Abstract
Like the crystallization of water to ice, magnetic transition occurs at a critical temperature after the slowing down of dynamically fluctuating short-range correlated spins. Here, we report a unique type of magnetic transition characterized by a linear increase in the volume fraction of unconventional static short-range-ordered spin clusters, which triggered a transition into a long-range order at a threshold fraction perfectly matching the bond percolation theory in a new quantum antiferromagnet of pseudo-trigonal Cu4(OH)6Cl2. Static short-range order appeared in its Kagome lattice plane below ca. 20 K from a pool of coexisting spin liquid, linearly increasing its fraction to 0.492(8), then all Kagome spins transitioned into a stable two-dimensional spin order at TN = 5.5 K. Inspection on the magnetic interactions and quantum magnetism revealed an intrinsic link to the spin liquid material Herbertsmithite, ZnCu3(OH)6Cl2. The unconventional static nature of the short-range order was inferred to be due to a pinning effect by the strongly correlated coexisting spin liquids. This work presents a unique magnetic system to demonstrate a complete bond percolation process toward the critical transition. Meanwhile, the unconventionally developed magnetic order in this chemically clean system should shed new light on spin-liquid physics.
Similar content being viewed by others
Introduction
Ubiquitous phase transitions are exemplified paradigmatically in magnetic transitions, where the system at the transition point reaches a critical state characterized by long-range order. Like the crystallization process of water to ice, magnetic transition occurs at a critical temperature after the slowing down of dynamically fluctuating short-range correlated spin clusters. A universal theory for phase transition, known as percolation theory, describes the behavior of a network when nodes or links are added1. It has been applied to materials science, biology, biochemistry, physical virology, ecology, etc., with an accelerated increasing speed. In materials science, the percolation theory has been recently used to explain anomalous high-temperature superconductivity2 and quantum anomalous Hall effects3,4,5. However, as to the paradigmatical magnetic transition, experimental evidence of the universal effectiveness of percolation theory has not been available. Here, we report a unique type of magnetic transition in a new quantum spin magnet of triclinic (pseudo-trigonal) Cu4(OH)6Cl2 characterized by a linear increase in the fraction of an unconventional static short-range-ordered spin clusters, which triggered a transition into long-range order at a critical threshold fraction perfectly matching the bond percolation theory: 1. The short-range order is unconventional by being static like a long-range order. 2. It is a unique magnetic system demonstrating a complete percolation process. 3. The unconventional static nature of the short-range order has been inferred to arise from a pinning effect by coexisting spin liquids. The unconventionally developed quantum spin order in this chemically clean system thus should shed light on the hotly debated spin liquid physics.
The triclinic Cu4(OH)6Cl2 is an unknown polymorphous structure of the orthorhombic Atacamite, monoclinic Clinoatacamite, and Botallackite6,7,8,9. The Clinoatacamite has a deformed pyrochlore lattice for the magnetic Cu+2, wherein selective substitution of the Cu+2 in its triangular-lattice plane by nonmagnetic Zn led to the rigorously investigated spin liquid material Herbertsmithite, ZnCu3(OH)6Cl210,11. The latter is viewed as an exemplary realization of the antiferromagnetic spin-\(\frac{1}{2}\) Heisenberg model on the Kagome lattice: a prototypical theoretical example of a quantum spin liquid. However, a considerable amount of site mixing between Zn/Cu inevitably existed in both its Kagome and triangular layers. It remains an open issue whether chemical disorders play a key role in the experimentally observed spin liquid behaviors. For example, some representative theoretical studies suggested that defects and bonding randomness directly induced spin liquid behaviors12,13.
The magnetism of Clinoatacamite has been viewed as “a devil compound” for the mysterious nature of its intermediate TN2 < T < TN1 phase. Although magnetic susceptibility and specific heat measurements showed a very small anomaly at TN1 = 18.1 K7, μSR clearly demonstrated a full magnetic order developing below TN114. All previous neutron diffraction experiments did not find any magnetic reflections for the TN2 < T < TN1 phase15,16,17. Surprisingly, stacking faults were even hypothesized to explain the puzzling contradiction of neutron diffraction with μSR18. Now with the identification of the new triclinic structure and its unconventional magnetic transition, this puzzling issue has finally been solved. Furthermore, the unconventional transition and partial spin liquid state in the triclinic Cu4(OH)6Cl2, which shows an interesting structural relation to the spin liquid material Herbertsmithite, sheds new light on spin-liquid physics.
Results and discussion
The crystal structure of triclinic Cu4(OH)6Cl2
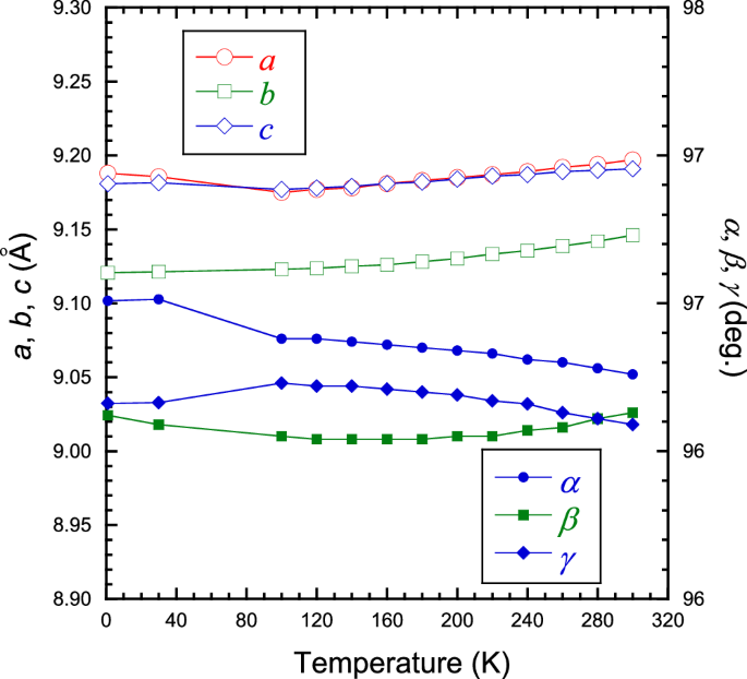
The X-ray diffraction pattern for the triclinic Cu4(OH)6Cl2 (Supplementary Fig. 1) prepared and identified as described in “Methods” is quite like that of Clinoatacamite, as shown in Supplementary Fig. 2. The structural information is given in Table 1. The Cu2+ ions in this triclinic structure constitute nearly regular triangles with a standard deviation 0.36°–0.945° (Table 2) forming nearly ideal Kagome rings in the (111) lattice plane (Fig. 1a). The Cu2+ ions in the (111) lattice plane, which formed a Kagome spin order (Fig. 1b) at low temperatures as will be seen, are bonded to each other via a single Cu-O-Cu super-exchange path with bonding angles around 117°–123°. Meanwhile, the inter-Kagome-layer Cu2+ ions are bonded to the Kagome-layer Cu2+ via two Cu-O-Cu paths with bonding angles around 90°. This kind of double 90° bridge was previously reported in triangular lattice compounds LiNiO2 and NaNiO2, wherein the magnetic couplings for these double bridges were shown to be highly frustrated19. Similar properties also existed in Clinoatacamite (Fig. 1c), wherein its Kagome layers were weakly coupled20. The present triclinic structure is pseudo-trigonal as shown by the close values of its lattice constants of a = 9.175(8) Å, b = 9.123(2) Å, c = 9.177(8) Å; α = 96.38(5)°, β = 96.05(2)°, γ = 96.23(5)° at 100 K. Le-Bail analysis clearly supported the triclinic model over the trigonal model or any related monoclinic models (Supplementary Figs. 3–5). It is worth noting that the present pseudo-trigonal structure agrees well with a theoretically predicted triclinic structure in the Material Project (mp-1201073). Neutron diffraction at 30 K (Supplementary Fig. 6) suggested the same triclinic structure with more precise positions for the H/D (Table 3). The pseudo-trigonal nature was stable over a wide temperature range from 300 K to 1 K (Fig. 2).
a Structure of pseudo-trigonal Cu4(OH)6Cl2 viewed along the [111] direction with the revealed magnetic structure at 1 K illustrated in (b). Cu ions are present in blue, O in red, H bonded to O in pearl white, and Cl in green. The (111) lattice plane forms a Kagome layer. The numbers on Cu correspond to the crystallographic sites as indicated in Table 1. The Cu ions in sites of 3A, 3B, 3C, 4A, 4B, and 4C form a Kagome layer with inter-Kagome-layer Cu1A, Cu2A, Cu2B and Cu2C. Only the Cu ions within the Kagome layers are bonded by a single Cu-O-Cu bonding. c Similar Kagome layer in the (101) lattice plane in Clinoatacamite (7), wherein only the atoms near the Kagome layer are shown. All triangles in the Kagome layer consist of one Cu1 and two Cu3 ions, with distances of Cu1-Cu3 = 3.4015(3) Å, 3.4204(3) Å; Cu3-Cu3 = 3.4037(5) Å.
The pseudo trigonal nature continued to low temperatures. Source data are provided as a Source Data file.
Unconventional magnetic transition demonstrating bond percolation
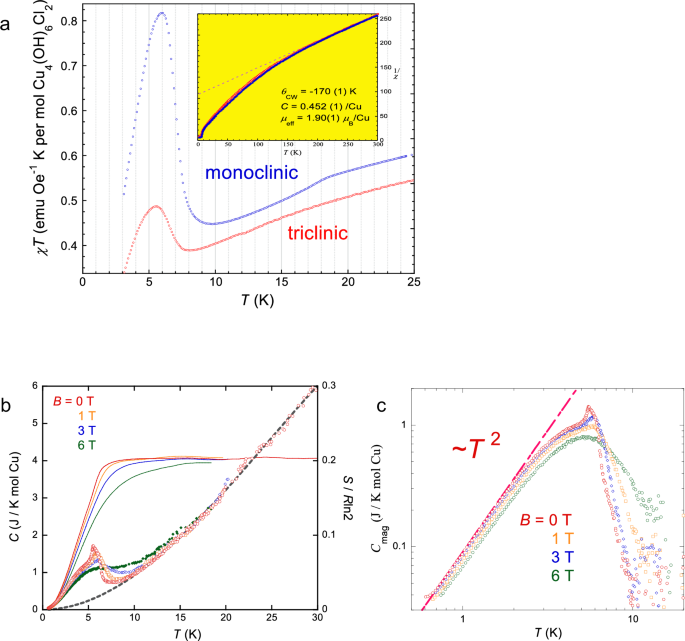
The magnetic DC susceptibility in Fig. 3a showed strong magnetic interactions featured by the high Curie-Weiss temperature of θCW = −170(1) K, close to that in Clinoatacamite7. The χT – T showed an antiferromagnetic transition feature at TN = 5.5 K, slightly lower than the TN2 ~ 6.0 K in Clinoatacamite. A distinct difference is that the triclinic Cu4(OH)6Cl2 did not show any anomalous change at higher temperatures. The specific heat in Fig. 3b proved a transition at 5.5 K without high-temperature anomaly. The small total entropy release of ~ 0.2 Rln2 indicated the highly frustrated magnetism in this system. The field-independent \({C}_{{{{\rm{mag}}}}} \sim {T}^{2}\) behavior below TN = 5.5 K, as shown in Fig. 3c, indicated a two-dimensional (2D) antiferromagnetic ground state, consistent with the theory for quasi-2D antiferromagnetic Heisenberg model21. Obviously, this 2D order was established in the (111) Kagome layers illustrated in Fig. 1a. Recently, we found that the intermediate TN2 < T < TN1 magnetic order in Clinoatacamite was built in its (101) lattice plane, which then was transformed by the inter-Kagome-layer couplings into a three-dimensional low-temperature spin order22. The 2D order in the present material, as will be shown later, is strikingly like the TN2 < T < TN1 order in Clinoatacamite. However, the Kagome order in the pseudo trigonal system is stable down to the lowest temperature, reflecting its much less lattice distortion.
a χT vs T curves in comparation with the monoclinic Clinoatacamite (χ: DC susceptibility) showing transition at TN = 5.5 K. The inset plot is the 1/χ – T with a Curie-Weiss fitting showing nearly equivalent θCW and μeff for both Clinoatacamite and triclinic Cu4(OH)6Cl2. b Specific heat and magnetic entropy in external fields of B = 0–6 T. c The magnetic specific heat with a Cmag ~ T2 fitting, demonstrating a two-dimensional magnetic interaction in triclinic Cu4(OH)6Cl2 below TN = 5.5 K. In both susceptibility and specific heat, no change can be recognized in the high-temperature range in the triclinic compound as compared to small anomalies at TN1 ~ 18.1 K in Clinoatacamite. Source data are provided as a Source Data file.
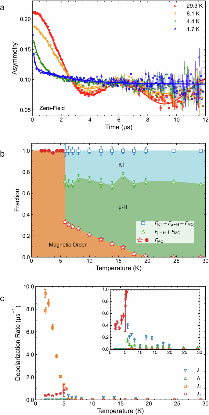
An unconventional magnetic transition below ca. 20 K was revealed by μSR, as presented in Fig. 4. In the whole temperature range, the zero-field μSR asymmetry spectra were well-fitted by
wherein FMO is the fraction of magnetically ordered phase, Fμ-H and Gμ-H the fraction and depolarization function due to μ-H bonding, GKT the Kubo-Toyabe function due to nuclear fields, and FBG = 0.0742(2) the background due to the silver sample holder (The muon depolarization functions Gμ-H and GKT are explained in detail in “Methods”). As seen in the 29.3 K spectrum in Fig. 4a, 68.7(9) % of the implanted muons (μ+) were found to stop nearby OH− acting like H+ to form water-like O-μ+-H bonding, wherein the nuclear spin of H caused the μ+ spin to rotate slowly. The remaining ca. 30% of muons stopped near Cl−, which was well fitted by the Kubo-Toyabe function \({G}_{{{{\rm{KT}}}}}\left(t\right)\). The ~7:3 asymmetry ratio of muons stopping at the OH and Cl sites in Cu4(OH)6Cl2 implies that the muons were almost equally implanted near the OH− and Cl− anions. As described in “Methods”, the component \({F}_{{{{\rm{MO}}}}}\left[\left(1-p\right)\frac{1}{3}+p\left(\frac{1}{3}{{{{\rm{e}}}}}^{-{\lambda }_{{{{\rm{L}}}}}t}+\frac{2}{3}{{{{\rm{e}}}}}^{-{\lambda }_{{{{\rm{T}}}}}t}\right)\right]\) in Eq. (1). describes a magnetic order with two kinds of internal fields due to magnetic spins (the faster transverse depolarization term for one was lost at an early time). The absence of muon spin precession oscillations implied a broad distribution in the internal field probed by muons.
a Zero-field μSR spectroscopy. The solid lines are fitted as described in the text. b Unconventional linear growth of magnetic order fraction FMO below T* ~ 20 K and transition to full magnetic order at TN = 5.5 K. c Muon spin depolarization rates for the zero-field μSR spectroscopy. The inset plot is an enlarged view. Source data are provided as a Source Data file.
The most striking result is that a static internal field, i.e., the magnetic order, began to develop below ca. 20 K. The fraction of the ordered fraction FMO increased in a linear manner below T* = 20 K, then abruptly jumped from 0.331(7) at 5.8 K to 1 at TN = 5.5 K (Fig. 4b). The fraction right before 5.5 K can be estimated from the linear slope to be 0.338. The λL ~ 0.5 μs−1 in Fig. 4c remained at 1.7 K, indicating persistent spin fluctuations for the magnetic order. From the decoupling behaviors of the longitudinal μSR (LF- μSR) (Supplementary Fig. 7), static internal fields produced by the magnetically ordered spins were estimated to be ca. 290 G and ca. 400 G, respectively, at 10.1 K and 1.7 K. As shown in Fig. 4b, the linear increase of the magnetically ordered fraction FMO was realized with a simultaneous decrease of an equivalent amount in the Fμ-H. Meanwhile, the FKT for the Cl-site muons remained unchanged. This means that the magnetic ordering occurred with only a part of the spins near the μ-H site. Referring to the crystal structure in Fig. 1a for the position of OH, we can see that the magnetic order from T* = 20 K occurred in the Kagome layers, i.e., in the same layer as the fully ordered low-temperature phase below TN = 5.5 K. Therefore, a fraction of 0.492(8) of the Kagome-layer spins, which was estimated from the ratio of FMO/Fμ-H at 5.5 K, were magnetically ordered right before the critical point TN = 5.5 K. It should be noted that since the magnetic order below TN is a two-dimensional one for spins within the (111) Kagome lattice plane as demonstrated by the magnetic specific heat, the inter-Kagome-layer \({{{{\rm{Cu}}}}}^{2+}\) spins should remain paramagnetic with their thermal fluctuation too fast to fall outside of the μSR time window. A similar case occurred in the intermediate TN2 < T < TN1 phase in Clinoatacamite22, wherein the inter-Kagome spins remained paramagnetic and unseen by the μSR, resulting in a seemingly 100% long-range order14.
The unconventional magnetic order below T* = 20 K at first sight looked like a long-range order since a static internal magnetic field was clearly observed without even a slight fluctuation (λL = 0 as shown in the inset plot in Fig. 4c). Short-range magnetic order usually appeared in μSR as dynamically fluctuating, as exemplified in various magnetic systems (e.g., 23,24,25,26). This is the magnetic version of the crystallization process during the freezing process of gas-liquid-solid, wherein the liquid has short-range ordered atomic positions. An exceptional case occurred in a spin liquid candidate of triangular-lattice compound NiGa2S427, wherein an inhomogeneous static internal field resulting from short-range order was observed28. As will be discussed, both the present system and NiGa2S4 have a common property of order coexisting with spin liquid phases, by which the unusual static short-range order can be consistently explained.
The neutron diffraction patterns demonstrated a long-range order for the low-temperature phase, with magnetic reflections indexed in Fig. 5 at 1 K. However, no trace of any magnetic reflection was recognized at 9 K. Considering the fact that Clinoatacamite showed clear magnetic reflection peaks at 9 K with spin moments of 0.245(15)−0.39(3) μB obtained for the Cu1 and Cu3-site spins in its Kagome plane using the same low-background beamline22, the possibility of a long-range order in the \(T < {T}^{*}=20\,{{{\rm{K}}}}\) phase is very low, or at least much lower than 0.2 μB. In combination with the percolation process as viewed in μSR, the intermediate phase in 5.5 K < T < 20 K should be short-range ordered.
Magnetic reflections, as indexed in the plot, were observed at 1 K. No trace of any magnetic reflection was observed at 9 K. Contrary to previous neutron diffraction study, magnetic reflections have been observed by us in Clinoatacamite at 9 K (22). Considering the similar XRD patterns of Clinoatacamite and triclinic Cu4(OH)6Cl2, which are almost undistinguishable at low diffraction angles, as well as the revealed magnetic properties in this work, we have sufficient reason to suspect that the previous neutron study (15) intended for the intermediate TN2 < T < TN1 phase of Clinoatacamite might be actually done on a wrongly identified triclinic Cu4(OD)6Cl2. Source data are provided as a Source Data file.
Therefore, the unconventional magnetic transition below T* = 20 K can be understood as a linear increase in the volume fraction of short-range-ordered spin clusters within the Kagome layers. When 49.2(8)% of the Kagome-layer spins were ordered short-range, all Kagome spins transitioned to a long-range order at TN = 5.5 K. This reminds us of the universal percolation theory for all kinds of phase transitions, wherein the network of small, disconnected clusters merge into significantly larger connected, so-called spanning clusters at a critical fraction of addition. It has been predicted that the critical threshold for 2D square lattice is exactly \(\frac{1}{2}\) for bond percolation29. For site percolation, the critical threshold was numerically computed to be 0.59274621(13)30. We can see that our experimentally observed critical threshold of 0.492(8) excellently matches the theoretically predicted bond percolation threshold for the 2D square lattice, which has the same neighboring number 4 as in the Kagome lattice. Therefore, the unconventionally developed magnetic transition in triclinic Cu4(OH)6Cl2 presents a unique case to exemplify a complete percolation process toward the critical transition in magnetic systems.
We would like to compare our results to theoretical studies for magnetic transitions, but we only found references for site percolation. On the quantum phase transition of the randomly diluted Heisenberg antiferromagnet on a square lattice, its ground state was investigated using the quantum Monte Carlo method, and the critical concentration of magnetic sites was found independent of the spin size S and equal to the two-dimensional percolation threshold ~0.593 for site percolation31,32. In the present spin system, since all \({{{{\rm{Cu}}}}}^{2+}\) spins are magnetically coupled via the Cu-O-Cu super-exchange interaction, this makes a contrasting difference with the magnetic vacancies (nonmagnetic impurities) in refs. 31,32, bond percolation apparently suits the present system than the site percolation model.
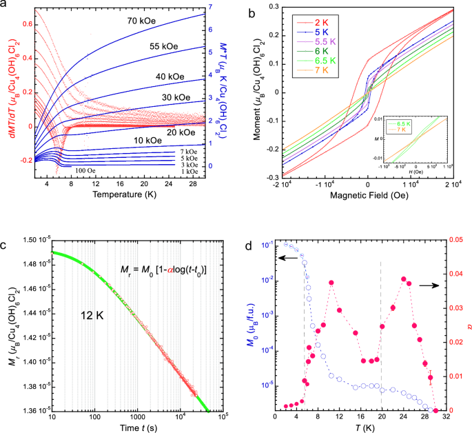
We can further explore the coexisting state of the disordered phase in TN < T < 20 K, as well as the reason for the unconventional static short-range-ordered spin clusters. First, we found that the remanent magnetic moment provided a clue. As shown in Fig. 6, the transition temperature TN, which is characterized by the peak in dMT/dT in Fig. 6a, was slightly enhanced by increasing the external magnetic field in consistency with the specific data in Fig. 3b. Notable hysteresis loops in M-H were observed for temperatures up to T > TN (Fig. 6b). Furthermore, time-dependent remanent magnetization appeared, showing a time relaxation behavior obeying \({M}_{r}={M}_{0}(1-\alpha \log \left(t-{t}_{0}\right))\) (Fig. 6c). This kind of slow time relaxation was well known in spin glass systems. However, as demonstrated by the μSR experiments, the correlated spin clusters are far from spin glass. As plotted in Fig. 6d, the remanent magnetic moment persisted up to 30 K, and the time constant α showed a two-peak temperature dependence with the peaks ending coincided with the transition temperatures T* and TN. These results suggest that an external field can induce ferromagnetic moments that remain for a long time after removing the field at temperatures up to 30 K, which is well above the T* = 20 K. The retaining property of the field-induced moments was inferred to be due to a pinning effect by coexisting spin liquid, as will be discussed hereafter.
a Temperature dependence of the magnetic moments measured in various fields upon cooling. b Magnetization M vs H at typical temperatures showing notable hysteresis loop below 7 K. c An example of remanent magnetization Mr at 12 K after removing a field of 400 Oe. The remanent magnetization showed a slow time relaxation following \({M}_{r}={M}_{0}(1-\alpha \log \left(t-{t}_{0}\right))\), wherein t0 was used to correct the time. d Change of the initial Mr at t ~ 0 and the constant α. The dashed lines help to see the correlation of the α to the transition temperatures TN and T*. Source data are provided as a Source Data file.
Inspection of possible magnetic structures gave further clues to the coexisting disorder. On the condition that the T < TN = 5.5 K order was formed by the Kagome-layer spins, possible magnetic structures can be examined from the observed magnetic reflections. For the k = (000) magnetic reflections for Kagome-layer spins, there are 32 collinear spin models. We fitted all these models and obtained similar fitting qualities for eight spin structures, as defined in Supplementary Table 1, with spin moments around 0.38μB preferentially along the a-axis direction. Basically, they can be grouped into two types of models, as illustrated in Fig. 7. In the type represented by Model 1 in Fig. 7a, there are five other spin structures with similar goodness of fitting, as illustrated in Supplementary Figs. 8 and 9. The only difference is which pair of triangles in the Kagome ring have the ↑↑↑, ↓↓↓ spin arrangement. In the type illustrated as Model 4 in Fig. 7b, there is another similar spin structure (Model 3 in Supplementary Fig. 8), wherein the only difference is that which Cu-O-Cu bond of the ↑↑↓ in each triangle is ferromagnetically coupled as ↑↑. Since the triclinic crystal structure is pseudo-trigonal with a minimal difference in the three crystal directions, it is practically impossible to experimentally determine which one is the correct spin model. However, since theoretical calculations have been proven effective for the present crystal structure, as denoted in “Methods”, we further performed theoretical calculations of the total energy for these possible candidate magnetic structures. As shown in Supplementary Fig. 10, DFT calculation has shown a remarkably stable total energy for Model 4 distinct from all seven other candidates. As a matter of fact, this calculation-supported magnetic structure can be perfectly explained by the Cu-O-Cu super-exchange bonding. As shown in Table 2, the underlined Cu-O-Cu bonding, which has the smallest angle in each triangle, is ferromagnetically coupled in the Model 4 structure, while all other \({{{{\rm{Cu}}}}}^{2+}\) ions are antiferromagnetically coupled. It turned out that the low-temperature magnetic structure is like that in the 6.0 K = TN2 < T < TN1 = 18.1 K intermediate phase in Clinoatacamite with similar bigness of spin moments. In the latter, we have found that a unique up-up-down—down-down-up spin order for the neighboring triangles in the Kagome ring with spin moments of 0.245(15) μB and 0.39(3) μB for the Cu1 and Cu3-site ions, which was formed in the TN2 < T < TN1 phase in its (101) lattice plane22. Similarly, in the intermediate phase in Clinoatacamite, two Cu spins in each triangle bonded by the smaller angle parallelly aligned (up-up) while those bonded by larger angles antiparallelly aligned (up-down).
a Model 1 with χ2 = 1.0468, M = 0.378(6) μB (Mx: 0.375(4) μB, My: 0.07(17) μB, Mz: 0.1(2) μB). Of the six triangles in one Kagome ring, two identical triangles on the opposite sides consisting of the 3B, 3 C, and 4B Cu ions are ordered as ↑↑↑, ↓↓↓, separated by two alternative ↑↑↓, ↓↓↑ triangles on each side. b Model 4 with fitting χ2 = 1.0473, M = 0.38(15) μB (Mx: 0.37(12) μB, My: 0.05(24) μB, Mz: 0.2(3) μB). All six triangles in the Kagome ring are alternatively ordered as ↑↑↓, ↓↓↑. The oval loops indicate the possible formation of spin singlets in the intermediate TN < T < 20 K phase, as discussed in the text. As shown in Supplementary Fig. 8, there is another Model 3 similar with Model 4, wherein the only difference lies in which Cu-O-Cu bond in each ↑↑↓ triangle is ferromagnetically coupled as ↑↑, and there are five other possible spin structures similar to Model 1, wherein different pairs of triangles have the ↑↑↑ ↓↓↓ spin arrangement. Source data are provided as a Source Data file.
The manner of the growth of short-range-ordered spin clusters and the remanent magnetism can be well explained in relation to the magnetic structure. As shown in Fig. 4b, the T < TN long-range 2D Kagome order was brought out because of percolation of short-range-ordered spin clusters. The spin clusters grow continuously by decreasing the disordered spins. The T < TN model in Fig. 7b can better explain the manner of the evolution of the long-range magnetic order from the short-range correlated spin clusters. As indicated by the oval loops in Fig. 7b, spin singlets of VBS (valence-bond-solid) could be considered for the coexisting disordered spins in the intermediate TN < T < 20 K phase. This picture agrees well with the μSR results. The simultaneous increase of magnetically ordered fraction FMO with the decrease of the Fμ-H showed that while a part of Kagome spins near the μ-H site were ordered; other disordered Kagome spins did not produce a dynamical field at the μ-H site, implying that their moments were null in consistency to the formation of spin singlets. Therefore, the intermediate phase can be pictured as spin-ordered clusters floating in a spin liquid.
One would notice that the situation in Fig. 7b strikingly resembles the VBS (valence-bond-solid) + Nėel model in Kagome layers initially proposed by Lee et al. for Clinoatacamite15. They proposed a full VBS spin liquid state for Clinoatacamite’s intermediate TN2 < T < TN1 phase in its Kagome layers, followed by coexisting VBS and colinear antiferromagnetic order below TN2. These states were not realized in clinoatacamite, as was denied by the μSR experiment for the intermediate TN2 < T < TN1 phase14. Our recent neutron diffraction on Clinoatacamite revealed a Kagome magnetic structure in the intermediate phase and investigations using single crystalline Clinoatacamite indicated a three-dimensional spin structure consistent with ref. 16 for the T < TN2 phase22. However, the proposed coexisting VBS + Nėel model for the T < TN2 phase of Clinoatacamite can be used to account for the T < T* intermediate phase in the present pseudo-trigonal Cu4(OH)6Cl2.
The remanent magnetism and the slow time relaxation can be consistently explained by the coupling between the field-enhanced spin clusters with the surrounding spin liquid, which can be understood through the spin liquid picture illustrated by the oval loops in Fig. 7b. Since the spin clusters are strongly coupled to the coexisting spin liquids, the recovering to the zero-field state would be pinned by the collectively correlated spin singlets. The unconventional static property of the short-range order can be readily explained by a similar pinning effect. Static short-range order was also observed in the triangular-lattice compound NiGa2S428, wherein they tentatively attributed a missing 20% of the full μSR asymmetry to an unlikely texturization of the sample. The static short-range order in NiGa2S4 can be more reasonably explained by a pinning effect due to coexisting spin liquid.
It is interesting to compare the unique magnetic transition to the development of disordered static magnetism and spin-liquid-like behaviors in YCu3(OH)6OxCl3-x33, wherein no evidence for long-range ordering were observed but distinct ground states were found: disordered static magnetism developed in the x = 0 compound below T < 14 K, and stabilization of a quantum spin liquid in the x = 1/3 one was suggested. We can see that the x = 0 YCu3(OH)6Cl3 is a structurally complete Kagome magnet (without the inter-Kagome-layer Cu) but may contain site disorder of O and Cl. A comparison may raise concerns about the influence of randomness on spin liquid behaviors12,13.
In summary, we have discovered an unconventional static short-range order stabilized by a pinning effect due to coexisting spin liquids in a rediscovered structure of Cu4(OH)6Cl2. The present work provides a unique real magnetic system for the first time to demonstrate the universal effectiveness of percolation theory. The geometric frustration and the unconventional stable short-range order pinned by the coexisting spin liquids have caused a gradually evolved magnetic transition to perfectly demonstrate a complete percolation process. The uncovered properties and growth of spin order from the spin liquid in this chemically clean quantum magnet would shed new light on the hotly debated spin liquid physics. In particular, the similar and yet strikingly different magnetism in the triclinic and monoclinic Cu4(OH)6Cl2, and their close relation to the trigonal paratacamite, wherein only minimal structural difference can be recognized, provide a rare case to study the critical role of crystal structure on the geometric frustration and spin liquid magnetism.
Methods
Material
Polycrystalline samples of triclinic-structure Cu4(OH)6Cl2 and Cu4(OD)6Cl2 were obtained by heating stoichiometric amounts of high-purity powders of thoroughly dried CuCl2 and NaHCO3 in sealed Teflon vessel at 180–200 °C for 3–24 h. Careful attention should be paid to exclude any moisture in the starting materials to avoid partial oxidation. For this synthesis, NaHCO3 and NaDCO3 were prepared beforehand by continuously pumping CO2 gas into Na2CO3 dissolved in H2O and D2O, respectively. After the synthesis, the impurity NaCl in the product was thoroughly washed out by pure water.
The sample synthesis dated back to our early synthesis of Clinoatacamite in aqueous solution, during which we noted that some samples showed magnetism quite similar to Clinoatacamite but without the slight magnetic susceptibility anomaly at TN1 = 18.1 K. Those samples also showed contrastingly gradual μSR changes below ca. 20 K. We once attributed them to defective Clinoatacamite. Then we realized that they belonged to a different crystal structure but wrongly suspected it as a metastable structure of rhombohedral Paratacamite34 since its X-ray diffraction pattern showed a seemingly high symmetry. Finally, with successful purification in single-phase synthesis using the solid reaction synthesis as described, we were able to identify this anomalous compound to be a triclinic structure. To our surprise, this crystal structure has already been theoretically predicted in the Material Project (mp-1201073). It is also similar with the crystal structure previously reported for a natural mineral Cu1.978Ni0.028(OH)3Cl1.01535, which, however, was (wrongly) discredited as twined Clinoatacamite.
Measurements and calculation
Synchrotron radiation X-ray diffraction experiments were carried out at SPring-8 using a wavelength of λ = 0.499843687 Å, Δλ = 0.000000924. Magnetization measurement was performed using the Quantum Design MPMS3 SQUID magnetometer. The remanent field in the equipment was reduced using the reset magnet facility. μSR experiments utilizing polarized positive surface muon beams with conventional He gas flow cryostats were conducted both at the DC muon facility of TRIUMF, Vancouver, and the pulse muon facility of RIKEN-RAL, Oxford. The heat capacity was measured using an adiabatic heat-pulse method with a 3He cryostat and dilution refrigerator using ~0.5 g of the polycrystalline sample mixed with gold powder. Neutron diffraction experiments were carried out at the SuperHRPD beamline, J-PARC, using polycrystalline Cu4(OD)6Cl2. The time-of-flight data from the pulsed beamline were analyzed using the FULLPROF-suite software based on Rietveld refinement36, assisted by the representation analysis program SARAh37.
Theoretical calculations were performed to verify the candidate magnetic structures by using the Vienna ab initio Simulation Package (VASP) to apply Density Functional Theory (DFT) along with the projector-augmented-wave formalism (PAW)38,39,40,41. The electronic wave functions were expanded as plane waves with an energy cutoff of 550 eV, and the convergence criterion was set to 10−7 eV. The electron exchange and correlation (XC) were used with the generalized gradient approximation (GGA) functional of Perdew, Burke, and Ernzerhof (PBE). The force convergence criterion for the structural relaxation was set to 0.001 eV/Å. Additionally, a 5 × 5 × 5 Monkhorst–Pack k-point mesh was used for the calculations.
μSR as a probe for magnetic order and spin fluctuations
Since muon has a large gyromagnetic ratio (γμ = 2π × 135.5 MHz/T), it is a sensitive magnetic probe. It is also an optimum probe for zero-field magnetism since it does not rely on an external magnetic field. The positive muon beam, polarized to the beam direction, is stopped in the specimen and depolarized by its internal fields produced by magnetic spins or nuclear spins. The time histograms of muon decay positrons are recorded by forward (F) and backward (B) counters as a function of resident time for each μ+ within the specimen. A positron is emitted preferentially toward the muon spin direction. Therefore, asymmetry A(t) = [F(t) − B(t)]/[F(t) + B(t)] of the two histograms (after correction for solid-angle effects) reflects the time evolution of muon spin polarization, as well as the time evolution and space distribution of the internal fields in the specimen. In a randomly oriented polycrystal specimen that is magnetically ordered, the longitudinal polarization function PZ(t) in μSR is expected to be: Pz(t) = \(\frac{1}{3}{e}^{-{\lambda }_{{{{\rm{L}}}}}t}+\frac{2}{3}{e}^{-{\lambda }_{{{{\rm{T}}}}}t}\cos ({\gamma }_{\mu } \, < \, {B}_{{loc}}\, > \,t)\), wherein, λL and λT respectively denote the spin–lattice and spin–spin relaxation rates, γμ is the muon gyromagnetic ratio (γμ = 2π × 135.5 MHz/T), and < Bloc > stands for the mean value of the local field at the muon site. With a typical time window of 10−5 to 10−10 s, μSR is frequently used to investigate spin fluctuations.
In the present material, some implanted muons (μ+) were found to stop nearby OH− acting like H+ to form water-like O-μ+-H bonding, wherein the nuclear spin of H caused the μ+ spin to rotate slowly. This kind of “hydrogen bonding” has been observed in other compounds containing F or OH42,43,44,45, wherein the μSR polarization function was well described by a “two spin model”, \({G}_{\mu -{{{\rm{H}}}}}\left(t\right)=\frac{1}{6}+\frac{1}{6}\cos (\omega t)+\frac{1}{3}\cos (\frac{1}{2}\omega t)+\frac{1}{3}\cos (\frac{3}{2}\omega t)\), with ω = ћγμγΝ/r3, γμ and γΝ being the gyromagnetic ratios of μ+ and H+ nuclear spins, respectively, and r the distance between μ+ and H+. A r = 1.538(2) Å was obtained. The remaining muons stopped near Cl−, which was well fitted by the Kubo-Toyabe function \({G}_{{{{\rm{KT}}}}}(t)=\frac{1}{3}+\frac{2}{3}(1-{(\sigma t)}^{2}{e}^{-\frac{1}{2}{(\sigma t)}^{2}})\)46\(,\) wherein σ = 0.282(5) μs−1 was obtained, reflecting the average nuclear dipolar field at this muon site.
Data availability
The data of this study are included in the article and the Supplementary Information. Source data are provided with this paper.
References
Li, M. et al. Percolation on complex networks: theory and application. Rev. Artic. Phys. Rep. 907, 1–68 (2021).
Pelc, D. et al. Emergence of superconductivity in the cuprates via a universal percolation process. Nat. Commun. 9, 4327 (2018).
Wang, J., Lian, B. & Zhang, S.-C. Universal scaling of the quantum anomalous Hall plateau transition. Phys. Rev. B 89, 085106 (2014).
Wu, X. et al. Scaling behavior of the quantum phase transition from a quantum-anomalous-Hall insulator to an axion insulator. Nat. Commun. 11, 4532 (2020).
He, M. et al. Probing the percolation in the quantum anomalous Hall insulator. N. J. Phys. 25, 033003 (2023).
Grice, J. D., Szymanski, J. T. & Jambor, J. L. The crystal structure of clinoatacamite, a new polymorph of Cu2(OH)3Cl. Can. Mineral. 34, 73–78 (1996).
Zheng, X. G. et al. Unconventional magnetic transitions in the mineral clinoatacamite Cu2Cl(OH)3. Phys. Rev. B 71, 052409 (2005).
Zheng, X. G. et al. Antiferromagnetic transitions in polymorphous minerals of the natural cuprates atacamite and botallackite Cu2Cl(OH)3. Phys. Rev. B 71, 174404 (2005).
Malcherek, T., Welch, M. D. & Williams, P. A. The atacamite family of minerals—a testbed for quantum spin liquids. Acta Cryst. B74, 519–526 (2018).
Shores, M. P., Nytko, E. A., Bartlett, B. M. & Nocera, D. G. A structurally perfect S = 1/2 kagomé antiferromagnet. J. Am. Chem. Soc. 127, 13462–13463 (2005).
Mendels, P. et al. Quantum magnetism in the paratacamite family: towards an ideal kagomé lattice. Phys. Rev. Lett. 98, 077204 (2007).
Kawamura, H. & Uematsu, K. Nature of the randomness-induced quantum spin liquids in two dimensions. J. Phys. Condens. Matter 31, 504003 (2019).
Uematsu, K. & Kawamura, H. Randomness-induced quantum spin liquid behavior in the S=1/2 random-bond Heisenberg antiferromagnet on the pyrochlore lattice. Phys. Rev. Lett. 123, 087201 (2019).
Zheng, X. G. et al. Coexistence of long-range order and spin fluctuation in geometrically frustrated clinoatacamite Cu2Cl(OH)3. Phys. Rev. Lett. 95, 057201 (2005).
Lee, S.-H. et al. Quantum-spin-liquid states in the two-dimensional kagome antiferromagnets ZnxCu4-x(OD)6Cl2. Nat. Mater. 6, 853–857 (2007).
Wills, A. S. & Henry, J. Y. On the crystal and magnetic ordering structures of clinoatacamite, γ-Cu2(OD)3Cl, a proposed valence bond solid. J. Phys. Condens. Matter 20, 472206 (2008).
Kim, J.-H. et al. External magnetic field effects on a distorted kagome antiferromagnet. Phys. Rev. Lett. 101, 107201 (2008).
Norman, M. R. Herbertsmithite and the search for the quantum spin liquid. Rev. Mod. Phys. 88, 041002 (2016).
Reitsma, A. J. W., Feiner, L. F. & Oles, A. M. Orbital and spin physics in LiNiO2 and NaNiO2. N. J. Phys. 7, 121 (2005).
Khatami, E., Helton, J. S. & Rigol, M. Numerical study of the thermodynamics of clinoatacamite. Phys. Rev. B 85, 064401 (2012).
Liu, B.-G. Low-temperature properties of the quasi-two-dimensional antiferromagnetric Heisenberg model. Phys. Rev. B 41, 9563–9565 (1990).
Zheng X.-G. et al. A novel Kagome uud-ddu spin order in Heisenberg spin-1/2 Clinoatacamite Cu4(OH)6Cl2, the parent compound of Herbertsmithite. Preprint at https://arxiv.org/abs/2411.01277 (2024).
Do, S.-H. et al. Short-range quasistatic order and critical spin correlations in α-Ru1−xIrxCl3. Phys. Rev. B 98, 014407 (2018).
Forslund, O. K. et al. Phys. Scr. 96, 125864 (2021).
Khatua, J. et al. Development of short and long‑range magnetic order in the double perovskite based frustrated triangular lattice antiferromagnet Ba2MnTeO6. Sci. Rep. 11, 6959 (2021).
Nakamura, J. G. et al. Short-range spin order in paramagnetic AgCrSe2. J. Phys. Chem. Solids 175, 111199 (2023).
Nakatsuji, S. et al. Spin disorder on a triangular lattice. Science 309, 1697–1700 (2005).
Yaouanc, A. et al. Short-range magnetic ordering process for the triangular-lattice compound NiGa2S4: a positive muon spin rotation and relaxation study. Phys. Rev. B 77, 092403 (2008).
Bollobás, B. & Riordan, O. Sharp thresholds and percolation in the plane. Random Struct. Algorithms 29, 524–548 (2006).
Newman, M. E. J. & Ziff, R. M. Efficient Monte Carlo algorithm and high-precision results for percolation. Phys. Rev. Lett. 85, 4104 (2000).
Kato, K. et al. Quantum phase transition of the randomly diluted Heisenberg antiferromagnet on a square lattice. Phys. Rev. Lett. 84, 4204–4207 (2000).
Sandvik, A. W. Classical percolation transition in the diluted two-dimensional \(S=\frac{1}{2}\) Heisenberg antiferromagnet. Phys. Rev. B 66, 024418 (2002).
Barthélemy, Q. et al. Local study of the insulating quantum kagome antiferromagnets YCu3(OH)6OxCl3−x (x = 0, 1/3). Phys. Rev. Mater. 3, 074401 (2019).
Fleet, M. E. The crystal structure of paratacamite, Cu2(OH)3Cl. Acta Cryst. B 31, 183–187 (1975).
Malcherek, T. & Schlüter, J. Structures of the pseudo-trigonal polymorphs of Cu2(OH)3Cl. Acta Cryst. B65, 334–341 (2009).
Rodriguez-Carvajal, J. Recent advances in magnetic structure determination by neutron powder diffraction. Phys. B Cindens. Matter 192B, 55 (1993).
Wills, A. S. A new protocol for the determination of magnetic structures using simulated annealing and representational analysis (SARAh). Phys. B 276-278, 680 (2000).
Kresse, G. & Joubert, D. From ultrasoft pseudopotentials to the projector augmented-wave method. Phy. Rev. B 59, 1758–1775 (1999).
Kresse, G. & Hafner, J. Ab initio molecular-dynamics simulation of the liquid-metal-amorphous-semiconductor transition in germanium. Phy. Rev. B 49, 14251–14269 (1994).
Kresse, G. & Furthmüller, J. Efficiency of ab-initio total energy calculations for metals and semiconductors using a plane-wave basis set. Comput. Mater. Sci. 6, 15–50 (1996).
Kresse, G. & Furthmüller, J. Efficient iterative schemes for ab initio total-energy calculations using a plane-wave basis set. Phy. Rev. B 54, 11169–11186 (1996).
Brewer, J. H. et al. Observation of muon-fluorine “hydrogen bonding” in ionic crystals. Phys. Rev. B 33, 7813–7816 (1986).
Nishiyama, K., Nishiyama, S. W. & Higemoto, W. Asymmetric F–μ–F interaction of the muon in polyfluorocarbons. Phys. B 326, 41–45 (2003).
Zheng, X.-G. et al. Two-dimensional triangular-lattice Cu(OH)Cl, belloite, as a magnetodielectric system. Phys. Rev. Mater. 2, 1–8 (2018).
Zheng, X.-G. et al. Unusual Magnetism in a d-Electron Compound Fe(OH)Cl: A X–Y Stacked-Triangular Antiferromagnet with Characteristic Double-Bridge Bonding, Unquenched Orbital Moment and Coexisting Spin Fluctuations. J. Phys. Soc. Jpn. 93, 014704 (2024).
Kubo, R. & Toyabe, T. in Magnetic Resonance and Relaxation, Proc. 14th Colloque Ampere, (ed. Blinc, R.) (North-Holland, Amsterdam, 1967).
Momma, K. & Izumi, F. VESTA 3 for three-dimensional visualization of crystal, volumetric and morphology data. J. Appl. Crystallogr. 44, 1272–1276 (2011).
Acknowledgements
Synchrotron radiation X-ray diffraction experiments were carried out at SPring-8 with the approval of the Japan Synchrotron Radiation Research Institute (Proposal No: 2020A0068). Magnetic susceptibility measurements were performed at Low Temperature Center, Kyushu University. Muon spin spectroscopy were performed at TRIUMF and RIKEN-RAL under user program of proposal Nos. 1046 and RB1970101, respectively. The neutron diffraction experiments were performed at J-PARC under a user program of experiment No. 2020B0297. DFT calculations were performed at the Center for Computational Materials Science (Project No.202212-SCKXX-0513), Institute for Materials Research, Tohoku University. We thank previous students Takahiro Yuasa, Masayoshi Fujihara, Shou Nakaniwa, Takuya Yanase, Akihiro Urata for participation in preliminary experiments and sample preparation. The free software VESTA47 was used for the visualization of the crystal structure and magnetic structure. This work is supported by Japan Society for the Promotion of Science (JSPS) with grant numbers of JP22H01529(X.G.Z.), JP20K20912(X.G.Z.), JP18H05462(X.G.Z.), JP20K03864(I.Y.), 24H00415(E.N.), JP23K17763(T.K.), JP21H01605(T.K.), JP20H04463(I.W.), JP19H00835(C.N.X.), JP22H00269(C.N.X.).
Author information
Authors and Affiliations
Contributions
X.G.Z.: conceptualization, data analysis, and writing, all experiments except the synchrotron XRD and specific heat measurements. IY.: main μSR experiment and analysis. M.H.: analysis of possible spin structures. E.N.: Synchrotron X-ray diffraction and crystal structure determination. T.K.: heat capacity measurements and analysis. I.W.: supporting the main μSR experiment. T.U., Y.C., and C.N.X.: DFT calculation.
Corresponding author
Ethics declarations
Competing interests
The authors declare no competing interests.
Peer review
Peer review information
Nature Communications thanks Pascal Puphal, Kaiming Qiao, and the other, anonymous, reviewers for their contribution to the peer review of this work. A peer review file is available.
Additional information
Publisher’s note Springer Nature remains neutral with regard to jurisdictional claims in published maps and institutional affiliations.
Supplementary information
Source data
Rights and permissions
Open Access This article is licensed under a Creative Commons Attribution-NonCommercial-NoDerivatives 4.0 International License, which permits any non-commercial use, sharing, distribution and reproduction in any medium or format, as long as you give appropriate credit to the original author(s) and the source, provide a link to the Creative Commons licence, and indicate if you modified the licensed material. You do not have permission under this licence to share adapted material derived from this article or parts of it. The images or other third party material in this article are included in the article’s Creative Commons licence, unless indicated otherwise in a credit line to the material. If material is not included in the article’s Creative Commons licence and your intended use is not permitted by statutory regulation or exceeds the permitted use, you will need to obtain permission directly from the copyright holder. To view a copy of this licence, visit http://creativecommons.org/licenses/by-nc-nd/4.0/.
About this article
Cite this article
Zheng, XG., Yamauchi, I., Hagihala, M. et al. Unique magnetic transition process demonstrating the effectiveness of bond percolation theory in a quantum magnet. Nat Commun 15, 9989 (2024). https://doi.org/10.1038/s41467-024-54335-6
Received:
Accepted:
Published:
Version of record:
DOI: https://doi.org/10.1038/s41467-024-54335-6









