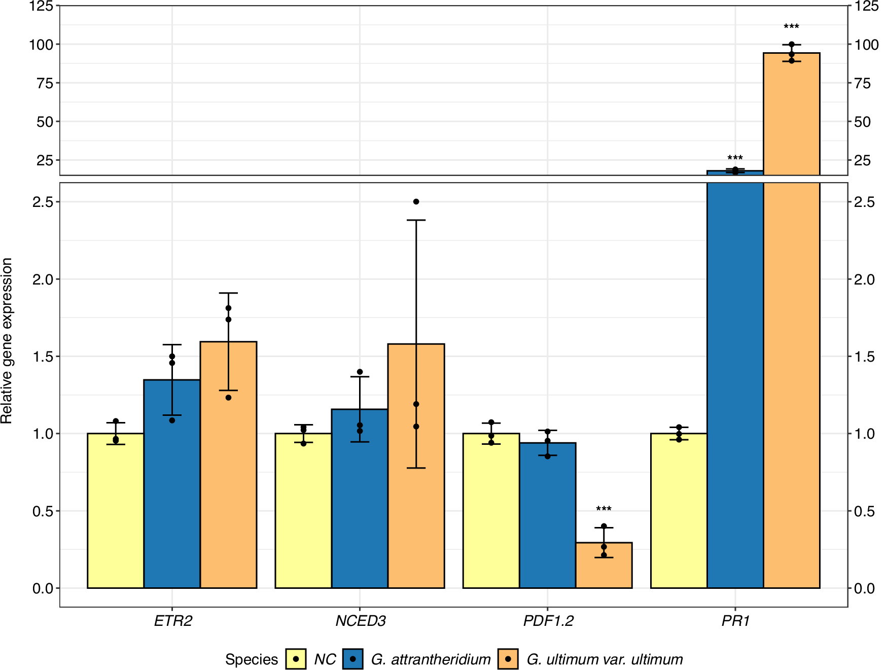
Fig. 10: Comparison of gene expression levels of corn in response to Pythium s.l. infection.
From: An assessment of the species diversity and disease potential of Pythium communities in Europe

Effects of Pythium s.l. infection on expression levels of main defense-related phytohormone marker genes in corn roots at 7 days past infection quantified by RT-qPCR. PR1 for salicylic acid (SA), PDF1.2 for jasmonate (JA), ETR2 for ethylen (ET) and NCED3 for abscisic acid (ABA). Relative expression (log2) of each marker gene was displayed (non-infected control (NC), G. attrantheridium and G. ultimum var. ultimum). Statistical differences were tested two-sided by a multiple contrast test for ***p < 0.001, **p < 0.01, *p < 0.05 (degrees of freedom = 24). Error bars indicate the standard deviation (n = 3).