Abstract
The signature feature of the ‘strange metal’ state of high-Tc cuprates—its linear-in-temperature resistivity—has a coefficient α1 that correlates with Tc, as expected were α1 derived from scattering off the same bosonic fluctuations that mediate pairing. Recently, an anomalous linear-in-field magnetoresistance (=γ1H) has also been observed, but only over a narrow doping range, leaving its relation to the strange metal state and to the superconductivity unclear. Here, we report in-plane magnetoresistance measurements on three hole-doped cuprate families spanning a wide range of temperatures, magnetic field strengths and doping. In contrast to expectations from Boltzmann transport theory, γ1 is found to correlate universally with α1. A phenomenological model incorporating real-space inhomogeneity is proposed to explain this correlation. Within this picture, superconductivity in hole-doped cuprates is governed not by the strength of quasiparticle interactions with a bosonic bath, but by the concentration of strange metallic carriers.
Similar content being viewed by others
Introduction
The temperature (T) and magnetic field (H) dependence of the electrical resistivity ρ of a metal contains a wealth of information on the dominant interactions that scatter the conduction electrons and thus can mediate superconducting (SC) pairing. In conventional metals, the T-linear electron-phonon (e-ph) scattering rate ℏ/τph = 2 πλtrkBT where ℏ is Planck’s constant, kB Boltzmann’s constant and λtr is the e-ph coupling constant for transport. λtr is closely related to λ, the e-ph coupling strength used in the determination of Tc in BCS superconductors via the McMillan formula1; a correspondence which underlies the old adage ‘good metals make bad superconductors’.
This correlation between λtr and Tc contrasts in an interesting way with what is found in certain quantum critical metals that also superconduct. In these materials, a fan-like region of T-linear resistivity, emanating from a quantum critical point (QCP), is attributed to scattering off critical fluctuations of the underlying order2,3 that is strong enough to destroy the Fermi-liquid (FL) ground state. Empirically, both α1 (the coefficient of the T-linear resistivity) and the extracted scattering rate ℏ/τ ~ ζkBT (1 ≤ ζ ≤ π) are approximately constant within the quantum critical fan3,4 and as such, do not correlate with Tc. This lack of correlation supports the notion that inelastic scattering within the fan is bounded to a maximal equilibration rate for charge carriers known as the Planckian limit5,6. The notion of Planckian dissipation is now associated with a broad class of strongly interacting materials, including high-Tc cuprates5,7,8, ultracold atoms9 and twisted bilayer graphene10, motivating the search for a unified explanation with11,12 or without well-defined quasiparticles13,14.
In overdoped cuprates, the low-T in-plane resistivity is empirically well described by ρab(T) = ρ0 + α1T + βT2 where α1 is finite not at a singular point but over an extended doping range—from just beyond optimal doping to the edge of the SC dome7,15. Such extended T-linearity to the lowest T is suggestive of a quantum critical phase14,16 and is a defining characteristic of the cuprate ‘strange metal’ regime17. In marked contrast to what is found in quantum critical metals, α1 in overdoped cuprates is correlated with both Tc7,15 and the superfluid density ns17. At first sight, these correlations suggest an analogy with conventional BCS superconductors, with spin18 or charge19 fluctuations possibly playing the role of the scattering boson for transport and Cooper pair formation alike. The existence of an interacting boson of variable strength (i.e., variation in α1), as well as the presence of a T2 scattering rate, however, sit at odds with the notion of universal Planckian dissipation8.
In order to gain further insights into the nature of the strange metal (SM) regime in cuprates, attention has switched to the magnetoresistance (MR) response at high fields (20 T ≤ μ0H ≤ 90 T), specifically the robust H-linear MR observed in both electron-20 and hole-doped cuprates21,22,23. To date, these high-field studies have tended to focus on a rather narrow, isolated region of their respective phase diagrams and as such, any attempt to find a relation between the H-linear MR and T-linear resistivity has been speculative. To address this, we have carried out a comprehensive high-field MR study on three hole-doped cuprate families: (Pb/La)-doped Bi2Sr2CuO6+δ (Bi2201), Tl2Ba2CuO6+δ (Tl2201) and La2−xSrxCuO4 (LSCO) for which the correlation between α1 and Tc is well established7,24,25. Our study reveals a striking and robust correlation between α1 and γ1, the slope of the high-field H-linear MR. A simple, phenomenological model is proposed that is able to account both for the (T + T2) form of the resistivity and for the non-trivial correlation between α1 and γ1. When combined with the correlation between α1, Tc and ns, we conclude that weakening superconductivity in overdoped cuprates is governed not by a decreasing strength of quasiparticle interactions, but by a reduction in the number of strange metallic (possibly Planckian) carriers.
Results
Panels (a–e) of Fig. 1 show ρ(H, T) for a representative set of Bi2201 single crystals over a wide doping range that incorporates both the pseudogap (0.13 ≤ p < p* ~ 0.20) and strange metal (p* < p ≤ 0.27) regimes. (In all measurements shown here, the current I is applied within the CuO2 plane and H ∥c). In highly doped samples with a low Tc, the crossover from quadratic to linear MR is clearly visible within the accessible field range. At lower dopings where Tc is elevated, the low-T behaviour is obscured by superconductivity and only H-linearity is observed at high fields. At higher T, the MR is predominantly quadratic but approaches linearity at high fields with a coefficient in agreement with the data reported over a much more limited field and doping range in ref. 22. In all cases, H-linearity is asymptotically approached at the highest fields.
a–e ρ(H, T) of selected Bi2201 crystals over the doping range 0.13 ≤ p ≤ 0.27. With increasing p, a marked decrease in the magnitude of the MR (at a constant temperature) is observed, as highlighted by the red shaded regions for T = 80 K. f Δρ(H, 80 K) curves for 8 different dopings. g Corresponding Δρ/ρ(0) curves. For p > p* ~ 0.2, the magnitude of Δρ/ρ(0) drops with increasing p, revealing that within the SM regime (p* < p < 0.27), the order-of-magnitude enhancement in the MR is not a result of an increase in ρ(0, T) (e.g. due to a reduced carrier density). h The derivative of the MR at p = 0.205 illustrating the tendency at all temperatures to H-linearity at high fields. The line colours are the same as those used in (a)–(e). i T-dependence of dρ/dμ0H at the highest measured field range (specifically the last 3 T of each field sweep) for the MR curves displayed in (a)–(e). For all dopings, dρ/d\({\mu }_{0}H{| }_{{H}_{\max }}\) saturates at low T at a value (= γ1) denoted by horizontal dashed lines. Shaded regions reflect the uncertainty in γ1 for each data set. Estimates for γ1 obtained from field sweeps for which the H-linear regime could not be reached are not shown. For the optimally-doped sample (p = 0.16), the upturn in dρ/d\({\mu }_{0}H{| }_{{H}_{\max }}\) at the lowest T is due to paraconductivity effects. The origin of the low-T downturn in dρ/d\({\mu }_{0}H{| }_{{H}_{\max }}\) for p = 0.13 is unknown. Nevertheless, an estimate for γ1 can still be made, albeit with greater uncertainty.
The red shaded regions of panels (a–e) highlight the doping evolution of the MR at a fixed temperature T = 80 K that in all cases lies well above the temperature below which paraconductivity contributions from SC fluctuations become apparent. Noting that the absolute span in ρ is the same (140 μΩcm) in all panels, it is evident that the magnitude of the MR decreases monotonically with increasing p. The overall trend is summarized in Fig. 1f where Δρ(H, 80 K) = (ρ(H, 80 K) –ρ(0, 80 K)) is plotted for 8 different dopings. ρ(0, 80 K) itself decreases roughly by a factor of 2 across the series, reflecting changes in the scattering rate and/or the carrier density. Δρ(H, 80 K), by contrast, decreases by more than one order of magnitude. The corresponding Δρ(H, 80 K)/ρ(0, 80 K) values are plotted in Fig. 1g. Intriguingly, for the three samples in the pseudogap regime with p < p* (~0.2), Δρ(H, 80 K)/ρ(0, 80 K) is found to be independent of doping. The same is also seen in LSCO below p*—see Supplementary Fig. 3c. This implies that the increase in Δρ below p* is a direct consequence of the increase in ρ(0) with underdoping, presumably due to the loss of electronic states once the pseudogap opens. For higher dopings, by contrast, even the fractional change in MR is found to vary strongly with p, decreasing by one order of magnitude between p = 0.205 and 0.27 (see Fig. 1g).
At high H/T (below Tc in most samples) and for all dopings, the MR asymptotically approaches H-linearity with a T-independent slope γ1, as shown in ref. 22 and illustrated for p = 0.205 in Fig. 1h. In order to obtain estimates for γ1(p), we study the low-T limit of the highest field data (where the normal state can be accessed). A summary of the results is shown in Fig. 1i where the T-dependence of dρ/d\({\mu }_{0}H{| }_{{H}_{\max }}\)—the MR slope at the highest measured field range (i.e. over the last 3 T of each field sweep)—is plotted for all the samples whose raw MR data are included in panels (a–e). In agreement with previous measurements on LSCO21, dρ/d\({\mu }_{0}H{| }_{{H}_{\max }}\) is found to increase with decreasing T and to saturate at a constant value (=γ1) at low T. As a function of doping, γ1(p) exhibits a monotonic decrease, consistent with our expectations from Fig. 1g.
Two further studies were conducted: one on a single crystal of overdoped Tl2201 (Tc = 35 K at ambient pressure) as a function of hydrostatic pressure and one on a series of LSCO single crystals, the data for which are reported in Supplementary Figs. 2 and 3, respectively. The Tc (and inferred doping) of Tl2201 can be tuned appreciably with the application of modest pressures26. A gradual decrease in γ1 is observed with increasing pressure, consistent with the correlation between γ1 and Tc (or p) seen in Bi2201 beyond p*. As reported in ref. 21, LSCO near p* (x = 0.19) also exhibits H-linear MR at the highest fields. Here, the MR of two LSCO samples with x = p = 0.20 and 0.23 up to 35 T has been measured and pulsed-field data reported in ref. 7 for p = 0.17 and 0.23 reanalysed. The field derivatives show clearly that, just as in Bi2201 and Tl2201, the MR becomes H-linear at high H/T values.
The results for all three families are summarised in Fig. 2; the left and right panels showing, respectively, the doping or pressure evolution of γ1 and α1. (Although an equivalence between pressure and hole doping in Tl2201 has not yet been definitively demonstrated, we adopt here the dependence of Tc on p reported in ref. 25 to arrive at the same conclusion). Despite the very different Fermi surface topologies, degree of electronic inhomogeneity and electron mobility across the three families, both α1 and γ1 exhibit a clear linear doping dependence and extrapolate to zero at the same doping concentration in all cases, implying a direct and robust correlation between the two. That both coefficients extrapolate to zero at a doping level p ≈ 0.3 and positively correlate with Tc throughout the SM regime also implies that the emergence of H-linear MR and T-linear resistivity is closely tied to the onset of superconductivity. While previous studies20,21,22 have hinted at a trend in γ1, the doping ranges in each case were too narrow (Δp ≤ 0.03) to make any definitive claims.
Doping dependence of γ1—the high H/T limiting value of the MR—and α1—the low-T T-linear coefficient of the resistivity—for (a, b) Bi2201, (c, d) LSCO and (e, f) Tl2201, respectively. Diamonds indicate results obtained as part of this high-field study, while circles and squares indicate results obtained from the literature. Circles and squares in (c) and (d) are taken from refs. 7, 21, respectively. Circles in (f) are from ref. 24. Note that α1 is plotted only for samples with p > p*. In e, γ1 is plotted vs. p as determined from the Tc value at each pressure using the correlation reported in ref. 25. Error bars on points marked as solid diamonds are due to geometric uncertainty in the absolute value of the resistivity and necessary extrapolations. Error bars on the open squares and circles are taken from the relevant source, if provided, or assumed to be 15% (typical uncertainty in the geometrical ratios) if not. In (e), no random uncertainty in contact geometry is present due to a single sample being measured but a systematic uncertainty of 20% is included. All dotted lines are guides to the eye. Arrowheads on the doping axes indicate psc for the respective material.
Discussion
In order to understand why these correlations are non-trivial, let us first consider the MR response of a FL described by Boltzmann transport theory. Being an even function of H, the MR is always quadratic at the lowest field strengths, though it is the cyclotron frequency ωc (∝H), not τ, that sets the field dependence of Δρ(H). Its magnitude, on the other hand, is set primarily by the product ωcτ and its variation (anisotropy) over the Fermi surface. (Recall that MR vanishes in a perfectly isotropic metal27). Provided that this anisotropy does not vary significantly with temperature, the T-dependence of Δρ(H) will be determined largely by that of ρ(T), as expressed through Kohler’s rule: Δρ/ρ(0, T) = f(H/ρ(0, T)). With increasing field strength, Δρ(H) will pass through an inflection point before saturating once multiple cyclotron orbits have washed out all manifestations of anisotropy. Hence, unless the anisotropy itself is extreme28 or multiband effects are involved29, no extended region of H-linear MR is expected.
With regards to the doping dependence, a decreasing magnitude of the MR due to a monotonic reduction in ωcτ at low-T as the system is doped away from the Mott insulating state (and thus becomes increasingly more metallic) seems unlikely; there is little variation in the residual resistivity ρ0 within this doping range and no indication, e.g. from existing specific heat measurements30,31, for a large change in m*. Moreover, the magnitude of γ1 in Bi2201 and Tl2201 is essentially the same, despite their ρ0 values differing by almost one order of magnitude.
The alternative explanation—a reduction in the effective anisotropy of ωcτ with increasing p—could in principle apply to LSCO. Strong in-plane anisotropy in the elastic mean-free-path ℓ0(ϕ) has been deduced at a doping close to where the Fermi level crosses the van Hove singularity (vHs)32 and shown to generate a broad regime of H-linear MR of the right order of magnitude23. Moreover, beyond the edge of the SC dome, this anisotropy in ℓ0(ϕ) is known to be much reduced33. As shown in Supplementary Fig. 4, however, incorporating the known Fermi surface geometry and a form of ℓ0(ϕ) that tracks the anisotropy in the density of states into the Boltzmann equation, we find that Δρ/ρ(0) and γ1 are essentially doping independent across the SM regime, in marked contrast with experimental findings.
More constraining is the fact that in Bi2201, the vHs crossing point is located close to p ~ 0.2734,35, i.e. where the MR is smallest, while in Tl2201, it is believed to be located at a doping level (p ~ 0.54) that is far higher than those studied here25. Hence, in both Bi2201 and Tl2201, one should expect anisotropy in ℓ0(ϕ) and the resultant MR to grow with increasing p (as confirmed in the simulations for Bi2201 plotted in Supplementary Fig. 5). Thus, given what is known about these three distinct families, the ubiquitous and marked decrease in γ1 across the SM regime appears difficult to reconcile within any viable Boltzmann framework, even one incorporating a very specific combination of Fermiology and anisotropic scattering.
There are several other known mechanisms for generating a H-linear MR in metals, in particular, those that incorporate a random distribution in carrier density and mobility. As we discuss in the Supplementary Information Section IV, however, none of these seem capable of explaining the key observations: the H/T scaling of the MR in the presence of a large ρ0, the correlation between α1 and γ1 and the presence of the T2 component in ρ(T) in a consistent manner. What is both intriguing and constraining here is the ubiquity of the H-linear MR (in multiple families with different Fermiologies), its magnitude, form and T-dependence and the aforementioned correlations (with α1 and Tc).
One of the most striking features of the MR response in overdoped cuprates is its empirical adherence to the quadrature expression: ρ(H, T) = \({{\mathcal{F}}}(T)+\sqrt{{(\alpha {k}_{B}T)}^{2}+{(\gamma {\mu }_{0}H)}^{2}}\) 36, where α (γ) are the T- (H-)linear coefficients within the quadrature expression, respectively, and \({{\mathcal{F}}}(T) \sim {\rho }_{0}+\beta {T}^{2}\) 22. (Note here that the entire field response is encapsulated in the quadrature expression; the \({{\mathcal{F}}}(T)\) component itself possessing negligible MR.) An example of the applicability of this expression is shown for Tl2201 in Supplementary Fig. 2 (dashed lines). Such a decomposition of ρ(H, T) may signify either the presence of two independent inelastic scattering rates (one T-linear, one quadratic) or two resistive channels coupled in series. For the former, these rates should combine with the elastic (impurity) scattering to generate a total scattering rate whose overall T-dependence is also reflected in the MR, an outcome that is inconsistent with the strict adherence to the quadrature expression (in which only the T-linear component of ρ(T) appears in the MR). Secondly, the large value of ρ0 in Bi2201 and the lack of sufficient k-space anisotropy in the mean-free-path ℓ in Tl2201 at low T37 ensure that any MR calculated using Boltzmann transport theory and the known parameterization for each system is at least one order of magnitude smaller than what is seen in experiment. Given these empirical facts, we proceed by assuming that ρ(H, T) is composed of two distinct sectors (phases) separated in real space, only one of which contributes significantly to the MR.
Overdoped cuprates have long been considered as systems exhibiting microscopic phase separation and granular superconductivity38,39,40. In Bi2201, for example, real-space patchiness has been imaged directly by STM for all dopings within the SM regime41. Patchiness has also been inferred for strongly overdoped LSCO42. Guided by this and the tendency for the magnetotransport to interpolate smoothly from pure FL-like behaviour (quadratic resistivity and small MR) at high dopings to pure SM behaviour (T-linear resistivity and large MR) near p*, we apply effective medium theory (for which the granularity of the model is scale-invariant) to a network of distinct FL and non-FL patches.
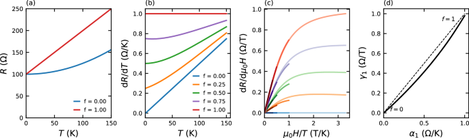
According to this picture, a fraction f of the sample is assigned a strange metallic T-linear resistance while the remainder is assigned a FL quadratic resistance. The resistance of the sample for the two limiting cases where f = 0, 1 are shown in Fig. 3a. For intermediate f, the macroscopic resistance is computed following43. This is already sufficient to reproduce a sample resistance that at low T has the observed α1T + βT2 form with α1 smoothly increasing as a function of f (Fig. 3b). If one further assumes that the strange metal patches also have an intrinsic MR than scales with H/T (justified by the observed adherence to the quadrature form) and that the FL-like resistors have a negligible MR (in accordance with expectations from Boltzmann theory), one obtains an MR that retains H/T scaling reasonably well for all values of f (Fig. 3c) with a high-field H-linear slope γ1 that correlates with α1 (Fig. 3d).
A fraction f of the sample is assumed to have a zero-field T-linear resistance and quadrature MR: \({R}_{SM}=100+\sqrt{{T}^{2}+{({\mu }_{0}H)}^{2}}\). The remainder of the sample is assigned a FL resistance with no MR: RFL(T, B) = 100 + T2. The macroscopic resistance of the sample is then computed for various values of f using effective medium theory as described in ref. 43. a Resistance R of the sample in limiting cases where f = 0, 1. b Temperature derivative of the resistance dR/dT for different values of f. A systematic increase in α1, the low-T T-linear coefficient of the resistance, is found with increasing f. c Field derivative of the sample resistance dR/dH plotted against H/T. With decreasing f, the quadrature MR intrinsic to the strange metallic part of the sample is diluted by an increasing fraction of the FL component. The scaling is reasonably well maintained for intermediate f. d The T-linear coefficient of the resistance α1 is seen to correlate with γ1—the H-linear slope of the high field MR—with both growing monotonically with increasing f.
Our phenomenological model, though overly simplistic, does appear to capture most, if not all, of the key observations: the low-T form of the resistivity (ρ0 + α1T + βT2), the quadrature form of the MR and associated H/T scaling as well as the correlation between γ1 and α1 self-consistently. While the distinct patchwork picture introduced here is probably not by itself sufficient, we expect that real-space inhomogeneity of the type highlighted in this study will be an essential ingredient of any subsequent microscopic model. Distributed networks of metallic components have previously been invoked to explain the MR of both pnictides44 (which also scales with H/T) and cuprates45 at singular dopings where the resistivity is purely T-linear. 2D random resistor networks are capable of producing non-saturating H-linear MR by incorporating continuous resistivity or mobility disorder46, while inhomogeneity in the carrier density can generate a similar MR response47. Moreover, an extension of the resistor network model to 3D returns a H-linear MR in longitudinal fields48 as observed in both Tl2201 and Bi2201 for H ∥ab and for which an explanation is currently lacking22. One salient property of this variety of model is that the resultant behaviour is insensitive to details of the Fermiology that (within a Boltzmann framework) should distinguish the various materials studied but appear not to. It remains a challenge, however, for such models to reproduce the H/T scaling, a feature that appears to set this particular MR response apart from all others.
In closing, our study has revealed a robust correlation between the coefficient α1 of the T-linear resistivity and the H-linear slope of the high-field MR in three distinct families of hole-doped cuprates. It has been argued that such a universal correlation cannot be reconciled with any simple reformulation of Boltzmann transport theory. Although the present two-component model cannot account for all of the in-plane transport properties of overdoped cuprates25, it nevertheless provides a basic framework that captures much of the essential phenomenology on which a more complete microscopic model may be built. According to this model, the doping dependences of α1 and γ1 arise due to a change in the fraction of SM carriers across the overdoped regime. As mentioned previously, the doping dependence of the T-linear resistivity seemingly sits at odds with an origin rooted in dissipation at a Planckian limit. Nevertheless, if the Planckian scattering is confined to a subset of the carriers, as proposed here, its variation with doping might still be reconciled with the notion of a Planckian bound8. The fact that the fall in superfluid density with overdoping also tracks the decrease in the number of SM carriers is intriguing, as it implies that the SC condensate emerges predominantly, if not uniquely, from the ♯3.7 non-FL49 or non-itinerant39 sector. Consequently, the suppression of the condensate is seen to be linked directly to the demise of the strange metal and not to a reduction in pairing strength and any associated (disorder-induced) pair-breaking. The reason why α1, γ1 and Tc are correlated across the SM regime then becomes apparent.
Methods
High quality Bi2201 and LSCO crystals were grown in floating zone furnaces at 3 different sites. To cover much of the phase diagram, some of the Bi2201 crystals were doped with La and Pb, resulting in the chemical formula: Bi2+z−yPbySr2−x−zLaxCuO6+δ. The Tl2201 crystal studied here was synthesized using a self-flux technique50. The hole doping for Bi2201 was estimated from the resistively-measured Tc using the Presland relation51: 1–Tc/\({T}_{c}^{\max }\) = 82.6(p – 0.16)2 with \({T}_{c}^{\max }\) = 35 K. This relation was recently demonstrated to hold well in Bi220135. For LSCO, the doping was estimated from the measured Tc using the same parabolic relation with \({T}_{c}^{\max }\) = 38 K and found to match closely the Sr content of each crystal. The crystallographic axes of LSCO were oriented with a Laue camera. Typical sample dimensions were 1000 × 250 × 10 μm3 for Bi2201 and Tl2201 and 1500 × 250 × 50 μm3 for LSCO. The ρ(0, T) curves of all the MR samples are shown in Supplementary Fig. 1.
The MR was measured in DC and pulsed magnets up to 35 T and 70 T, respectively with the current I applied in-plane and H ∥c. For the pulsed field measurements, samples and wires were fully covered in GE varnish and/or vacuum grease to reduce vibration. To increase the measurement signal, each Bi2201 crystal was mechanically thinned to a thickness of 2–10 μm, resulting in sample resistances of ~1 Ω, i.e. comparable to the resistance of the current contacts. At each measurement temperature, the MR curves were recorded for both polarities of the magnetic field. For Tl2201, a single crystal with an ambient pressure Tc = 35 K was selected and prepared for transport measurements under the application of hydrostatic pressure using a piston cylinder cell. The sample was oriented on a feed-through such that the magnetic field H ∥c. Daphne 7373 oil was used as a pressure transmitting medium as it is known to remain hydrostatic at room temperature (the temperature at which pressure was applied) up to 2.2 GPa52, beyond the pressures applied in this work.
Data availability
The data that support the findings of this study are available at the University of Bristol data repository, data.bris, at https://doi.org/10.5523/bris.2g87jr92yk2v72t1wz0ynjcsts. Other material is available from the corresponding authors upon request.
References
Allen, P. B. The electron-phonon coupling constant λ*. In Handbook of Superconductivity (eds. Cardwell, D. A., Larbalestier, D. C. & Braginski, A.) 478–489 (CRC Press, 2000).
Kasahara, S. et al. Evolution from non-fermi- to fermi-liquid transport via isovalent doping in BaFe2(As1−xPx)2 superconductors. Phys. Rev. B 81, 184519 (2010).
Licciardello, S. et al. Electrical resistivity across a nematic quantum critical point. Nature 567, 213–217 (2019).
Bruin, J. A. N., Sakai, H., Perry, R. S. & Mackenzie, A. P. Similarity of scattering rates in metals showing T-linear resistivity. Science 339, 804–807 (2013).
Zaanen, J. Why the temperature is high. Nature 430, 512–513 (2004).
Hartnoll, S. A. & Mackenzie, A. P. Planckian dissipation in metals. Rev. Mod. Phys. 94, 041002 (2022).
Cooper, R. A. et al. Anomalous criticality in the electrical resistivity of La2−xSrxCuO4. Science 323, 603–607 (2009).
Legros, A. et al. Universal T-linear resistivity and Planckian dissipation in overdoped cuprates. Nat. Phys. 15, 142–147 (2019).
Brown, P. T. et al. Bad metallic transport in a cold atom fermi-hubbard system. Science 363, 379 (2019).
Cao, Y. et al. Strange metal in magic-angle graphene with near Planckian dissipation. Phys. Rev. Lett. 124, 076801 (2020).
Sadovskii, M. Planckian relaxation delusion in metals. Phys. Uspekhi 64, 175–190 (2021).
Huang, E. & Das Sarma, S. Linear-in-T resistivity in dilute metals: a fermi liquid perspective. Phys. Rev. B 99, 085105 (2019).
Patel, A. A. & Sachdev, S. Theory of a Planckian metal. Phys. Rev. Lett. 123, 066601 (2019).
Zaanen, J. Planckian dissipation, minimal viscosity and the transport in cuprate strange metals. SciPost Phys. 6, 061 (2019).
Yuan, J. et al. Scaling of the strange-metal scattering in unconventional superconductors. Nature 602, 431 (2022).
Hussey, N. E., Buhot, J. & Licciardello, S. A tale of two metals: contrasting criticalities in the pnictides and hole-doped cuprates. Rep. Prog. Phys. 81, 052501 (2018).
Phillips, P. W., Hussey, N. E. & Abbamonte, P. Stranger than metals. Science 377, eabh4273 (2022).
Wu, W., Wang, X. & Tremblay, A. M. S. Non-fermi liquid phase and linear-in-temperature scattering rate in overdoped two-dimensional Hubbard. Proc. Natl. Acad. Sci. USA 119, 15819119 (2022).
Seibold, G. et al. Strange metal behaviour from charge density fluctuations in cuprates. Commun. Phys. 4, 7 (2021).
Sarkar, T., Mandal, P. R., Poniatowski, N. R., Chan, M. K. & Greene, R. L. Correlation between scale-invariant normal-state resistivity and superconductivity in an electron-doped cuprate. Sci. Adv. 5, eaav6753 (2019).
Giraldo-Gallo, P. et al. Scale-invariant magnetoresistance in a cuprate superconductor. Science 361, 479–481 (2018).
Ayres, J. et al. Incoherent transport across the strange metal regime of highly overdoped cuprates. Nature 595, 661–667 (2021).
Ataei, A. et al. Electrons with Planckian scattering obey standard orbital motion in a magnetic field. Nat. Phys. 18, 1420–1424 (2022).
Hussey, N. E., Gordon-Moys, H., Kokalj, J. & McKenzie, R. H. Generic strange-metal behaviour of overdoped cuprates. J. Phys. Conf. Series 449, 012004 (2013).
Putzke, C. et al. Reduced Hall carrier density in the overdoped strange metal regime of cuprate superconductors. Nat. Phys. 17, 826–831 (2021).
Looney, C. W., Kline, J. E., Mascarenhas, F., Schilling, J. S. & Hermann, A. M. Influence of oxygen content on the activation energy for oxygen ordering in Tl2Ba2CuO6+δ. Physica C 289, 203–210 (1997).
Pippard, A. Magnetoresistance in metals. (Cambridge University Press, 1989).
Hinlopen, R. D. H., Ayres, J., Hinlopen, F. A. & Hussey, N. E. B2 to B-linear magnetoresistance due to impeded orbital motion. Phys. Rev. Res. 4, 033195 (2022).
Koshelev, A. E. Linear magnetoconductivity in multiband spin-density-wave metals with nonideal nesting. Phys. Rev. B 88, 060412 (2013).
Wade, J. M., Loram, J. W., Mirza, K. A., Cooper, J. R. & Tallon, J. L. Electronic specific heat of Tl2Ba2CuO6+δ from 2 K to 300 K for 0 ≤ δ ≤ 0.1. J. Supercon. 7, 261–264 (1994).
Girod, C. Chaleur Spécifique á Basse Temperature Dans l’état Normal Des Cuprates Superconducteurs. https://theses.hal.science/tel-03127177 (2021).
Grissonnanche, G. et al. Linear-in temperature resistivity from an isotropic Planckian scattering rate. Nature 595, 667–672 (2021).
Narduzzo, A. et al. Violation of the isotropic mean free path approximation for overdoped La2−xSrxCuO4. Phys. Rev. B 77, 220502 (2008).
Ding, Y. et al. Disappearance of superconductivity and a concomitant Lifshitz transition in heavily overdoped Bi2Sr2CuO6 superconductor revealed by angle-resolved photoemission spectroscopy. Chin. Phys. Lett. 36, 017402 (2018).
Berben, M. et al. On the superconducting dome and pseudogap endpoint in Bi2201. Phys. Rev. Mater. 6, 044804 (2022).
Hayes, I. M. et al. Scaling between magnetic field and temperature in the high-temperature superconductor BaFe2(As1−xPx)2. Nat. Phys. 12, 916–919 (2016).
Abdel-Jawad, M. et al. Anisotropic scattering and anomalous normal-state transport in a high-temperature superconductor. Nat. Phys. 2, 821–825 (2006).
Uemura, Y. J. Microscopic phase separation in the overdoped region of high-Tc cuprate superconductors. Solid State Commun. 120, 347–351 (2001).
Pelc, D., Popčević, D., Požek, M., Greven, M. & and Barišić, N. Unusual behavior of cuprates explained by heterogeneous charge localization. Sci. Adv. 5, eaau4538 (2019).
Li, Z.-X., Kivelson, S. A. & and Lee, D.-H. Superconductor-to-metal transition in overdoped cuprates. npj Quant. Mat. 6, 36 (2021).
Tromp, W. O. et al. Puddle formation and persistent gaps across the non-mean-field breakdown of superconductivity in overdoped (Pb,Bi)2Sr2CuO6+δ. Nat. Mat. 22, 703–708 (2023).
Li, Y. et al. Strongly overdoped La2−xSrxCuO4: evidence for Josephson-coupled grains of strongly correlated superconductor. Phys. Rev. B 106, 224515 (2022).
Adkins, C. J. Effective-medium theory of conductivity and hall effect in two dimensions. J. Phys. C: Solid State Phys. 12, 3389 (1979).
Patel, A. A., McGreevy, J., Arovas, D. P. & Sachdev, S. Magnetotransport in a model of a disordered strange metal. Phys. Rev. X 8, 021049 (2018).
Boyd, C. & & Phillips, P. W. Single-parameter scaling in the magnetoresistance of optimally doped La2−xSrxCuO4. Phys. Rev. B 100, 155139 (2019).
Parish, M. J. & Littlewood, P. B. Non-saturating magnetoresistance in heavily disordered semiconductors. Nature 426, 162–165 (2003).
Singleton, J. Temperature scaling behavior of the linear magnetoresistance observed in high-temperature superconductors. Phys. Rev. Mat. 4, 061801 (2020).
Hu, J., Parish, M. M. & Rosenbaum, T. F. Nonsaturating magnetoresistance of inhomogeneous conductors: comparison of experiment and simulation. Phys. Rev. B 75, 214203 (2007).
Čulo, M. et al. Possible superconductivity from incoherent carriers in overdoped cuprates. SciPost Phys. 11, 012 (2021).
Tyler, A. W. J. An Investigation Into the Magnetotransport Properties of Layered Superconducting Perovskites (University of Cambridge, 1997).
Presland, M. R., Tallon, J. L., Buckley, R. G., Liu, R. S. & Flower, N. E. General trends in oxygen stoichiometry effects on Tc in Bi and Tl superconductors. Physica 176C, 95–105 (1991).
Yokogawa, K., Murata, K., Yoshino, H. & Aoyama, S. Pressure transmitting medium Daphne 7474 solidifying at 3. Jpn. J. Appl. Phys. 46, 3636–3639 (2007).
Acknowledgements
We acknowledge stimulating discussions with W. A. Atkinson, P. Chudzinski, P. Coleman, A. Georges, A. Patel and S. Sachdev. We also acknowledge the support of HFML-RU/NWO-I and LNCMI-T, both members of the European Magnetic Field Laboratory (EMFL). This work was supported by the Netherlands Organisation for Scientific Research (NWO) grant No. 16METL01 ‘Strange Metals’ (MB), the European Research Council (ERC) under the European Union’s Horizon 2020 research and innovation programme (Grant Agreement No. 835279-Catch-22) (D.J., J.A. and N.E.H.) and the Engineering and Physical Sciences Research Council (UK) grant EP/V02986X/1 (N.E.H.). J.A. acknowledges the support of a Leverhulme Trust Early Career Fellowship. D.V. and C.P. acknowledge support from the EUR grant NanoX no ANR-17-EURE-0009 and from the ANR grant NEPTUN no ANR-19-CE30-0019-01. T.K. acknowledges support from the Asahi Glass Foundation and by the Murata Science Foundation.
Author information
Authors and Affiliations
Contributions
The project was conceived and supervised by S.F., A.Ca. and N.E.H. The single crystals were grown by Y.H., T.K. and T.T. The experiments were prepared and performed by J.A., M.B., C.D., Y.-T.H., M.L., I.G., M.M., D.V. and C.P. The data were analysed and figures produced by J.A. and M.B. Supporting Boltzmann modelling was contributed by A.Cu. and R.D.H.H. The manuscript was written by J.A., M.B. and N.E.H. with contributions from all authors.
Corresponding authors
Ethics declarations
Competing interests
The authors declare no competing interests.
Peer review
Peer review information
Nature Communications thanks the anonymous reviewers for their contribution to the peer review of this work. A peer review file is available.
Additional information
Publisher’s note Springer Nature remains neutral with regard to jurisdictional claims in published maps and institutional affiliations.
Supplementary information
Rights and permissions
Open Access This article is licensed under a Creative Commons Attribution 4.0 International License, which permits use, sharing, adaptation, distribution and reproduction in any medium or format, as long as you give appropriate credit to the original author(s) and the source, provide a link to the Creative Commons licence, and indicate if changes were made. The images or other third party material in this article are included in the article’s Creative Commons licence, unless indicated otherwise in a credit line to the material. If material is not included in the article’s Creative Commons licence and your intended use is not permitted by statutory regulation or exceeds the permitted use, you will need to obtain permission directly from the copyright holder. To view a copy of this licence, visit http://creativecommons.org/licenses/by/4.0/.
About this article
Cite this article
Ayres, J., Berben, M., Duffy, C. et al. Universal correlation between H-linear magnetoresistance and T-linear resistivity in high-temperature superconductors. Nat Commun 15, 8406 (2024). https://doi.org/10.1038/s41467-024-52564-3
Received:
Accepted:
Published:
Version of record:
DOI: https://doi.org/10.1038/s41467-024-52564-3
This article is cited by
-
Persistence of vortexlike phase fluctuations in underdoped to heavily overdoped cuprates
Nature Communications (2025)
-
Impact of low-energy spin fluctuations on the strange metal in a cuprate superconductor
Nature Physics (2025)





