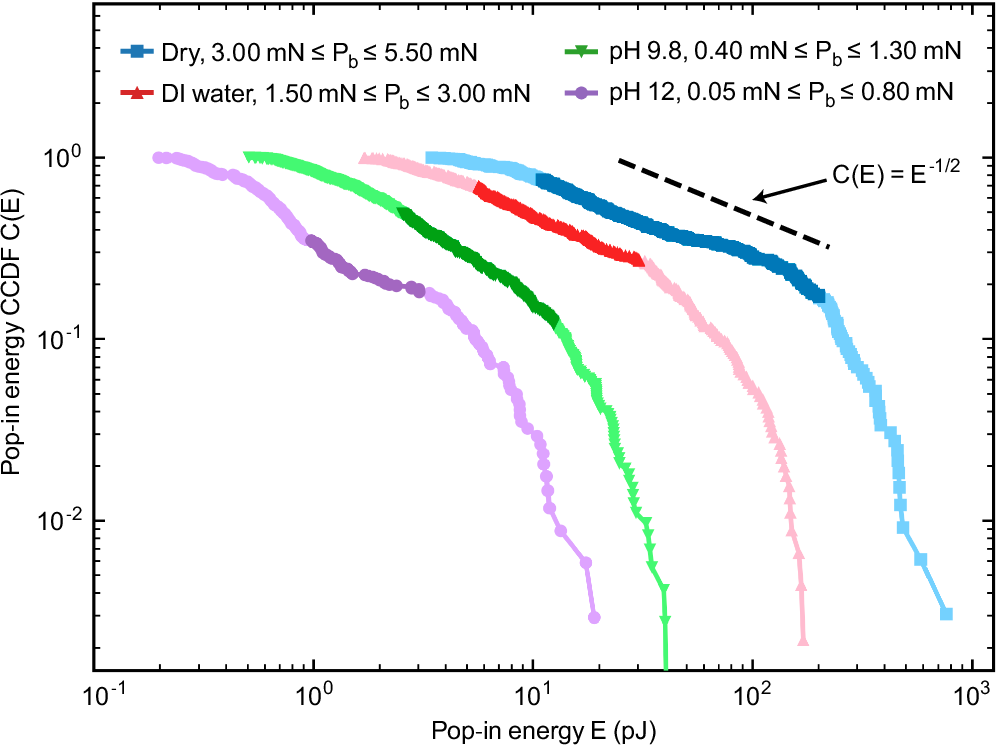
Fig. 7: Event size CCDFs constructed from the critical loads for each condition.
From: Quantifying chemomechanical weakening in muscovite mica with a simple micromechanical model

The events that scale closest to the mean-field prediction are shown bolded for each condition. Increasing the environmental pH leads to mean-field scaling in the size CCDF at lower loads. These findings are consistent with the interpretation that the large events that make up the local maxima in \(\langle E\rangle\) versus \({P}_{b}\) can be interpreted as critical system-spanning avalanche events and the mean-field scaling emerges because there is a broad range of events that occur close to criticality. Source data are provided as a Source Data file.