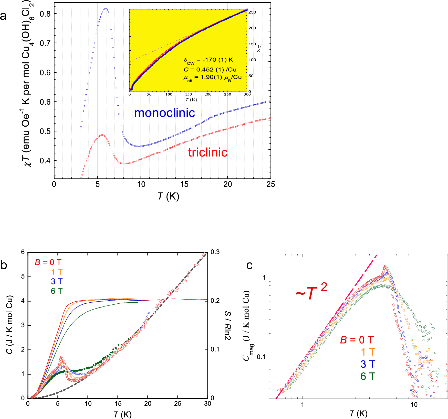
Fig. 3: Magnetic transitions in triclinic Cu4(OH)6Cl2.

a χT vs T curves in comparation with the monoclinic Clinoatacamite (χ: DC susceptibility) showing transition at TN = 5.5 K. The inset plot is the 1/χ – T with a Curie-Weiss fitting showing nearly equivalent θCW and μeff for both Clinoatacamite and triclinic Cu4(OH)6Cl2. b Specific heat and magnetic entropy in external fields of B = 0–6 T. c The magnetic specific heat with a Cmag ~ T2 fitting, demonstrating a two-dimensional magnetic interaction in triclinic Cu4(OH)6Cl2 below TN = 5.5 K. In both susceptibility and specific heat, no change can be recognized in the high-temperature range in the triclinic compound as compared to small anomalies at TN1 ~ 18.1 K in Clinoatacamite. Source data are provided as a Source Data file.