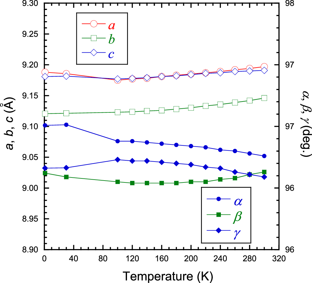
Fig. 2: Lattice constants between 1 K and 300 K.

The pseudo trigonal nature continued to low temperatures. Source data are provided as a Source Data file.

The pseudo trigonal nature continued to low temperatures. Source data are provided as a Source Data file.