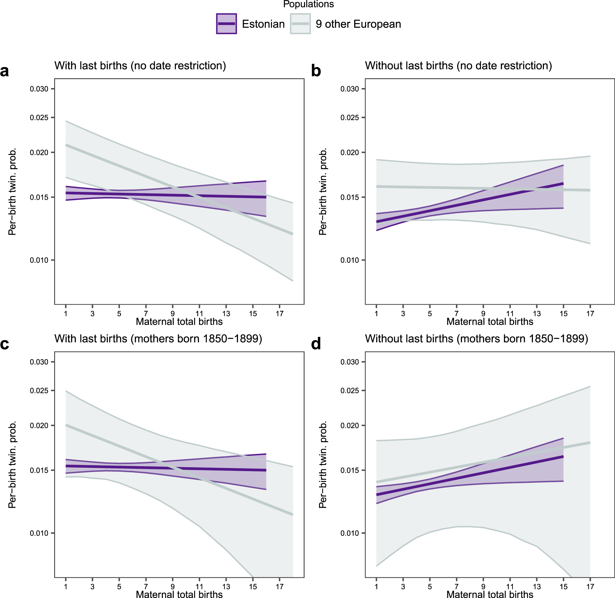
Fig. 1: Relationship between per-birth twinning probability and maternal total births in nine European populations (grey) and a single Estonian population (purple) for different subsets of the data.
From: Reply to: Maternal capacity, twinning and fertility: the last birth matters

In (a), no restrictions beyond the removal of 14 mothers with uncertain years of birth and general cleanup, as described in our paper5 were applied to the datasets, whereas in (b), the last births were discarded. To allow for a direct comparison of both samples, in (c) and (d), mothers born before 1850 were discarded from the nine European populations because no mothers were born before 1850 in the Estonian dataset. Whereas (c) includes all births, (d) is based on data excluding all last births. The number of birth events for the Estonian population is: 417,418 (a), 291,843 (b), 417,418 (c) and 291,843 (d), and the number of mothers for the Estonian population is 115,963 (a), 92,696 (b), 24,735 (c) and 19,325 (d). The number of birth events for the nine other populations is: 125,575 (a), 98,183 (b), 125,575 (c) and 98,183 (d), and the number of mothers for the nine other populations is: 23,267 (a), 20,309 (b), 5,410 (c) and 4,549 (d). Each plot shows marginal predictions (line) ± CI95% (a grey area) from the fits of generalised linear mixed-effects models, including maternal total births as the fixed effect and, for the nine European populations, variation between populations as a random effect. The model structure is described in Eq. 3 in our paper5 with the modification that the random effect was dropped when fitting the Estonian data since those data only represent a single population. Data, computer code and details of the analysis can be found at https://github.com/courtiol/twinR.