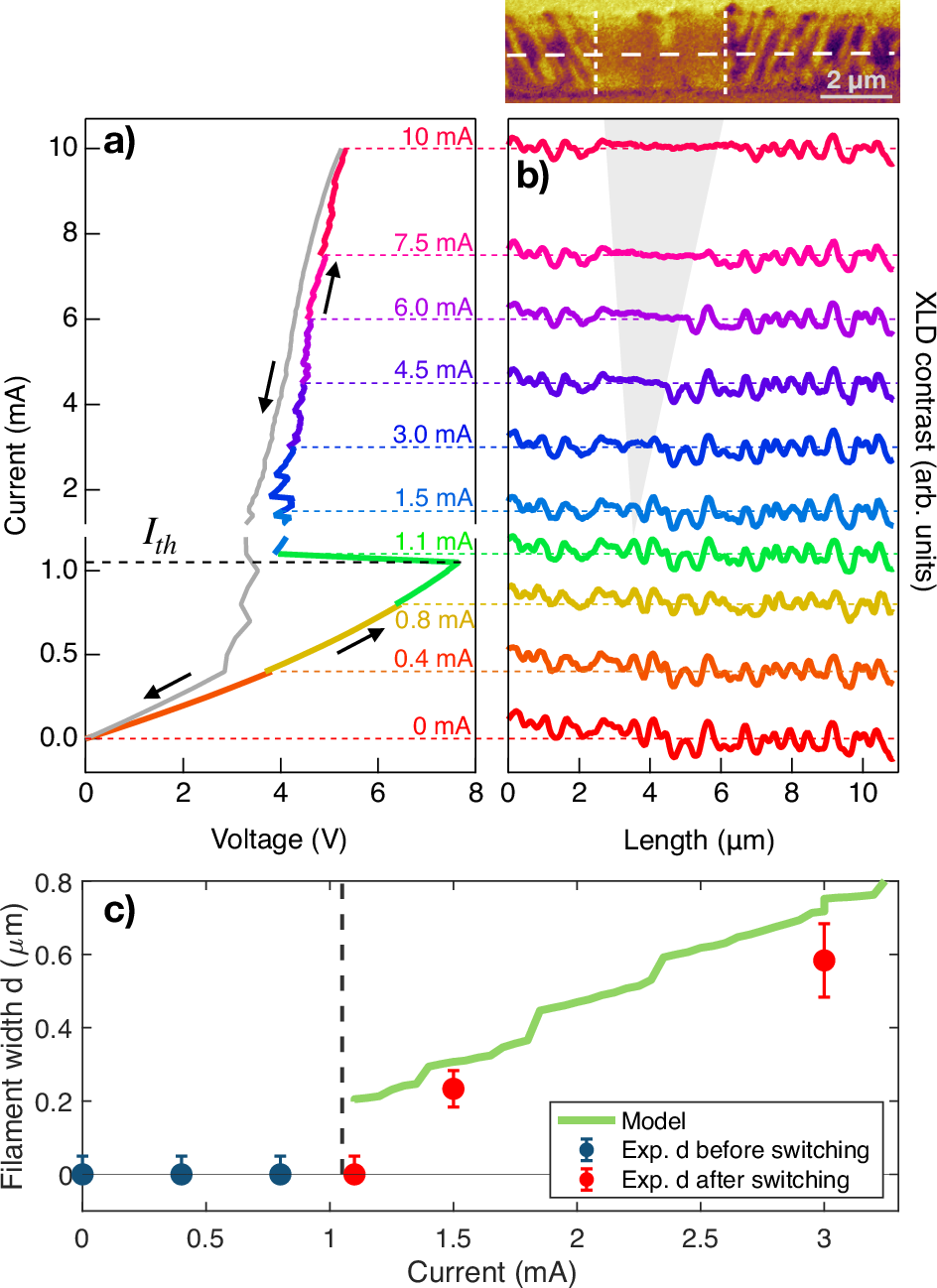
Fig. 4: Metallic channel formation.
From: Mott resistive switching initiated by topological defects

a I−V curve measured during the XLD-PEEM imaging. The sudden drop in the voltage measured at Ith=1.05 mA indicates the first resistive switch. b Line profiles of the XLD-PEEM images in Fig. 2. The grey shaded area indicates the progressive widening of the metallic rhombohedral filament. The direction of the line profiles is shown by the white dashed line in the XLD-PEEM image on top, where we report a detail of Fig. 2j. c Width, d, of the metallic filament as a function of current. The blue/red markers represent the values of d obtained from the XLD-PEEM images below/above Ith. The errorbars indicate the uncertainty in the filament width, estimated from the line profiles in panel b; when no filament is observed (first four data points, d = 0), the errorbar is fixed to the experimental spatial resolution. The green solid line shows an estimate of d, derived from a parallel resistors model predicting a sudden jump of d to 200 μm at Ith (see Supplementary Note 5).