, a 600 μA AC current with a frequency of 80 kHz was applied to the sample. A homemade 3He system was used to cool the sample down to 0.6 K.
For MCE measurements, a 500 nm SU-8 2000.5 epoxy-based photoresist was prepared on the surface of the sample as the insulating layer. A Au16Ge84 thin film thermometer was then sputtered on the insulating layer and calibrated to the reference thermometer. The temperature of the sample was monitored and recorded during the pulse field sweeps. For both measurements, the magnetic field was applied along [1 0 0] direction.
Magneto-transport measurement in a static magnetic field
Part of the magneto-transport measurements were performed under a static magnetic field condition in the Institute for Material Research (IMR), Tohoku University. The maximal field of the superconducting magnet in IMR is about 25 T.
For the transport measurement in static magnetic field, the sample preparation was the same as in the pulsed magnetic field case. Due to the slow field sweep rate in static magnetic field, a lower AC current (30 μA) with a lower frequency (10 Hz) was applied to the sample. The homemade 3He system in IMR was able to cool down the sample down to 0.52 K.
Specific heat measurement in a static magnetic field
AC-specific heat measurements were carried out in a static magnetic field at the Laboratoire National des Champs Magnétiques Intenses—Grenoble. The maximal field of the resistive magnet in LNCMI-G is about 35 T.
During the experiment, the specimen was attached to the backside of a bare CERNOX resistive chip by a minute amount of Apiezon grease. The resistive chip was split into heater and thermometer parts by artificially making a notch along the middle line of the chip. The heater part was used to generate a periodically modulated heating power Pac with a frequency of 2\(\omega\), which can be described as the following relation,
where RH is the resistance of the heater part, \({i}_{{ac}}\) is a modulating current with a frequency of \(\omega\). The induced oscillating temperature \({T}_{{ac}}\) of the sample was monitored by the thermometer part of the resistive chip. To do so, we applied a reading current \({i}_{T}\) at an odd harmonic \(n\omega\) and monitored the induced AC voltage \({V}_{{ac}}\) at \((n+2)\omega\). Based on a precise calibration of the thermometer (R–T relation), \({T}_{{ac}}\) can be calculated from,
Knowing \({P}_{{ac}}\) and \({T}_{{ac}}\), specific heat can be calculated by42
Here, \({{\rm{\phi }}}\) stands for the phase shift between \({{{\rm{P}}}}_{{{\rm{ac}}}}\) and \({{{\rm{T}}}}_{{{\rm{ac}}}}\). To optimize the signal over noise ratio, the measurement frequency (\({{\rm{\omega }}}\)) is chosen to keep the phase shift in the range −90° < \({{\rm{\phi }}}\) < −30°.
The angle dependence of the specific heat was measured by a Hall probe equipped with an Attocube rotator. During the measurement, the CERNOX resistor was mounted on a copper ring attached to an Attocube rotator. The back of the copper ring was attached to the Hall probe, which allows to measure the angle under the magnetic field. The misalignment between the sample and the Hall probe is estimated to be within \(\pm\)2°.
Data availability
Source data are provided in this paper. All other data that support the findings of this study are available upon request to the corresponding author. Source data are provided in this paper.
Change history
05 March 2025
A Correction to this paper has been published: https://doi.org/10.1038/s41467-025-57486-2
References
Tan, B. et al. Unconventional Fermi surface in an insulating state. Science 349, 287–290 (2015).
Xiang, Z. et al. Quantum oscillations of electrical resistivity in an insulator. Science 362, 65–69 (2018).
Li, G. et al. Two-dimensional Fermi surfaces in Kondo insulator SmB6. Science 346, 1208–1212 (2014).
Wang, P. et al. Review of Scientific InstrumentsLandau quantization and highly mobile fermions in an insulator. Nature 589, 225–229 (2021).
Xiao, D., Liu, C.-X., Samarth, N. & Hu, L.-H. Anomalous quantum oscillations of interacting electron-hole gases in inverted type-II InAs/GaSb quantum wells. Phys. Rev. Lett. 122, 186802 (2019).
Chowdhury, D., Sodemann, I. & Senthil, T. Mixed-valence insulators with neutral Fermi surfaces. Nat. Commun. 9, 1766 (2018).
Sodemann, I., Chowdhury, D. & Senthil, T. Quantum oscillations in insulators with neutral Fermi surfaces. Phys. Rev. B 97, 045152 (2018).
Knolle, J. & Cooper, N. R. Quantum oscillations without a Fermi surface and the anomalous de Haas-van Alphen effect. Phys. Rev. Lett. 115, 146401 (2015).
Knolle, J. & Cooper, N. R. Excitons in topological Kondo insulators: theory of thermodynamic and transport anomalies in SmB6. Phys. Rev. Lett. 118, 096604 (2017).
Zhang, L., Song, X.-Y. & Wang, F. Quantum oscillation in narrow-gap topological insulators. Phys. Rev. Lett. 116, 046404 (2016).
Shen, H. & Fu, L. Quantum oscillation from in-gap states and a Non-Hermitian Landau level problem. Phys. Rev. Lett. 121, 026403 (2018).
Erten, O., Ghaemi, P. & Coleman, P. Kondo breakdown and quantum oscillations in SmB6. Phys. Rev. Lett. 116, 046403 (2016).
Ram, P. & Kumar, B. Theory of quantum oscillations of magnetization in Kondo insulators. Phys. Rev. B 96, 075115 (2017).
Knolle, J. & Cooper, N. R. Anomalous de Haas-van Alphen effect in InAs/GaSb quantum wells. Phys. Rev. Lett. 118, 176801 (2017).
Varma, C. Majoranas in mixed-valence insulators. Phys. Rev. B 102, 155145 (2020).
Panda, A., Banerjee, S. & Randeria, M. Quantum oscillations in the magnetization and density of states of insulators. Proc. Natl. Acad. Sci. USA. 119, e2208373119 (2022).
Sato, Y. et al. Unconventional thermal metallic state of charge-neutral fermions in an insulator. Nat. Phys. 15, 954–959 (2019).
Xiang, Z. et al. Hall anomaly, quantum oscillations and possible Lifshitz transitions in Kondo insulator YbB12: evidence for unconventional charge transport. Phys. Rev. X 12, 021050 (2022).
Adams, E. N. & Holstein, T. D. Quantum theory of transverse galvano-magnetic phenomena. J. Phys. Chem. Solids 10, 254–276 (1959).
Lifshitz, I. & Kosevich, A. Theory of magnetic susceptibility in metals at low temperatures. Sov. Phys. JETP 2, 636–645 (1956).
Kawasaki, S. et al. Temperature dependence of metamagnetic transition in YbB12. Physica B 281, 269–270 (2000).
Mizzi, C. A. et al. The reverse quantum limit: implications for unconventional quantum oscillations in YbB12. Nat. Commun. 15, 1607 (2024).
Sugiyama, K., Iga, F., Kasaya, M., Kasuya, T. & Date, M. Field-induced metallic state in YbB12 under high magnetic field. J. Phys. Soc. Jpn 57, 3946–3953 (1988).
Terashima, T. T. et al. Magnetization process of the Kondo insulator YbB12 in ultrahigh magnetic fields. J. Phys. Soc. Jpn 86, 054710 (2017).
Liu, H. et al. Fermi surfaces in Kondo insulators. J. Condens. Matter Phys. 30, 16LT01 (2018).
Thomas, S. M. et al. Quantum oscillations in flux-grown SmB6 with embedded aluminum. Phys. Rev. Lett. 122, 166401 (2019).
Okawa, M. et al. Hybridization gap formation in the Kondo insulator YbB12 observed using time-resolved photoemission spectroscopy. Phys. Rev. B 92, 161108 (2015).
Yang, Z. et al. Unveiling the double-peak structure of quantum oscillations in the specific heat. Nat. Commun. 14, 7006 (2023).
Woollam, J. A. Graphite carrier locations and quantum transport to 10 T (100 kG). Phys. Rev. B 3, 1148 (1971).
Kittel, C. & McEuen, P. Kittel’s Introduction to Solid State Physics. (John Wiley & Sons, 2018).
Richter, J., Krupnitska, O., Baliha, V., Krokhmalskii, T. & Derzhko, O. Thermodynamic properties of Ba2CoSi2O6Cl2 in a strong magnetic field: Realization of flat-band physics in a highly frustrated quantum magnet. Phys. Rev. B 97, 024405 (2018).
Affronte, M. et al. Mixing of magnetic states in a Cr8 molecular ring. Phys. Rev. B 68, 104403 (2003).
Rosenfeld, E. V. Crossover and splitting of the heat capacity peak. Solid State Commun. 153, 23–25 (2013).
Gopal, E. Specific Heats at Low Temperatures. (Springer Science & Business Media, 2012).
Aoki, Y. et al. Thermal properties of metamagnetic transition in heavy-fermion systems. J. Magn. Magn. Mater. 177-181, 271–276 (1998).
Pfau, H., Daou, R., Brando, M. & Steglich, F. Thermoelectric transport across the metamagnetic transition of CeRu2Si2. Phys. Rev. B 85, 035127 (2012).
Daou, R., Bergemann, C. & Julian, S. R. Continuous evolution of the Fermi surface of CeRu2Si2 across the metamagnetic transition. Phys. Rev. Lett. 96, 026401 (2006).
Pfau, H. et al. Interplay between Kondo suppression and Lifshitz transitions in YbRh2Si2 at high magnetic fields. Phys. Rev. Lett. 110, 256403 (2013).
Pfau, H. et al. Cascade of magnetic-field-induced Lifshitz transitions in the ferromagnetic Kondo lattice material YbNi4P2. Phys. Rev. Lett. 119, 126402 (2017).
Pourret, A. et al. Transport spectroscopy of the field induced cascade of Lifshitz transitions in YbRh2Si2. J. Phys. Soc. Japan 88, 104702 (2019).
Motrunich, O. I. Orbital magnetic field effects in spin liquid with spinon Fermi sea: Possible application to k-(ET)2Cu2(CN)3. Phys. Rev. B 73, 155115 (2006).
Kohama, Y., Marcenat, C., Klein, T. & Jaime, M. AC measurement of heat capacity and magnetocaloric effect for pulsed magnetic fields. Rev. Sci. Instrum. 81, 104902 (2010).
Acknowledgements
Z.Y., M.K., and Y.K. were supported by the Precise Measurement Technology Promotion Foundation (PMTP-F), JSPS KAKENHI under Grant Nos. 21H05470, 22H04933, 22H01176, 22H00109, 22H00104, 23K17666, and 23KK0052, and the New Energy and Industrial Technology Development Organization (NEDO) under Grant No. JPNP20004. Z.Y. acknowledges the fruitful discussion with Mrs. Penny Peng from Tsinghua University. S.K. and D.C. were supported in part by an NSF CAREER grant (DMR-2237522) and a Sloan Research Fellowship to D.C. This work was partially performed under the GIMRT Program of the Institute for Materials Research, Tohoku University (Proposal No. 202112-HMKPA-0042). We acknowledge the support of the LNCMI-CNRS, a member of the European Magnetic Field Laboratory (EMFL).
Author information
Authors and Affiliations
Contributions
Z.Y. and Y.K. conceived the study. F.I. grew the high-quality YbB12 sample. Z.Y., M.K., and Y.K. conducted the magnetotransport experiments. Z.Y., S.I., and Y.K. conducted the magnetocaloric effect experiment. C.M., A.D.M., and T.K. conducted the specific heat experiments. Z.Y., T.N., D.K.M., and Y.K. analyzed the experimental data. S.K. and D.C. provided theoretical support. Z.Y., Y.K., C.M., T.K., S.K., and D.C. prepared the paper, with input from all other co-authors.
Corresponding authors
Ethics declarations
Competing interests
The authors declare no competing interests.
Peer review
Peer review information
Nature Communications thanks Neil Harrison and the other, anonymous, reviewer for their contribution to the peer review of this work. A peer review file is available.
Additional information
Publisher’s note Springer Nature remains neutral with regard to jurisdictional claims in published maps and institutional affiliations.
Supplementary information
Source data
Rights and permissions
Open Access This article is licensed under a Creative Commons Attribution-NonCommercial-NoDerivatives 4.0 International License, which permits any non-commercial use, sharing, distribution and reproduction in any medium or format, as long as you give appropriate credit to the original author(s) and the source, provide a link to the Creative Commons licence, and indicate if you modified the licensed material. You do not have permission under this licence to share adapted material derived from this article or parts of it. The images or other third party material in this article are included in the article’s Creative Commons licence, unless indicated otherwise in a credit line to the material. If material is not included in the article’s Creative Commons licence and your intended use is not permitted by statutory regulation or exceeds the permitted use, you will need to obtain permission directly from the copyright holder. To view a copy of this licence, visit http://creativecommons.org/licenses/by-nc-nd/4.0/.
About this article
Cite this article
Yang, Z., Marcenat, C., Kim, S. et al. Evidence for large thermodynamic signatures of in-gap fermionic quasiparticle states in a Kondo insulator. Nat Commun 15, 7801 (2024). https://doi.org/10.1038/s41467-024-52017-x
Received:
Accepted:
Published:
Version of record:
DOI: https://doi.org/10.1038/s41467-024-52017-x





