Abstract
The growing global food demand, coupled with the limitations of traditional pest control methods, has driven the search for innovative and sustainable solutions in agricultural pest management. In this review, we highlight polymeric nanocarriers for their potential to deliver double-stranded RNA (dsRNA) and control pests through the gene-silencing mechanism of RNA interference (RNAi). Polymer-dsRNA systems have shown promise in protecting dsRNA, facilitating cellular uptake, and ensuring precise release. Despite these advances, challenges such as scalability, cost-efficiency, regulatory approval, and public acceptance persist, necessitating further research to overcome these obstacles and fully unlock the potential of RNAi in sustainable agriculture.
Similar content being viewed by others
Introduction
Agricultural systems are undeniably the cornerstone of global food production, feeding an ever-growing global population that is expected to reach 9.7 billion by 20501. This critical role, however, is persistently undermined by pests and diseases, which jeopardize crop yields and pose a direct threat to food security and economic stability. The extent of this challenge is staggering, with pests annually causing the loss of approximately 20–40% of global crop production, according to estimates by the Food and Agriculture Organization of the United Nations2,3. Moreover, this percentage could potentially increase by 10 to 25% for each degree Celsius of warming, due to increases in population growth and metabolic rates of insects4. These alarming statistics underscore the urgent need for innovative and sustainable solutions in pest management.
Traditionally, the agricultural sector has relied on chemical pesticides to combat these adversaries. Pesticides are highly effective, economical, and can be applied quickly to have an immediate impact on pest populations. However, while pesticides have delivered some successes, they also raise profound concerns. Often, these chemical agents introduce toxic substances into ecosystems, triggering adverse effects on non-target organisms (including humans), polluting soils, and contaminating water systems5,6,7,8. Furthermore, pests have displayed the capacity to develop resistance to these chemical treatments, gradually diminishing the efficacy of pesticides and giving rise to more resilient and challenging pest populations8,9. These accumulating challenges demand novel, eco-friendly, and precision-guided strategies for pest management to ensure global food security and environmental sustainability.
In the pursuit of such sustainable pest control, RNA interference (RNAi)-based technology has emerged as a promising alternative10. The term RNA interference, originating from the pioneering research of Fire and Mello in Caenorhabditis elegans11, refers to one of the most profound scientific advancements of the past two decades.
The RNAi pathway is a conserved gene-silencing process naturally occurring in many eukaryotic organisms. It plays a vital role in defending cells against parasitic nucleotide sequences like viruses or transposons12. This phenomenon consists of three fundamental stages (Fig. 1): (1) the cleavage of long double-stranded RNA (dsRNA) by the Dicer enzyme into small interfering RNAs (siRNAs) approximately 21 to 23 nucleotides in length; (2) the loading of one siRNA strand onto an Argonaute protein (AGO) within the RNA-induced silencing complex (RISC); and (3) the recognition and cleavage of complementary messenger RNA (mRNA) sequences by the RISC, rendering them non-functional and thus preventing protein translation13,14. This phenomenon of RNAi, broadly defined, encompasses both endogenously induced gene silencing and silencing triggered by foreign dsRNA. Exploiting this gene-silencing process, particularly with foreign dsRNA, has boosted the development of novel pest management techniques based on this biological mechanism.
It involves three main steps: (1) dsRNA is cut into smaller fragments called small interfering RNA (siRNA) duplexes by an enzyme called Dicer. (2) One strand of the siRNA duplex is loaded onto a protein called Argonaute, present in the protein complex RISC, and (3) the strand of the siRNA guides the RISC to target mRNAs leading to its cleavage.
The growing interest in the application of this technique for pest control has promoted the development of numerous exogenous methods for dsRNA delivery, classified as direct or plant-mediated (Fig. 2). Among them, spray-induced gene silencing (SIGS) stands out due to its easy application, versatility and long-term effectiveness. SIGS involves the direct application of RNA molecules, typically in the form of dsRNA or siRNA, onto plant surfaces through sprays or other delivery mechanisms (Fig. 2)15. Subsequently, these RNA molecules can be internalized by the plants or remain adhered on the surface to be ingested by insects or pathogens. SIGS does not rely on genetic modifications, making it more acceptable in regions where genetically modified organisms (GMOs) face resistance. When pests come into contact with or ingest these RNA molecules, they enter the RNAi pathway within the pest’s cells, where the dsRNA is processed into siRNAs. These siRNAs guide the RISC to the target mRNA, leading to its degradation. This approach provides a versatile and rapid means of delivering RNAi effectors directly to insect pests, allowing for precise pest management without permanently altering the plant’s genetic makeup16.
Direct (left) and plant-mediated (right).
However, the practical application of RNAi in agriculture is plagued with formidable challenges. Foremost among these challenges is the efficient delivery of dsRNA molecules to target pests or plants. In the case of direct uptake by pests, dsRNA molecules must first contend with several environmental and physiological challenges. When dsRNA is applied to plant surfaces, it is susceptible to degradation by environmental factors such as free nucleases, alkaline hydrolysis, and UV irradiation17,18,19. These factors can break down the dsRNA before it even reaches the pest. Once the insect ingests the plant material containing dsRNA, the dsRNA faces additional barriers within the insect’s digestive system.
The first challenge within the insect is the peritrophic matrix, a structure primarily composed of chitin and glycoproteins. This matrix impedes the delivery of dsRNA into gut epithelial cells due to its negative charge, which causes electrostatic repulsion and restricts the movement of dsRNA across the peritrophic membrane. Additionally, the gut contains various nucleases capable of degrading dsRNA20,21. These enzymes, which remain largely uncharacterized in insects, are typically more active at a basic pH and in the presence of Mg2+ ions22. The dsRNA must also survive the alkaline conditions in the hemolymph of certain insects, such as dipterans, orthopterans, and lepidopterans, where the pH can range from 9 to 10.523. Although double-stranded RNA is more resistant to alkaline lysis than single-stranded RNA, this chemical environment still poses a significant degradation risk24.
For indirect (plant-mediated) uptake, dsRNA molecules must first be internalized and processed by the plant. After application to the plant surface, dsRNA must penetrate the relatively impermeable lipophilic cuticle, which often requires physical treatments or the use of surfactants to facilitate entry25,26. Once past the cuticle, the dsRNA enters the apoplastic space, where it encounters the plant cell wall. This porous polysaccharide matrix can restrict the movement of dsRNA based on its size and surface chemistry25. Studies have shown that the cell wall’s dynamic and viscoelastic properties can either permit or restrict the passage of dsRNA molecules, depending on their characteristics27,28,29. For instance, Li et al. details how small molecules with a hydrodynamic radius of 4 nm, such as α-amylase, were unable to penetrate plant cell walls, whereas larger molecules like 6 nm dextran demonstrated penetrative ability29.
The final barrier for dsRNA in both direct and indirect pathways is the plasma membrane of the target cells. In plants and fungi, dsRNA internalization is likely mediated by clathrin-mediated endocytosis, as these organisms lack SID-like proteins found in insects30. Studies have demonstrated that inhibiting clathrin-mediated endocytosis reduces dsRNA uptake, while activating this pathway increases internalization31. Once inside the cell, dsRNA must escape from endocytic vesicles to reach the cytoplasm, a process facilitated by mechanisms such as the proton sponge effect or membrane fusion32.
To enhance dsRNA stability and delivery, chemical modifications are often employed. Modifications like 2’-O-methyl sugar or phosphorothioate protect dsRNA from nucleases, while cationic nanocarriers help protect dsRNA from degradation and facilitate its transport across cellular barriers33,34. These strategies are crucial for improving the efficacy of RNAi-based pest control methods.
In addition to chemical modifications, the use of nanocarriers is essential for achieving optimal RNAi efficiency. Nanocarriers not only protect dsRNA from degradation but also enhance its delivery35. This is where nanocarriers, with their diverse array of structures and properties, become invaluable as dsRNA delivery vehicles36,37,38. These versatile systems can shield dsRNA from degradation (e.g., from nucleases or the high pH found in pest gut cells), facilitate its uptake into cells or organisms, and ensure controlled release, all critical steps in the RNAi process39,40. To fully capitalize on the potential of these delivery systems, precision in their design and engineering is paramount.
In this review, we explore RNA-based methods for pest control, critically assessing their efficacy and limitations while shedding light on the transformative potential of RNAi. Our exploration delves into the intricate field of dsRNA delivery, evaluating the protective and delivery advantages of various dsRNA delivery systems and highlighting ongoing research efforts to address existing limitations. By elucidating the current understanding of dsRNA protection and delivery mechanisms, we aim to provide insights into the challenges that persist in maximizing the efficacy of RNA-based solutions in agricultural pest management.
Polymer systems for dsRNA delivery
To unlock the potential of RNAi for precise and sustainable pest management, researchers have turned to polymeric vehicles as highly effective carriers for delivering dsRNA molecules. In the recent years, multiple species of polymeric carriers have been specifically designed to face the myriads of challenges encountered in dsRNA delivery, including safeguarding against degradation, orchestrating controlled release, and achieving targeted delivery into pest cells. The most representative polymeric systems can be classified into two subgroups: polycations and proteins, as depicted in Fig. 3a-d. The first subgroup includes chitosan, guanylated polymers, and star polycations, which are naturally-occurring or synthetic polymers differentiated by their main functional groups or arrangement. Proteins are usually composed of aminoacids (only, or combined with lipids) that facilitate both the interaction with dsRNA and cell-membrane uptake. Despite these differences, all polymers are featured by presenting potentially cationic functional groups (e.g., amine, guanidine groups), which electrostatically interact with the negatively charged RNA phosphodiester backbone, thereby forming stable interpolyelectrolyte complexes (IPECs), schematically represented in Fig. 3e38. This complexation has been proven to provide better control of the particle size36,41,42, and serves to shield dsRNA from RNase-mediated degradation, especially against the high acidity and nucleases found in the midgut of some pests43,44.
Chemical structure of (a) chitosan, (b) guanylated polymers, (c) star polycations, and (d) a representative cell penetrating peptide. (e) Scheme of the interpolyelectrolyte complexes formed between positively charged polymers and negatively charged dsRNA.
In the case of ingestion by insects, cationic encapsulation renders them more stable in neutral and alkaline gut environments and more efficient than naked dsRNAs in penetrating the peritrophic matrix to reach the gut cells45,46. However, the behavior of each nanocarrier in its internalization into the target cell remains to be elucidated, with proposals for at least three pathways. These pathways include the release of dsRNA molecules outside the cell followed by their internalization, as observed with nanoclays47; fusion with the membrane of some lipid-based nanocarriers and subsequent diffusion of dsRNA48; and via endocytosis49, which in the case of using star polycations, promotes the activation of clathrin-mediated endocytosis50. In the latter case, an endosomal escape stage is necessary, where dsRNA must be released from both the nanocarrier and the endocytic vesicle to reach the cytoplasm. Two predominant mechanisms of endosomal escape are known: the first, termed the proton sponge effect, is an osmosis-driven process triggered by the proton buffering capacity of nanocarriers such as polyethylenimine32; the second involves hydrophobic nanocarriers like cationic lipid-formed nanoparticles that recognize and bind with anionic phospholipids on the endosomal membrane, thereby destabilizing the endosome and releasing dsRNA/siRNA51.
In the following subsections, we review the most extensively researched cationic polymers for dsRNA delivery.
Chitosan
Chitosan, derived from the deacetylation of chitin found in the shells of insects and crustaceans, is a non-toxic and biodegradable biopolymer52. Its ability to anchor dsRNA stems from the positively charged amine groups (-NH3+) of the biopolymer, which interact through ionic interaction with the anionic phosphate groups (\({{{\rm{PO}}}}_{4}^{3-}\)) of dsRNA, forming nanoparticles52,53,54,55. Additionally, chitosan’s pKa value of 6.2 enables the formation of stable dsRNA complexes up to moderate pH levels, preventing chemical hydrolysis in the insect gut54.
For instance, in a recent study, chitosan nanoparticles (CNPs)-dsRNA complexes (200:1) exhibited negligible release at pH 7 for 45 min, indicating robust resistance to these conditions. However, exposure to environmental pH levels of 9–11 for more than 30 min resulted in the release of dsRNA ( ≤ 15%), indicating partial degradation of the IPECs structure54. Chitosan demonstrated exceptional adherence to plant leaves, essential for topical spray application. For example, CNPs remained adhered to chickpea leaf surfaces for at least 5 days, with 90% of dsRNA tightly bound to CNPs for up to 3 days54. This stability can be attributed to the protonated state of chitosan promoted by the organic acid secretion of the chickpea leaf, which creates an acidic surface (pH < 3).
As depicted in Supplementary Data 1, CNPs have demonstrated efficacy in delivering dsRNA for the control of various organisms. For instance, in studies involving the yellow fever mosquito (Aedes aegypti) and the rice striped stem borer (Chilo suppresses), CNPs led to significant pest mortalities, ranging from 45% to 100% over periods of 7 to 15 days, depending on the experiment55,56,57. Similarly, in another experiment, the administration of CNPs complexed with acetylcholine esterase (AChE) dsRNA via spray on potted plants resulted in a significant decrease in the weight (1.7-fold) and length (1.6-fold) of chickpea pod borer treated larvae. This treatment also inhibited the emergence of moth pupae, showing promise as a topical spray for H. armigera biocontrol54. Interestingly, in a different study conducted by Zhang et al.52 the administration of CNPs complexed with dsRNA to silence chitin synthase (AgCHS2) genes in Anopheles gambiae larvae (African malaria mosquito) did not target larval mortality but aimed to reduce chitin content, thereby increasing susceptibility to different pesticides. The chitin content in larvae was reduced by about 33.8% and the particles exhibited mortality rates of about 80%, 70%, and 60% when exposed to diflubenzuron (DFB), calcofluor white (CF), and dithiothreitol (DTT) larval pesticides, respectively52.
A promising strategy to enhance the knockdown efficiency and pest mortality associated with CNPs involves particle additional stabilization with sodium tripolyphosphate (sTPP), as suggested by Dhandapani et al.58 and Kolge et al.53. This stabilization is achieved by the introduction of new anionic groups, which also help in reducing particle size58. The efficacy of modified-CNPs in dsRNA delivery was demonstrated in a study by Dhandapani et al.59, where the functionalized dsIAP-CNP_TPP complex induced more than 60% mortality in Aedes aegypti through artificial feeding, compared to only 35% induced by dsIAP-CNPs.
The main drawbacks of chitosan include its poor resistance to high alkaline pH (e.g., pH 10–11), low transfection efficiency, and insolubility in water59. To address these limitations, chemical modifications of chitosan have been explored. One promising approach involves adding the guanidinium group, which shares structural similarities with cell-penetrating peptides (CPPs), enhancing its cellular uptake capabilities59. This modification has been successfully applied to various polymers, a topic we will delve into further in the following sections.
Guanylated polymers
Guanylated polymers (GNPs) are characterized by the presence of guanidine moieties in their polymeric chains. This functional group, composed of three amino groups covalently linked to a central carbon atom, exhibits resonance-stabilized charge distribution properties. This feature imparts a highly basic nature to the moiety and facilitates specific bidentate hydrogen-bonding interactions with cell membranes57,59. Analogous to chitosan, the positively charged amino groups within GNPs interact via ionic bonding with the phosphate groups of dsRNA molecules60. However, unlike chitosan, the high pKa of GNPs, at 13.6, allows them to maintain the integrity of the IPEC structure, thereby safeguarding dsRNA from the effects of elevated pH levels, such as those found in insect guts ( ≥9 pH)61.
Moreover, their exceptional features for drug delivery, including the delivery of dsRNA, and antimicrobial properties have led to diverse formulations of GNPs being used for therapeutic and medical applications. These formulations are based on various materials, including proteins62, poly(caprolactone)63, and chitosan59, all of which exhibit excellent gene delivery properties. However, to date, only methacrylate GNP-based complexes have been validated for use in RNAi for pest control38,60. This preference is due to the outstanding transfection efficiency demonstrated by methacrylate polymers61.
A compelling demonstration of the stability of guanylate-complexes is presented by Christiaens et al.60. In their study, a guanylate-polymer composed of two co-polymers, 2-(dimethylamino)ethyl methacrylate (DMAEMA) and/or 2-(aminoethyl) methacrylate (AEMA), effectively shielded dsRNA from nucleolytic degradation for up to 30 h, even in the highly alkaline pH 11 environment found in lepidopteran midgut cells. This protection subsequently facilitated enhanced cellular uptake. Moreover, the gene delivery mediated by this polymer resulted in a significant 53% mortality rate in the treated insects, compared to only 16% mortality observed with naked dsRNA60.
Similarly, a guanidine derivative polymer based on monomeric units of N-(3-guanidinopropyl) methacrylamide (GNP_GPMA) has demonstrated effectiveness as a dsRNA carrier for pest control38. Like guanylate polymers, GPMA exhibits a high pKa of 12.5, indicating robust stability of the formed IPECs even in strong alkaline environments. This stability arises from the ability of the guanidine functional group to form multiple hydrogen bonds with the phosphodiester moieties of the dsRNA, resulting in a stronger binding and consequently providing significant protection against enzymatic degradation within the insect gut38. Parsons et al.38 demonstrated that dsRNA delivered by GPMA polymer achieved over 80% knockdown of the target gene (sfV-ATPase), effectively reducing nutrient uptake in the fall armyworm pest. Additionally, ingestion of this IPEC formulation led to approximately 60% larval mortality after 29 days, underscoring the promising potential of this novel cationic polymer for future pest control applications.
Star-polycation polymers
The nanocarrier star-polycation (SPc) is a synthetic dendrimer featured by presenting a hydrophobic core, typically composed of pentaerythritol, surrounded by a hydrophilic shell made up of polymers containing positively charged amine groups. Refer to Fig. 4a for an illustration of its structure64.
a The structural scheme representative of core-shell nanoparticles used for RNAi. b The star polycation co-delivering dsRNA in the hydrophilic shell and hydrophobic pesticides located in the core.
The most commonly utilized aminated polymers that constitute the hydrophilic shell of SPc include polyethyleneimine (PEI), poly(amidoamine) (PAMAM), and poly(2-N-(dimethyl aminoethyl) methacrylate) (PDMAEMA). However, it’s worth noting that the use of PEI is constrained by its high toxicity, especially with moderate molecular weights64,65,66. While dendrimers such as PAMAMs demonstrate good transfection efficiency and low cytotoxicity, their synthesis and purification processes are intricate64. On the other hand, poly(2-N-(dimethyl aminoethyl) methacrylate) (PDMAEMA) stands out as a more convenient option due to its excellent biocompatibility, water solubility, and cost-effectiveness. Moreover, its monomer is readily available, and the polymerization process is controllable and feasible64.
The gene transfection efficacy of the PDMAEMA SPc complex for controlling A. ypsilon larvae via feeding and injection delivery methods was assessed by Li et al.64. Their findings revealed that the SPc-dsRNA complexes achieved a more efficient knockdown of the target gene (i.e., V-ATPase gene) compared to direct treatment with dsV-ATPase alone. This gene suppression led to significant inhibition of larval growth, with slightly greater efficacy observed when delivered via artificial feeding compared to microinjection. In contrast, in a different work, the same synthetized SPc-pDMAEMA nanocarrier supplied via spray exhibited limited mortality against cotton aphids, a maximum of 12.5 %, likely due to the gene sequences selected for RNAi67. However, mortality significantly increased by more than 6 times-fold (79.26%) after the administration of imidacloprid, a common botanical pesticide67. Additionally, the significant delay in the growth and development of the target organism’s offspring due to the great stability of this formulation on the leaves underscores the efficacy of this formulation. Interestingly, as shown in Supplementary Data 1, the same SPc formulation demonstrated results in developing a spray for pest control against soybean aphids via gene transfection, achieving mortality rates of up to 80% after 3 days post-treatment68. The addition of a detergent proved crucial in enhancing the transdermal delivery of dsRNA-SPc, as the hydrophobic surface of aphids may repel the hydrophilic initial formulation68. Long et al.69 suppressed the expression of two chitin synthase genes in the German cockroach Blattella germanica using SPc-based nanocarriers delivered via oral ingestion. This inhibition significantly reduced the overall body size by approximately 40% and the size of chitin-containing organs by 30–60% compared to controls. The treatment also induced a mortality rate of 50–60% among instar nymphs when administered through artificial feeding. However, the cockroach’s thick epidermis posed a barrier to nanocarrier penetration, limiting the effectiveness of topical spray application.
Based on these observations, some authors have proposed an intriguing approach involving the use of SPc nanocarriers for pest control, leveraging the hydrophobic core to encapsulate hydrophobic active ingredients, such as pesticides, for efficient drug delivery, see Fig. 4b64,70. The significant advantage of employing SPc for pesticide vehicles was demonstrated by Yan et al. 41, where the same formulation of SPc used for dsRNA delivery was demonstrated to also be effective in encapsulating the botanical pesticides like matrine, D-limonene, and pyrethrin, resulting in outstanding pest control outcomes. The authors later enhanced pesticide activity, such as that of chlorantraniliprole, emamectin benzoate, and spinetoram, by combining these pesticides with dsRNA targeting the Nrf2 gene, creating a multicomponent nano-pesticide for effective Fall armyworm control71. This enhancement was attributed to the improved water solubility of the pesticide and the reduction in particle size after complexation with SPc, leading to enhanced cellular internalization and stability41. Similarly, an SPc-based co-delivery system significantly enhanced the efficacy of cyantraniliprole in controlling Grapholita molesta and Cacopsylla chinensis pests72. The SPc nanocarrier improved the silencing of GmCaM and CcCaM genes by delivering SPc-hairpin RNA, which activated insecticide receptors. This dual-action approach reduced the survival rates of Cacopsylla chinensis and Grapholita molesta to 5% and 20%, respectively, demonstrating a marked improvement in pest control efficiency.
Another notable example can be found in the study conducted by Li et al.73, where they developed a multi-component gene/drug delivery system based on a self-assembled matrine pesticide/SPc/dsRNA complex. Upon spraying this matrine/SPc/dsRNA multicomplex, optimized pest abolition was achieved, close to 90%, after 7 days, whereas the matrine/SPc complex alone achieved 77%. Importantly, it was observed that the SPc/dsRNA complex (without pesticide) showed no significant effect on insect mortality73. Further details and comparative results can be found in Supplementary Data 1.
To conclude, Su et al.74 developed a novel nanocarrier system by modifying nanoliposomes with PEI to target the fall armyworm pest. Their results demonstrated a remarkable 91.7% gene interference efficiency in inhibiting the methoprene-tolerant gene (Met), a key regulator of fall armyworm growth and development. While this inhibition did not directly cause pest mortality, it significantly shortened the larval period by 24 h, leading to premature pupation and negatively impacting the pest’s overall growth and development.
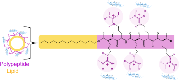
Proteins and peptides
Cell-penetrating peptides (CPPs) represent a class of short-chain peptides, typically consisting of 10–30 amino acids, renowned for their ability to traverse the plasma membrane75. CPPs utilized for dsRNA delivery are distinguished by their abundance of basic residues, particularly lysine and arginine, facilitating interactions with the anionic nucleic acids (dsRNA) via ionic bonds76. Among these, polyarginine and protamine are the most extensively studied for pest control.
Vogel et al. investigated the efficacy of various CPPs in transporting dsRNA to the desert locust pest, Schistocerca gregaria76. The study encompassed two endosmotic amphipathic CPPs (EB1, C6M1), two fusogenic amphipathic CPPs (HA2-penetratin and HA2-TAT), and the cationic polyarginine oligopeptide (POA). Among these, EB1, C6M1, and POA exhibited optimal binding properties and stability in the ex vivo midgut environment; however, only the dsRNA-EB1 complex was further investigated. Surprisingly, the dsRNA-EB1 complex failed to induce RNAi via feeding, attributed to the excessive size of the dsRNA-CPP complex ( >100 µm), potentially impeding passage through the porous peritrophic membrane of the insect gut, which typically permits molecules with diameters of 24–26 nm76. When dsRNA-CPP administration was conducted via injection, only the complex containing long dsRNA demonstrated a significant reduction in the expression or activity of the target gene. It is speculated that larger complexes may require more time for complete digestion, thereby retaining partial stability for longer periods.
Protamines are arginine-rich small proteins known for their high versatility due to their stability, low toxicity, and biocompatibility77. In a study conducted by Dhandapani et al.58, the efficiency of protamine sulfate (PS)-lipid nanoparticles in delivering dsRNA was evaluated both in vivo and in vitro. Results presented in Supplementary Data 1 indicated that the efficacy of RNAi was significantly enhanced when the PS nanocarrier was combined with the commercial cationic lipid reagent Cellfetin® (CF), resulting in a 50% mortality rate in Spodoptera larvae via artificial feeding compared with the dsRNA-PS complex (about 30%)77.
Avila et al.78 and Carroll et al.79 introduced branched amphiphilic peptide capsules (BAPCs), developed through the spontaneous assembly of two branched amphiphilic peptides, as an excellent carrier for dsRNA delivery via in vivo oral administration, as depicted in Fig. 5. The characteristics of BAPCs have overcome the shortcomings of other dsRNA-CPP complexes, as they exhibit an average size ranging from 70 nm to 500 nm, implying efficient cellular uptake, and are resistant to proteases and elevated pHs76,77,78. Avila et al. reported that the ingestion of dsRNA-BAPC from an artificial liquid diet by Acyrthosiphon pisum pest (pea aphid) significantly accelerated the death of the pest to about 10 days, compared to approximately 23 days without treatment. Furthermore, the survival percentage of beetle larvae was reduced by 75% during eclosion after solid feeding with dsRNA-BAPC complexes containing armet effector protein78. In a recent study by Carroll et al., dsRNA-BAPC complexes also exhibited significant efficiency in pest control of adult Popillia japonica, demonstrating reduced pest survival (33%), against the 60% of adult pests survival with the dsRNA alone, after 14 days post-ingestion of dsRNA-BAPCs79. The general findings stated that the vulnerability to peptidase attacks within the insect gut greatly limits the use of CPPs as dsRNA nanocarriers for pest control80.
Scheme of the structure of a representative amphiphilic polyarginine-based CPP.
Most recently, Pal et al.81 reported the encapsulation and delivery of dsRNA using a cationic poly-aspartic acid-derived polymer (CPP6) into plant cells. This polymer is not only biodegradable and biocompatible but also stabilizes dsRNAs during long exposure to varied temperatures and pH, protecting them from RNase A degradation. The CPP6-encapsulated dsRNAs were effectively absorbed through the roots or foliar spray, and the systemic movement induced endogenous gene silencing. In rice plants, foliar spray targeting the negative regulators of plant defense, SDIR1 and SWEET14, provided durable resistance against bacterial leaf blight caused by Xanthomonas oryzae pv. oryzae (Xoo). Remarkably, SWEET14-dsRNA-CPP6-sprayed plants exhibited improved tolerance to the bacterial disease and completely recovered after 30 days, compared to plants treated with dsRNA alone. This suggests that the slow release of dsRNA from CPP6 allows for prolonged gene silencing, making it a promising strategy for sustainable crop protection. Such nanoformulations could also be used to manipulate plant genes involved in stress tolerance and defense, offering an extended window of protection and enhancing crop sustainability.
Strategic design analysis
The wide array of target pests poses a significant challenge in developing a universal system for delivering dsRNA for pest control. As outlined in the preceding sections, each potential dsRNA-nanocarrier offers distinct advantages and limitations, which have been summarized in Table 1. While these attributes are intrinsic to specific structures and have been thoroughly examined, it is crucial to recognize that individual pests exhibit distinct physiological barriers and environmental conditions. Hence, when crafting IPECs, these unique challenges must be taken into account. Consequently, while certain delivery systems may excel under specific conditions, they may encounter hurdles in others. This underscores the need for adaptable solutions that can address the diverse requirements of different pest scenarios.
In this sense, it is crucial to acknowledge and recognize the critical role that polymers play in this context. These versatile materials serve as the backbone of various dsRNA-nanocarriers, offering a platform for tailoring properties such as stability, solubility, and compatibility with biological systems. By carefully selecting and modifying polymers, researchers can fine-tune the characteristics of dsRNA delivery systems to overcome specific challenges posed by different pests and environmental conditions. This adaptability is crucial in addressing the diverse requirements of pest management scenarios, where a one-size-fits-all approach is often impractical. Through innovative polymer-based designs, scientists can navigate the complex landscape of pest control and pave the way for more effective and sustainable solutions.
In addition to their functional properties, the safety and environmental impact of the polymers used in dsRNA-nanocarriers are paramount. For these systems to be viable in agricultural applications, the polymers must be biodegradable in soil, bioassimilable by plants and target pests, and must not accumulate in the environment82. Ensuring that these materials break down into non-toxic byproducts is crucial for preventing long-term ecological harm. Moreover, the safety of these polymers extends beyond their environmental fate; they must also be non-toxic to non-target organisms, including beneficial insects and other wildlife. Among the polymers discussed in this review, chitosan and peptides or proteins are examples of biodegradable polymers that have shown promise. These materials degrade in soil and are considered safe due to their lack of bioaccumulation and minimal toxicity, making them ideal candidates for developing dsRNA delivery systems aimed at sustainable pest management83,84. Conversely, synthetic polymers like PEI and SPcs such as PAMAMs and PDMAEMA are limited by their high toxicity, and absence of biodegradability, raising concerns over their long-term environmental impact85,86,87. Therefore, when designing polymer-based dsRNA-nanocarriers, it is essential to prioritize materials that not only enhance delivery efficiency but also meet stringent safety and environmental criteria.
Furthermore, as discussed over the review and observed in Supplementary Data 1, achieving suppression percentages of over 80% mortality for different pests remains challenging, and some of the proposed systems have had to rely on combining dsRNA with traditional pesticides as a supplementary measure. Given the imperative to transition to more sustainable pest control practices, reducing reliance on pesticides is crucial. Therefore, efforts should be directed towards enhancing the effectiveness of RNAi by carefully selecting genes for silencing and improving particle cell internalization and resilience to withstand the challenges encountered on their way to the pest cell. By overcoming these obstacles and refining dsRNA delivery systems, we can move closer to realizing the potential of RNAi-based pest control as a safer and more environmentally friendly alternative to conventional pesticides.
Indeed, significant efforts are needed to transition these molecules from research to market and replace environmentally damaging pesticides. Transitioning these solutions from the laboratory to widespread commercial use requires overcoming several obstacles.
Firstly, in terms of scalability and cost-effectiveness. Large-scale production of dsRNA is essential for field applications, requiring 2–10 grams per hectare88,89. The traditional method, in vitro transciption, like those used in COVID-19 mRNA vaccines, involves costly components and complex logistics, making it unsuitable for large-scale use90. In addition, the high cost of in vitro transcription kits used in the lab, approximately $700 per mg of dsRNA, limits their feasibility for field trial applications91. In contrast, microbial fermentation offers cheaper alternative but suffers from lower yield and purity. Recognizing the need for a commercially viable method that combines high yield with the use of inexpensive raw materials, GreenLight Biosciences has developed a cell-free RNA production platform that addresses these issues by using cost-effective materials and enzymes, producing dsRNA at a significantly reduced cost of $0.50 per gram compared to $1 per gram via fermentation91,92.
Furthermore, regulatory approval and public acceptance are crucial factors that can either facilitate or impede the adoption of dsRNA-based pest control strategies. Regulatory agencies require robust safety and efficacy data to approve novel agricultural products, and navigating the regulatory landscape can be time-consuming and resource-intensive. Moreover, gaining public trust and acceptance for these innovative technologies requires transparent communication, education, and engagement with stakeholders, including farmers, consumers, and environmental advocates.
Conclusions and outlook
Encapsulating dsRNA within polymeric nanocarriers presents a promising strategy for advancing sustainable agriculture through precise, targeted, and environmentally friendly pest management. The development of effective dsRNA delivery systems is vital, with natural chitosan polymers and cationic peptides standing out for their ability to enhance RNAi stability and efficacy while maintaining favorable environmental profiles. These materials not only improve the performance of RNAi-based pest control methods but also degrade into non-toxic byproducts, minimizing their ecological impact.
The diversity and versatility of dsRNA-nanocarriers present unique advantages and challenges that must be addressed. Tailored approaches are necessary to address the varied requirements of different pest management scenarios, given the wide range of pests and their distinct physiological characteristics. Although the development of these systems is still in its early stages, several key challenges remain, including the scalability and cost-effectiveness of dsRNA production, optimization of delivery methods for practical field applications, and the complexity of regulatory approval processes.
To transition dsRNA-based biocontrols from research to widespread commercialization, it is imperative to overcome these challenges, ultimately aiming to replace environmentally harmful pesticides. Continued innovation and refinement in dsRNA delivery systems will be crucial in achieving safer, more sustainable pest control solutions that enhance agricultural productivity while protecting environmental health.
Moreover, ongoing research efforts are focused on addressing the critical limitations within the field of dsRNA-nanocarrier technology. Future studies should evaluate the long-term ecological impacts, assess potential off-target effects on non-target organisms, and optimize delivery methods to ensure consistent and reliable pest control outcomes. By addressing these challenges and fostering continued innovation, dsRNA-nanocarrier systems hold significant promise as a sustainable alternative to traditional pesticides, paving the way for more environmentally friendly and resilient agricultural practices.
References
ECONOMIC, U. N. D. F. & AFFAIRS, S. World Population Prospects 2022: Summary of Results. (UN, 2023).
FAO - News Article: New standards to curb the global spread of plant pests and diseases. https://www.fao.org/news/story/en/item/1187738/icode/.
IPPC Secretariat. Scientific Review of the Impact of Climate Change on Plant Pests: A Global Challenge to Prevent and Mitigate Plant-Pest Risks in Agriculture, Forestry and Ecosystems. (FAO on behalf of the IPPC Secretariat, Rome, Italy, 2021). https://doi.org/10.4060/cb4769en.
Deutsch, C. A. et al. Increase in crop losses to insect pests in a warming climate. Science 361, 916–919 (2018).
Tarmure, S. et al. Influence of pesticides on respiratory pathology - a literature review. Ann. Agric. Environ. Med. AAEM 27, 194–200 (2020).
Kumar, V. et al. Toxicity analysis of endocrine disrupting pesticides on non-target organisms: a critical analysis on toxicity mechanisms. Toxicol. Appl. Pharmacol. 474, 116623 (2023).
Syafrudin, M. et al. Pesticides in Drinking Water—A Review. Int. J. Environ. Res. Public. Health 18, 468 (2021).
Rani, L. et al. An extensive review on the consequences of chemical pesticides on human health and environment. J. Clean. Prod. 283, 124657 (2021).
Hawkins, N. J., Bass, C., Dixon, A. & Neve, P. The evolutionary origins of pesticide resistance. Biol. Rev. 94, 135–155 (2019).
Hernández-Soto, A. & Chacón-Cerdas, R. RNAi crop protection advances. Int. J. Mol. Sci. 22, 12148 (2021).
Fire, A. et al. Potent and specific genetic interference by double-stranded RNA in Caenorhabditis elegans. Nature 391, 806–811 (1998). The first study that demonstrated that external aplication of dsRNA induces RNA interference in an organism.
Obbard, D. J., Gordon, K. H. J., Buck, A. H. & Jiggins, F. M. The evolution of RNAi as a defence against viruses and transposable elements. Philos. Trans. R. Soc. B Biol. Sci. 364, 99–115 (2009).
Dong, Y. et al. Control of a sap-sucking insect pest by plastid-mediated RNA interference. Mol. Plant 15, 1176–1191 (2022).
Ongvarrasopone, C., Roshorm, Y. & Panyim, S. A simple and cost effective method to generate dsRNA for RNAi studies in invertebrates. ScienceAsia 33, 035 (2007).
Ghosh, S., Patra, S. & Ray, S. A combinatorial nanobased spray-induced gene silencing technique for crop protection and improvement. ACS Omega 8, 22345–22351 (2023).
Cao, D. & Parker, R. Computational modeling of eukaryotic mRNA turnover. RNA 7, 1192–1212 (2001).
Parker, K. M. et al. Environmental fate of RNA interference pesticides: adsorption and degradation of double-stranded RNA molecules in agricultural soils. Environ. Sci. Technol. 53, 3027–3036 (2019).
Yan, S., Yin, M.-Z. & Shen, J. Nanoparticle-based nontransformative RNA insecticides for sustainable pest control: mechanisms, current status and challenges. Entomol. Gen. 43, (2022).
Niu, D. et al. RNAs — a new frontier in crop protection. Curr. Opin. Biotechnol. 70, 204–212 (2021).
Guan, R.-B. et al. A nuclease specific to lepidopteran insects suppresses RNAi. J. Biol. Chem. 293, 6011–6021 (2018).
Liu, S., Lomate, P. R. & Bonning, B. C. Tissue-specific transcription of proteases and nucleases across the accessory salivary gland, principal salivary gland and gut of Nezara viridula. Insect Biochem. Mol. Biol. 103, 36–45 (2018).
Peng, Y., Wang, K., Fu, W., Sheng, C. & Han, Z. Biochemical comparison of dsRNA degrading nucleases in four different insects. Front. Physiol. 9, (2018).
Kunte, N., McGraw, E., Bell, S., Held, D. & Avila, L.-A. Prospects, challenges and current status of RNAi through insect feeding. Pest Manag. Sci. 76, 26–41 (2020).
Zhang, K., Hodge, J., Chatterjee, A., Moon, T. S. & Parker, K. M. Duplex structure of double-stranded RNA provides stability against hydrolysis relative to single-stranded RNA. Environ. Sci. Technol. 55, 8045–8053 (2021).
Bennett, M., Deikman, J., Hendrix, B. & Iandolino, A. Barriers to efficient foliar uptake of dsRNA and molecular barriers to dsRNA activity in plant cells. Front. Plant Sci. 11, 816 (2020).
Degnan, R. M. et al. Exogenous double-stranded RNA inhibits the infection physiology of rust fungi to reduce symptoms in planta. Mol. Plant Pathol. 24, 191–207 (2023).
Casadevall, A., Nosanchuk, J. D., Williamson, P. & Rodrigues, M. L. Vesicular transport across the fungal cell wall. Trends Microbiol. 17, 158–162 (2009).
Walker, L. et al. The viscoelastic properties of the fungal cell wall allow traffic of AmBisome as intact liposome vesicles. mBio 9, e02383–17 (2018).
Li, H., Gidley, M. J. & Dhital, S. Wall porosity in isolated cells from food plants: implications for nutritional functionality. Food Chem. 279, 416–425 (2019).
Shin, H. et al. Recent advances in RNA therapeutics and RNA delivery systems based on nanoparticles. Adv. Ther. 1, 1800065 (2018).
Wytinck, N., Manchur, C. L., Li, V. H., Whyard, S. & Belmonte, M. F. dsRNA uptake in plant pests and pathogens: insights into RNAi-based insect and fungal control technology. Plants 9, 1780 (2020).
Benjaminsen, R. V., Mattebjerg, M. A., Henriksen, J. R., Moghimi, S. M. & Andresen, T. L. The possible “proton sponge” effect of polyethylenimine (PEI) does not include change in lysosomal pH. Mol. Ther. 21, 149–157 (2013).
Whitehead, K. A., Langer, R. & Anderson, D. G. Knocking down barriers: advances in siRNA delivery. Nat. Rev. Drug Discov. 8, 129–138 (2009).
Howard, J. D. et al. Chemically modified dsRNA induces RNAi effects in insects in vitro and in vivo: a potential new tool for improving RNA-based plant protection. J. Biol. Chem. 298, 102311 (2022).
Bocos-Asenjo, I. T., Niño-Sánchez, J., Ginésy, M. & Diez, J. J. New insights on the integrated management of plant diseases by RNA strategies: mycoviruses and RNA interference. Int. J. Mol. Sci. 23, 9236 (2022).
Dong, M. et al. Biotoxicity evaluation of a cationic star polymer on a predatory ladybird and cooperative pest control by polymer-delivered pesticides and ladybird. ACS Appl. Mater. Interfaces 14, 6083–6092 (2022).
Bi, F. et al. Core–shell polymeric nanostructures with intracellular ATP-fueled dsRNA delivery toward genetic control of insect pests. J. Agric. Food Chem. 71, 2762–2772 (2023).
Parsons, K. H., Mondal, M. H., McCormick, C. L. & Flynt, A. S. Guanidinium-functionalized interpolyelectrolyte complexes enabling RNAi in resistant insect pests. Biomacromolecules 19, 1111–1117 (2018).
De Schutter, K., Christiaens, O., Taning, C. N. T. & Smagghe, G. Boosting dsRNA Delivery In Plant And Insect Cells With Peptide- And Polymer-based Carriers: Case-based Current Status And Future Perspectives. in RNAi for plant improvement and protection (eds. Mezzetti, B., Sweet, J. & Burgos, L.) 102–116 (CABI, UK, 2021).
Pugsley, C. E., Isaac, R. E., Warren, N. J. & Cayre, O. J. Recent advances in engineered nanoparticles for RNAi-mediated crop protection against insect pests. Front. Agron. 3, 652981 (2021).
Yan, S. et al. A star polycation acts as a drug nanocarrier to improve the toxicity and persistence of botanical pesticides. ACS Sustain. Chem. Eng. 7, 17406–17413 (2019).
Mujtaba, M. et al. Chitosan-based delivery systems for plants: a brief overview of recent advances and future directions. Int. J. Biol. Macromol. 154, 683–697 (2020).
Yan, S., Ren, B.-Y. & Shen, J. Nanoparticle-mediated double-stranded RNA delivery system: a promising approach for sustainable pest management. Insect Sci. 28, 21–34 (2021).
De, A., Bose, R., Kumar, A. & Mozumdar, S. Nanoparticulate Formulations for Pesticide Applications. in Targeted Delivery of Pesticides Using Biodegradable Polymeric Nanoparticles (eds. De, A., Bose, R., Kumar, A. & Mozumdar, S.) 59–84 (Springer India, New Delhi, 2014).
Li, M., Schlesiger, S., Knauer, S. K. & Schmuck, C. A tailor-made specific anion-binding motif in the side chain transforms a tetrapeptide into an efficient vector for gene delivery. Angew. Chem. 127, 2984–2987 (2015).
He, B. et al. Fluorescent nanoparticle delivered dsRNA toward genetic control of insect pests. Adv. Mater. 25, 4580–4584 (2013).
Niño-Sánchez, J. et al. BioClayTM prolongs RNA interference-mediated crop protection against Botrytis cinerea. J. Integr. Plant Biol. 64, 2187–2198 (2022).
Qiao, L. et al. Artificial nanovesicles for dsRNA delivery in spray-induced gene silencing for crop protection. Plant Biotechnol. J. 21, 854–865 (2023). The earliest research to demonstrate the aplication of lipid-based artificial vesicles for dsRNA protection and delivery in plant disease management.
Wang, Z., Liu, G., Zheng, H. & Chen, X. Rigid nanoparticle-based delivery of anti-cancer siRNA: challenges and opportunities. Biotechnol. Adv. 32, 831–843 (2014).
Ma, Z. et al. Visualization of the process of a nanocarrier-mediated gene delivery: stabilization, endocytosis and endosomal escape of genes for intracellular spreading. J. Nanobiotechnology 20, 124 (2022).
Zelphati, O. & Szoka, F. C. Mechanism of oligonucleotide release from cationic liposomes. Proc. Natl Acad. Sci. 93, 11493–11498 (1996).
Zhang, X., Zhang, J. & Zhu, K. Y. Chitosan/double-stranded RNA nanoparticle-mediated RNA interference to silence chitin synthase genes through larval feeding in the African malaria mosquito (Anopheles gambiae). Insect Mol. Biol. 19, 683–693 (2010).
Kolge, H., Kadam, K. & Ghormade, V. Chitosan nanocarriers mediated dsRNA delivery in gene silencing for Helicoverpa armigera biocontrol. Pestic. Biochem. Physiol. 189, 105292 (2023).
Kolge, H., Kadam, K., Galande, S., Lanjekar, V. & Ghormade, V. New frontiers in pest control: chitosan nanoparticles-shielded dsRNA as an effective topical RNAi spray for gram podborer Biocontrol. ACS Appl. Bio Mater. 4, 5145–5157 (2021). This study demonstrates 100% insect mortality while showing no toxicity to non-target insects and uses a bio-based and biodegradable polymer for dsRNA delivery.
Ramesh Kumar, D. et al. Delivery of chitosan/dsRNA nanoparticles for silencing of wing development vestigial (vg) gene in Aedes aegypti mosquitoes. Int. J. Biol. Macromol. 86, 89–95 (2016).
Das, S., Debnath, N., Cui, Y., Unrine, J. & Palli, S. R. Chitosan, carbon quantum dot, and silica nanoparticle mediated dsRNA delivery for gene silencing in aedes aegypti: a comparative analysis. ACS Appl. Mater. Interfaces 7, 19530–19535 (2015).
Wang, K. et al. Comparison of efficacy of RNAi mediated by various nanoparticles in the rice striped stem borer (Chilo suppressalis). Pestic. Biochem. Physiol. 165, 104467 (2020).
Dhandapani, R. K., Gurusamy, D., Howell, J. L. & Palli, S. R. Development of CS-TPP-dsRNA nanoparticles to enhance RNAi efficiency in the yellow fever mosquito, Aedes aegypti. Sci. Rep. 9, 8775 (2019).
Zhai, X. et al. Guanidinylation: a simple way to fabricate cell penetrating peptide analogue-modified chitosan vector for enhanced gene delivery. J. Appl. Polym. Sci. 121, 3569–3578 (2011).
Christiaens, O. et al. Increased RNAi efficacy in spodoptera exigua via the formulation of dsRNA with guanylated polymers. Front. Physiol. 9, 316 (2018).
Funhoff, A. M. et al. Poly(3-guanidinopropyl methacrylate): a novel cationic polymer for gene delivery. Bioconjug. Chem. 15, 1212–1220 (2004).
Schelle, L., Côrte-Real, J. V., Esteves, P. J., Abrantes, J. & Baldauf, H.-M. Functional cross-species conservation of guanylate-binding proteins in innate immunity. Med. Microbiol. Immunol. (Berl.) 212, 141–152 (2023).
Choi, J. L. et al. Guanidinylated block copolymers for gene transfer: a comparison with amine-based materials for in vitro and in vivo gene transfer efficiency. Biomaterials 54, 87–96 (2015).
Li, J. et al. A facile-synthesized star polycation constructed as a highly efficient gene vector in pest management. ACS Sustain. Chem. Eng. 7, 6316–6322 (2019).
Kaloyan, K., Andonova-Lilova, B. & Smagghe, G. Inhibitory activity of carbon quantum dots against phytophthora infestans and fungal plant pathogens and their effect on dsRNA-induced gene silencing. Biotechnol. Biotechnological Equip. 36, 949–959 (2022).
Zhou, S. et al. Relating mobility of dsRNA in nanoporous silica particles to loading and release behavior. ACS Appl. Bio Mater. 4, 8267–8276 (2021).
Linyu, W., Lianjun, Z., Ning, L., Xiwu, G. & Xiaoning, L. Effect of RNAi targeting CYP6CY3 on the growth, development and insecticide susceptibility of Aphis gossypii by using nanocarrier-based transdermal dsRNA delivery system. Pestic. Biochem. Physiol. 177, 104878 (2021).
Yan, S. et al. Spray method application of transdermal dsRNA delivery system for efficient gene silencing and pest control on soybean aphid Aphis glycines. J. Pest Sci. 93, 449–459 (2020).
Long, G.-J. et al. Oral-based nanoparticle-wrapped dsRNA delivery system: a promising approach for controlling an urban pest, Blattella germanica. J. Pest Sci. 97, 739–755 (2024).
Li, X., Liu, X., Lu, W., Yin, X. & An, S. Application progress of plant-mediated RNAi in pest control. Front. Bioeng. Biotechnol. 10, 963026 (2022).
Yan, S. et al. Self-assembled co-delivery nanoplatform for increasing the broad-spectrum susceptibility of fall armyworm toward insecticides. J. Adv. Res. 28, 00044–00044 (2024).
Li, J. et al. Nanoparticle-mediated calmodulin dsRNA and cyantraniliprole co-delivery system: High-efficient control of two key pear pests while ensuring safety for natural enemy insects. Int. J. Biol. Macromol. 277, 134478 (2024).
Li, M. et al. A gene and drug co-delivery application helps to solve the short life disadvantage of RNA drug. Nano Today 43, 101452 (2022). This research is the first attempt to co-deliver dsRNA and pesticide using a nano-delivery system.
Su, C. et al. Delivery of methoprene-tolerant dsRNA to improve RNAi efficiency by modified liposomes for pest control. ACS Appl. Mater. Interfaces 15, 13576–13588 (2023).
Ditzel, H. J., Tuttolomondo, M. & Kauppinen, S. Design and Delivery of SiRNA Therapeutics. (Springer US, 2021).
Vogel, E. et al. The study of cell-penetrating peptides to deliver dsRNA and siRNA by feeding in the desert locust, Schistocerca gregaria. Insects 14, 597 (2023).
Dhandapani, R. K., Gurusamy, D. & Palli, S. R. Protamine–lipid–dsRNA nanoparticles improve RNAi efficiency in the fall armyworm, Spodoptera frugiperda. J. Agric. Food Chem. 70, 6634–6643 (2022).
Avila, L. A. et al. Delivery of lethal dsRNAs in insect diets by branched amphiphilic peptide capsules. J. Controlled Release 273, 139–146 (2018).
Carroll, E. et al. Gene silencing in adult Popillia japonica through feeding of double‐stranded RNA (dsRNA) complexed with branched amphiphilic peptide capsules (BAPCs). Front. Insect Sci. 3, 1151789 (2023).
Cermenati, G. et al. The CPP Tat enhances eGFP cell internalization and transepithelial transport by the larval midgut of Bombyx mori (Lepidoptera, Bombycidae). J. Insect Physiol. 57, 1689–1697 (2011).
Pal, G. et al. Exogenous application of nanocarrier-mediated double-stranded RNA manipulates physiological traits and defence response against bacterial diseases. Mol. Plant Pathol. 25, e13417 (2024).
Merino, D. Embracing nature’s clockwork: crafting plastics for degradation in plant agricultural systems. ACS Mater. Au 4, 450–458 (2024).
Ingle, P. U. et al. Chitosan nanoparticles (ChNPs): a versatile growth promoter in modern agricultural production. Heliyon 8, e11893 (2022).
Boddu, S. H. S. et al. Polyamide/Poly(Amino Acid) polymers for drug delivery. J. Funct. Biomater. 12, 58 (2021).
Duis, K., Junker, T. & Coors, A. Environmental fate and effects of water-soluble synthetic organic polymers used in cosmetic products. Environ. Sci. Eur. 33, 21 (2021).
Kafil, V. & Omidi, Y. Cytotoxic impacts of linear and branched polyethylenimine nanostructures in A431 cells. BioImpacts BI 1, 23–30 (2011).
Roberts, J. C., Bhalgat, M. K. & Zera, R. T. Preliminary biological evaluation of polyamidoamine (PAMAM) starburstTM dendrimers. J. Biomed. Mater. Res. 30, 53–65 (1996).
Zotti, M. et al. RNA interference technology in crop protection against arthropod pests, pathogens and nematodes. Pest Manag. Sci. 74, 1239–1250 (2018).
Yang, W., Wang, B., Lei, G., Chen, G. & Liu, D. Advances in nanocarriers to improve the stability of dsRNA in the environment. Front. Bioeng. Biotechnol. 10, 974646 (2022).
Rodrigues, T., Sridharan, K., Manley, B., Cunningham, D. & Narva, K. Development of dsRNA as a sustainable bioinsecticide: from laboratory to field. In Crop protection products for sustainable agriculture. 65–82 (American Chemical Society, 2021).
He, L., Huang, Y. & Tang, X. RNAi-based pest control: production, application and the fate of dsRNA. Front. Bioeng. Biotechnol. 10, 1080576 (2022).
An RNA platform to help feed the world and keep it healthy. Greenlight Bioscience https://www.greenlightbiosciences.com/.
Acknowledgements
A.I.Q.M. would like to thank the Spanish Ministry of Universities and the Next Generation EU-Recovery for funding the post-doctoral grant “Margarita Salas”. J.N.S. acknowledges support from the European Union’s Horizon 2020 research and innovation program under the Marie Skłodowska-Curie grant agreement No. 101068728. Additional funding was provided by the Ministry of Science, Innovation and Universities through project PID2023-148417OA-I00, and by the Junta de Castilla y León through project VA178P23 and the program ‘CLU-2019-01 and CL-EI-2021-05 – iuFOR Unit of Excellence’, co-funded by the European Regional Development Fund. D.M. gratefully acknowledges financial support from the Basque Science Foundation for Science (Ikerbasque), POLYMAT, the University of the Basque Country UPV/EHU, the European Union’s Horizon Europe research and innovation program under the Marie Skłodowska-Curie grant agreement No. 101103474, the Provincial Council of Gipuzkoa for the Gipuzkoa Fellows grant, FA/OF 156/2023, and the support from the María de Maeztu Excellence Unit CEX2023-001303-M funded by MCIN/AEI/10.13039/501100011033.
Author information
Authors and Affiliations
Contributions
A.I.Q.M. contributed to the writing of the original draft, as well as the review and editing of the manuscript. Additionally, A.I.Q.M. was responsible for visualization, including the creation of images and tables. J.N.S. participated in writing the original draft and editing the manuscript. D.M. was involved in the conceptualization of the study and contributed to both the writing of the original draft and the editing of the manuscript.
Corresponding author
Ethics declarations
Competing interests
The authors declare no competing interests.
Peer review
Peer review information
Nature Communications thanks the anonymous reviewers for their contribution to the peer review of this work.
Additional information
Publisher’s note Springer Nature remains neutral with regard to jurisdictional claims in published maps and institutional affiliations.
Supplementary information
Rights and permissions
Open Access This article is licensed under a Creative Commons Attribution-NonCommercial-NoDerivatives 4.0 International License, which permits any non-commercial use, sharing, distribution and reproduction in any medium or format, as long as you give appropriate credit to the original author(s) and the source, provide a link to the Creative Commons licence, and indicate if you modified the licensed material. You do not have permission under this licence to share adapted material derived from this article or parts of it. The images or other third party material in this article are included in the article’s Creative Commons licence, unless indicated otherwise in a credit line to the material. If material is not included in the article’s Creative Commons licence and your intended use is not permitted by statutory regulation or exceeds the permitted use, you will need to obtain permission directly from the copyright holder. To view a copy of this licence, visit http://creativecommons.org/licenses/by-nc-nd/4.0/.
About this article
Cite this article
Quilez-Molina, A.I., Niño Sanchez, J. & Merino, D. The role of polymers in enabling RNAi-based technology for sustainable pest management. Nat Commun 15, 9158 (2024). https://doi.org/10.1038/s41467-024-53468-y
Received:
Accepted:
Published:
Version of record:
DOI: https://doi.org/10.1038/s41467-024-53468-y
This article is cited by
-
Nanotechnology-driven gene silencing: advancements in SIGS–dsRNA technology for sustainable disease management
Chemical and Biological Technologies in Agriculture (2025)
-
Optimizing dsRNA sequences for RNAi in pest control and research with the dsRIP web platform
BMC Biology (2025)
-
RNAi-mediated suppression of embryos as a promising strategy to control Spodoptera littoralis
Journal of Pest Science (2025)
-
Target Mining in Insect Genomes: Omics-Guided Innovations for Smart Pesticides
Journal of Crop Health (2025)
-
RNA silencing: the future potential strategy for engineering virus resistance in plants
Physiology and Molecular Biology of Plants (2025)







