replying to R. Meitern et al. Nature Communications https://doi.org/10.1038/s41467-024-52548-3 (2024)
To illuminate why twinning occurs in humans1, despite its threatening the health both of mothers2 and their children3,4, we analysed the relationship between twinning and fertility in a large, non-aggregated, multi-population, historical dataset of birth records from Northern and Central Europe5. Our analyses revealed a negative relationship between the probability that a mother produces more than one offspring per birth and her total number of births. This challenged the entrenched idea that mothers who are intrinsically more fertile—i.e., those who tend to conceive easily irrespective of age and other factors—show a physiological predisposition to produce twins (referred to as the “heterogeneity hypothesis” by us, and as the “maternal capacity hypothesis” by Meitern et al.6). In response to our work, Meitern et al.6 used a different, and exceptionally large, demographic dataset recently digitised by the Estonian Institute for Population Studies7,8 and successfully replicated some of our findings. However, after they discarded the last birth from each mother, they obtained a positive relationship between the per-birth twinning probability and total births. Meitern et al.6 interpreted this result as a novel support for the heterogeneity/maternal capacity hypothesis. Here we argue that differences between our studies5,6 are instead the result of the demographic transition—the shift from high to low fertility exhibited by all European populations over the 19th/20th centuries—and that once this is accounted for, the two studies show strikingly similar results with neither of them supporting the heterogeneity/maternal capacity hypothesis.
To begin with the similarities, both studies find that—when all births by a woman are considered—the per-birth twinning probability is negatively related to the total number of births. Although Meitern et al.’s estimate of this relationship is less negative (Fig. 1a and Supplementary Table 2 in Meitern et al.6), it supports our conclusion5,9 that the strong positive relationship between the lifetime twinning status and total births documented in many different studies5 is likely to be due to an analysis performed at the wrong biological level (mothers rather than births) and not a finding in support of the heterogeneity/maternal capacity hypothesis. Meitern et al. furthermore confirmed our key finding that future reproduction is reduced after a twin delivery, for example, as a result of physiological impairment or family planning.
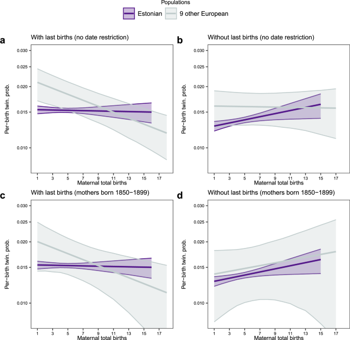
In (a), no restrictions beyond the removal of 14 mothers with uncertain years of birth and general cleanup, as described in our paper5 were applied to the datasets, whereas in (b), the last births were discarded. To allow for a direct comparison of both samples, in (c) and (d), mothers born before 1850 were discarded from the nine European populations because no mothers were born before 1850 in the Estonian dataset. Whereas (c) includes all births, (d) is based on data excluding all last births. The number of birth events for the Estonian population is: 417,418 (a), 291,843 (b), 417,418 (c) and 291,843 (d), and the number of mothers for the Estonian population is 115,963 (a), 92,696 (b), 24,735 (c) and 19,325 (d). The number of birth events for the nine other populations is: 125,575 (a), 98,183 (b), 125,575 (c) and 98,183 (d), and the number of mothers for the nine other populations is: 23,267 (a), 20,309 (b), 5,410 (c) and 4,549 (d). Each plot shows marginal predictions (line) ± CI95% (a grey area) from the fits of generalised linear mixed-effects models, including maternal total births as the fixed effect and, for the nine European populations, variation between populations as a random effect. The model structure is described in Eq. 3 in our paper5 with the modification that the random effect was dropped when fitting the Estonian data since those data only represent a single population. Data, computer code and details of the analysis can be found at https://github.com/courtiol/twinR.
As for discrepancies, Meitern et al.6 found that—if they removed the last births from their dataset—the relationship between per-birth twinning probability and total births became positive, whereas it remained negative in our multi-population study (Fig. 1b). However, the two datasets differ in an important way: whereas all mothers in the Estonian dataset are born after 1850, only 23.3% of the mothers in our dataset were. If we subsample our dataset to retain only mothers born during the same time period as those from the Estonian dataset, the discrepancy vanishes (Likelihood Ratio Test of the interaction between total births & dataset: χ2 < 0.01, df = 2, p ~ 1; Fig. 1d).
Two conclusions emerge from this finding. First, it shows that the relationship between per-birth twinning probability and total births is affected by the transition to modernity10. This result is in line with all mechanisms we hypothesised to shape the relationship between per-birth twinning probability and total births5 (i.e., parity progression, inter-birth intervals, the reproductive schedule of a mother, and maternal heterogeneity) having been impacted by the demographic transition11,12,13. Second, our multi-population study corroborates Meitern et al.‘s finding that the relationship between per-birth twinning probability and total births can be positive after the removal of the last births.
Understanding why the relationship between per-birth twinning probability and total births is what it requires disentangling and quantifying the effect of the mechanisms that may shape this relationship across a woman’s complete reproductive life. This is far from trivial because of how each of these factors may influence the multiple reproductive events of each mother in a non-linear fashion. To accommodate these complexities, we developed5 a goodness-of-fit analysis which combines statistical mixed-effects models fitted to real data with individual-based simulations. Meitern et al.6 applied this same framework to their data (after the removal of last births) to gain further insight into the relative role of heterogeneity/maternal capacity and other processes in explaining the relationship between per-birth twinning probability and total births.
First, they found that although mothers with high intrinsic fertility and twinning propensity exist, they represent one end of a continuum describing variation in maternal capacity between mothers (statistically represented by random effects; mechanism called “H” for heterogeneity in our paper5 and Supplementary Fig. 3 in Meitern et al.6); on the other end of this continuum are women for whom a higher twinning propensity is associated with a lower intrinsic fertility. In Rickard et al.5, we showed that along this continuum, there is a negative correlation between twinning propensity and other intrinsic fertility components (Supplementary Fig. 2 in the original study). Mothers with high intrinsic fertility and twinning propensity are thus rare, and mothers on the opposite end of the continuum prevail in our multi-population dataset. This explains why, similarly to what we documented, allowing for variation in per-birth twinning probability between individuals (at a given age and parity) in the analysis of the Estonian data (Supplementary Fig. 3 in Meitern et al.6) does not improve the goodness of fit of the simulation. Their results are thereby in line with our findings and together argue against the heterogeneity/maternal capacity hypothesis.
Second, the goodness-of-fit analysis of the Estonian data revealed that the positive relationship between per-birth twinning probability and total births is an emergent property of how age and parity impact these traits (called “S” for reproductive schedule). In fact, if that were the sole mechanism, the relationship would be slightly more positive than what was observed, and best fits are obtained when they take into account that fertility decreases after the birth of twins (called “P” for parity progression). In our study, which included all births, these two mechanisms were also the most important ones5.
In sum, while the positive relationship between per-birth twinning probability and total births that arises—after we remove the last births and limit ourselves to women born after 1850—may, at first sight, provide novel evidence for the heterogeneity/maternal capacity hypothesis, rigorous analysis of the available data does not support this intuition. Instead, the positive relationship is best reproduced by simulations involving mechanisms that do not assume differences in per-birth twinning probability between mothers other than those created by differences in mothers’ age and parity. Hence, neither study supports the existence of the “silver spoon” effect conjectured by Meitern et al.6, or any other mechanism that permanently affects maternal capacity (i.e., condition or quality) from the first birth (or earlier) onward.
Furthermore, and contrary to Meitern et al.6, discarding the last birth of each mother from the data is not “an alternative approach for testing the prediction of the maternal capacity hypothesis”. While we agree that doing so may reduce the effect of family planning on the total number of births, it does not help to test the focal hypothesis. Instead, it introduces peculiar biases. For example, it artificially reduces the twinning rate (the per birth twinning probability is highest for the last–that is, the removed–birth), and skews the sample toward non-twinners. It also removes all mothers that only reproduce once, and reduces parity (by one) as well as age at last reproduction. In short, it is not clear what a sample deviating so importantly from any real population represents. We thus caution against removing specific births before investigating the relationship between twinning and fertility. Instead, we encourage anyone interested in exploring complex scenarios other than the ones we considered to build on our statistical framework. Performing some form of inference by simulations is a necessary evil for the study of complex systems.
Reporting summary
Further information on research design is available in the Nature Portfolio Reporting Summary linked to this article.
References
Anderson, D. J. On the evolution of human brood size. Evolution 44, 438–440 (1990).
Young, B. C. & Wylie, B. J. Effects of twin gestation on maternal morbidity. Semin. Perinatol. 36, 162–168 (2012).
Smith, L. K. et al. Trends in the incidence and mortality of multiple births by socioeconomic deprivation and maternal age in England: population-based cohort study. BMJ Open 4, e004514 (2014).
Monden, C. W. S. & Smits, J. Mortality among twins and singletons in sub-Saharan Africa between 1995 and 2014: a pooled analysis of data from 90 Demographic and Health Surveys in 30 countries. Lancet Glob. Health 5, e673–e679 (2017).
Rickard, I. J. et al. Mothers with higher twinning propensity had lower fertility in pre-industrial Europe. Nat. Commun. 13, 2886 (2022).
Meitern, R., Gortfelder, M., Puur, A. & Hõrak, P. Maternal capacity, twinning and fertility: the last birth matters. Nat. Commun. https://doi.org/10.1038/s41467-024-52548-3 (2024).
Gortfelder, M. & Puur, A. Demograafiline nüüdisajastumine Eestis: 1850–1899 sündinud naiste emaduslugude analüüs. Tuna 1, 19–38 (2019).
Gortfelder, M. & Puur, A. Survival and sex composition of offspring: Individual-level responses in the quantum and tempo of childbearing during the demographic transition. Popul. Stud. 74, 161–177 (2020).
Rickard, I. J., Courtiol, A. & Lummaa, V. Why is lifetime fertility higher in twinning women? Proc. R. Soc. Lond. B Biol. Sci. 279, 2510–2511 (2012).
Corbett, S., Courtiol, A., Lummaa, V., Moorad, J. & Stearns, S. The transition to modernity and chronic disease: mismatch and natural selection. Nat. Rev. Genet. 19, 419–430 (2018).
Bolund, E., Hayward, A., Pettay, J. E. & Lummaa, V. Effects of the demographic transition on the genetic variances and covariances of human life-history traits. Evolution 69, 747–755 (2015).
Casterline, J. B. & Odden, C. Trends in inter-birth intervals in developing countries 1965-2014. Popul. Dev. Rev. 42, 173–194 (2016).
Zeman, K., Beaujouan, É., Brzozowska, Z. & Sobotka, T. Cohort fertility decline in low fertility countries: Decomposition using parity progression ratios. Demogr. Res. 38, 651–690 (2018).
Acknowledgements
We thank Richard Meitern, Mark Gortfelder, Allan Puur and Peeter Hõrak for their interest in our original paper, and especially Richard Meitern for his efforts to reuse our computer code and replicate our analysis. We also thank Richard Meitern and Peeter Hõrak for having openly and constructively discussed their analyses and findings with us during the preparation of this paper. Finally, we thank Olivia Judson and Leonie Walter for commenting on our text. I.J.R. was supported by Durham University and the German Academic Exchange Service (DAAD). V.L. was supported by the Academy of Finland. Simulations were run on the CS3 server provided by the Leibniz IZW. This work was also funded by the Academy of Finland grant no. 317808, 320162, 325857 and 331400 (S.H. and J.E.P.), the Strategic Research Council at the Academy of Finland via the NetResilience consortium grant no. 345185 and 345183 (V.L.), the Kone Foundation grants no. 086809, 088423 and 088423 (S.H. and R.K.), and the Swiss National Science Foundation grants no. 31003A_159462 (E.P. and D.W.).
Author information
Authors and Affiliations
Contributions
A.C. designed the research; E.P., S.H., V.L., R.K., J.P., E.R., G.R.S., C.S., E.V. and D.W. prepared the datasets of each population; I.J.R. compiled the datasets; A.C., I.J.R., F.R. and C.V. analysed the original data; A.C. performed the additional analyses for this follow-up publication; C.V. and A.C. implemented the numerical simulations; A.C. drew the figure; A.C. draughted the manuscript; E.P., F.R., S.H. and V.L. edited the manuscript.
Corresponding author
Ethics declarations
Competing interests
The authors declare no competing interests.
Peer review
Peer review information
Nature Communications thanks the anonymous reviewers for their contribution to the peer review of this work.
Additional information
Publisher’s note Springer Nature remains neutral with regard to jurisdictional claims in published maps and institutional affiliations.
Supplementary information
Rights and permissions
Open Access This article is licensed under a Creative Commons Attribution 4.0 International License, which permits use, sharing, adaptation, distribution and reproduction in any medium or format, as long as you give appropriate credit to the original author(s) and the source, provide a link to the Creative Commons licence, and indicate if changes were made. The images or other third party material in this article are included in the article’s Creative Commons licence, unless indicated otherwise in a credit line to the material. If material is not included in the article’s Creative Commons licence and your intended use is not permitted by statutory regulation or exceeds the permitted use, you will need to obtain permission directly from the copyright holder. To view a copy of this licence, visit http://creativecommons.org/licenses/by/4.0/.
About this article
Cite this article
Courtiol, A., Vullioud, C., Rousset, F. et al. Reply to: Maternal capacity, twinning and fertility: the last birth matters. Nat Commun 15, 8446 (2024). https://doi.org/10.1038/s41467-024-52549-2
Received:
Accepted:
Published:
Version of record:
DOI: https://doi.org/10.1038/s41467-024-52549-2
