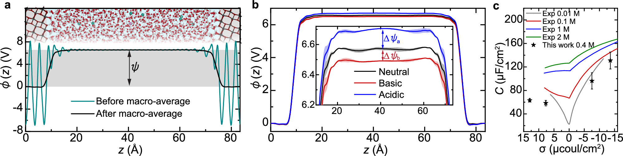
Fig. 3: Potential drop at interfaces.
From: Molecular-scale insights into the electrical double layer at oxide-electrolyte interfaces

a Representative snapshot from our DPLR simulation of the anatase TiO2-NaCl solution interface (top) and plane-averaged electrostatic potential \(\phi\) along the \(z\)-direction, before and after macroscopic (macro-) average (bottom). The potential drop \(\psi\) is determined from the macro-averaged potential difference between the bulk solid and bulk liquid regions. b Macro-averaged electrostatic potential at the TiO2 interfaces with three different types of electrolytes. All curves are aligned to zero \(z=0\). The magnified view in the inset shows the potential drop differences between the negatively (positively) charged surface and the neutral surface, denoted as \(\Delta {\psi }_{b}\) (\(\Delta {\psi }_{a}\)), which is obtained by further averaging the macro-averaged electrostatic potentials over 31.8 \(\mathring{\rm A}\) < z < 51.8 \(\mathring{\rm A}\). All results and error bars were derived from simulations using two independent DPLR models. c Comparison between our computed interfacial capacitance (star symbols) and experiments for rutile TiO2-aqueous NaNO3 interfaces (solid lines)40[,51. Different colors of the experimental curves represent different concentrations of the background NaNO3 salt. Source data are provided as a Source Data file.