Abstract
Global nickel demand is projected to double by 2050 to support low-carbon technologies and renewable energy production. However, biomass carbon emissions from clearing vegetation for nickel mining are rarely included in corporate sustainability reports or considered in mineral sourcing decisions. Here, we compiled data for 481 nickel mines and undeveloped deposits to show that the footprint of nickel mining could be 4 to 500 times greater than previously reported (depending on the mine site), and thus the environmental impacts of nickel products, including batteries, have been underestimated to date. We found large variation in biomass losses among mines, and, in many cases, these unaccounted carbon emissions were significant relative to other Scope 1 and Scope 2 emissions from nickel extraction and processing. Reporting emissions from biomass losses from mining is key for strategic decision making on where to source nickel needed for effective climate action.
Similar content being viewed by others
Introduction
Commitments to boost low-carbon energy production and end deforestation by 2030 were two key outcomes of the COP 28 conference of the United Nations Framework Convention on Climate Change1. Together, these measures could make substantial progress towards mitigating anthropogenic climate change and limiting global warming to 1.5 degrees Celsius2. However, their effects are not independent, and, without careful planning, progress on one could undermine the achievement of the other. Low-carbon technologies, for example, require production increases in mineral mining3. The mining industry is already responsible for ~10% of global energy-related carbon emissions each year4. In addition, mining directly and indirectly causes land use changes, and the associated biomass losses may result in further carbon emissions5,6,7. However, biomass carbon emissions are not generally reported by the mining sector8 and rarely feature in climate plans or decisions on where and how to source metals for low-carbon technologies3.
The minerals required for low-carbon technologies include aluminum, graphite, nickel, copper, zinc, lead, manganese, cobalt, and lithium3,9. For many of these minerals, large increases in mining production will be required to meet growing demand, even when recycling is taken into consideration. For example, The World Bank estimated that to develop the low-carbon infrastructure required to limit global warming to 2 degrees, graphite and lithium mining will need to increase by almost 500% by 20509. The minerals that have the highest estimated annual demands in 2050 for use in low-carbon technologies are aluminum (5.58 million tonnes), graphite (4.59 million tonnes), nickel (2.27 million tonnes), and copper (1.38 million tonnes)9.
Here, we focus on estimating biomass carbon emissions caused by clearing vegetation for nickel mining. Nickel is a silvery-white metal that is hard, ductile, and resistant to oxidation and corrosion. Today, nickel is primarily used in stainless steel and other alloys, as well as in specialized corrosion-resistant plating10,11. Nickel is also used to produce numerous low-carbon energy production and storage technologies, including batteries and infrastructure for geothermal, wind, solar photovoltaic, hydroelectric, and nuclear energy. Currently, ~15% of global nickel production is used in clean energy applications11,12. As battery use increases in future to aid the transition to a low-carbon economy, an increasing amount of nickel supply will be required. For example, one study estimates that the amount of nickel required for electric vehicles will reach 1.1 million tons (Mt) per year by 2030, which is approximately one-third of global annual production in 202312. Climate action, among other factors, is projected to see future nickel demand from energy technologies soar to 2.27 Mt of nickel per year by 20509. A recent analysis by the International Energy Agency predicts that cleantech demand for nickel will increase from 0.48 Mt (in 2023) to 3.4 Mt by 204011. Demand for other nickel use is also predicted to increase, from 2.5 Mt (in 2023) to 2.9 Mt by 204011. Since increasing end-of-life nickel recycling rates to 100% by 2050 would only increase recycled content rates in nickel products to 58%, continued supplies of nickel will need to be provided through mining9.
Global terrestrial nickel resources in 2018 (350.2 Mt nickel) are sufficient to meet increasing demand in the coming decades13,14. However, land use changes and associated biomass losses from establishing new nickel mines will depend strongly on where and how deposits are brought into production. More than half (60–70%) of terrestrial resources are located in nickel laterite deposits, which are concentrations of nickel that form in loose rock and soil through intense weathering in tropical climates14,15. To date, laterite mining has been secondary to the mining of magmatic sulfide deposits, which form in igneous rocks. Magmatic sulfides generally have lower land and energy processing requirements than laterites and are thus less expensive to mine, accounting for ~60% of current production14,16. However, magmatic sulfide deposits are declining in grade, and it is expected that laterite mining will comprise a larger proportion of nickel production in future14. In addition, recent technological developments have enabled battery grade (Class 1) nickel production from laterite deposits17,18,19.
Our goal in this study was to estimate the impact of nickel mining on biomass carbon storage, including potential future losses from undeveloped deposits. To do this, we compiled a database of 481 nickel mines and undeveloped nickel deposits, classifying them as either magmatic sulfide deposits (n = 276), laterite deposits (n = 173), or another type of deposit (n = 32) (Fig. 1; Data S1). For 18 magmatic sulfide mines and 18 laterite mines, as well as for the major mining fields of Sudbury Basin (sulfide deposits, ~11 mines) and New Caledonia (laterite deposits, ~30 mines), we were able to quantify land use footprints and cumulative nickel production data to 2020 to estimate land transformation factors (m2 of land per tonne of nickel; Data S2). In addition, we estimated the number of years (to 2020) that each nickel mine has produced nickel. We then used a global biomass dataset20 to quantify the average biomass density of unaffected vegetation surrounding the mine sites as a proxy of what was emitted through clearing vegetation for mining (see Methods and Data S2). Finally, we estimated potential biomass losses for developing 335 nickel deposits, under a range of land transformation factors (see Methods and Data S3).
Magmatic sulfide deposits are shown as purple circles and laterite deposits are shown as turquoise circles. The size of the circle indicates the deposit size. Deposits that have been developed into mines are indicated with a black dot. Example mine footprints are shown in the insets. Aboveground carbon values are from Spawn et al.20. In this figure, the data from Spawn et al.20 were plotted using ArcGIS Pro Version 3.0.
Results
We found large variation in total land disturbance relative to nickel production for historic and current nickel mines (see Table 1, Fig. 2, and Data S2). For magmatic sulfide mines, land transformation factors range from 4 to 398 m2/t nickel (median: 30 m2/t nickel). For laterite mines, land transformation factors range from 7 to 229 m2/t nickel (median: 50 m2/t nickel), indicating that laterite mines generally have larger land disturbance than sulfide mines, although there are sulfide mines with very high land transformation factors. Importantly, a land transformation factor of 4 m2/t nickel was determined for the Sudbury Basin, and a value of 10 m2/t nickel was determined for Norilsk-Talnakh in Russia, the two largest sources of nickel sulfide ore. The Sudbury Basin deposit has produced ~12 Mt of nickel since the 1880s while the Norilsk-Talnakh deposit has produced ~8.3 Mt of nickel since the 1930s13,14. In addition, a value of 20 m2/t nickel was estimated as an average for all laterite mining on the island of New Caledonia, where mining has occurred since the 1870s and produced ~5.2 Mt of nickel13. The value for all of New Caledonia is likely an underestimate, since it is challenging to map all areas that were historically disturbed. Unsurprisingly, values were lowest for underground nickel mines, such as Eagle Mine in the USA and Voisey’s Bay Mine in Canada.
Individual mines are shown as circles, while estimates for the major mining fields of Sudbury Basin (~11 mines) and New Caledonia (~30 mines) are shown as triangles. A Cumulative nickel production versus total land disturbance. B Cumulative nickel production versus average aboveground biomass densities in 5 km buffers around the mining sites. See Methods for more information on how the average biomass densities were determined. C Cumulative nickel production versus estimated total biomass carbon losses, which were determined by multiplying the total land disturbance by the average aboveground and belowground biomass carbon density values.
Importantly, our land transformation factors are, in general, greater than those reported in previous studies used to quantify the environmental impacts of nickel21. The Nickel Institute reports values of 0.76 m2/t nickel for underground mines and 1.8 m2/t nickel for open pit mines22. The Nickel Institute values have been used in various academic studies examining the environmental impacts of nickel mining, for example in Nakajima et al.21. A 2009 report on metal mining environmental impacts for the Ecoinvent Database23, which has been cited in various academic studies on nickel mine land use24,25, contains a value of 1.7 m2/t nickel for open pit mines and assumes that the land footprint of an underground mine is negligible23. Using these literature land transformation factors in environmental impact assessments, including those of carbon emissions, greatly underestimates the environmental impact of nickel mining. For underground mines, the smallest land transformation factor determined in this study (see Table 1 and Data S2) is 4 m2/t nickel or ~5× the land transformation factor provided by the Nickel Institute, while the highest value of 398 m2/t nickel is >500× the Nickel Institute value. For open pit mines, the lowest value of 7 m2/t nickel is ~4× the values provided by the Nickel Institute and in the 2009 Ecoinvent report, while the highest value of 229 m2/t nickel is ~130× these values.
While the latest version of the Ecoinvent Database (https://ecoinvent.org/database/) contains updated assumptions that can generate land transformation factors of ~10–20 m2/t nickel, depending on the parameters selected, academic studies on nickel land footprints still primarily reference the older reports22,23. In addition, there is a lack of primary data from peer-reviewed scientific studies to inform the land transformation factors for nickel mines in the Ecoinvent Database.
In addition to considering land transformation factors, it is important to consider the biomass densities of vegetation located in nickel mining areas. A mine that has a high land transformation factor but is located in a region of the world that has a low biomass density can have a low impact on carbon storage (and vice versa). Determining the exact biomass densities for vegetation that has been lost as a result of global nickel mining is challenging since many nickel operations were brought into operation decades ago before satellite datasets were available and since the amount of deforestation that occurred is often poorly documented. Furthermore, even for mines that opened in recent years, the use of regional biomass datasets is limited by the lack of data harmonization between studies that have used different methods to determine biomass values.
To estimate biomass densities in a way that could facilitate a high-level global comparison of biomass densities for nickel mines, the globally harmonized biomass carbon density dataset of Spawn et al.20 was used. This dataset contains aboveground and belowground biomass carbon density values for the year 2010. Using this dataset, we estimated the biomass carbon densities of vegetation lost from mine land use by determining the average biomass carbon densities in buffers surrounding the mining operations (see Methods). We acknowledge that the actual biomass carbon densities that were lost could be different for many mine sites. However, our estimates provide a suitable high-level dataset to enable analysis of broad trends of biomass carbon losses from nickel mining in different parts of the world. We also believe that our analysis is conservative. For older nickel mining operations, the 2010 dataset is likely underestimating the biomass carbon densities of the vegetation that was lost due to mining since, in many parts of the world, there is a general trend of reduction of biomass densities due to, for example, deforestation due to agricultural activities. In addition, we are not considering the indirect land use change impacts of nickel mining, such as the development of towns and road networks to support mining operations.
Our analysis of biomass densities found that laterite mines, which tend to form in tropical environments, do not always have greater biomass values than magmatic sulfide mines. Total biomass carbon density (sum of aboveground and belowground values) of vegetation cleared for nickel mining ranges from 1.45 to 122.7 t C/ha (median: 36.6 t C/ha) for magmatic sulfide mines and from 2.5 to 141 t C/ha (median: 36.2 t C/ha) for laterite mines (Fig. 2 and Data S2). Some laterite mines are located in palaeo-laterite deposits that have low modern-day biomass densities, for example at Murrin Murrin and Ravensthorpe in Australia. Furthermore, some magmatic sulfide mines can be located in regions with relatively high biomass densities, such as Avebury in Tasmania, Australia, and Santa Rita in Brazil.
Total biomass carbon losses per tonne of nickel produced at mine sites depend on both the biomass densities of cleared vegetation and the land transformation factors. These values are highly variable for both laterite mines, which range from 0.054 to 6.91 t CO2e/t nickel, and magmatic sulfide mines, which range from 0.013 to 12.70 t CO2e/t nickel. Biomass carbon losses per tonne of nickel produced at some mines are similar to the emissions caused by nickel extraction and processing (see Data S2), which range from 0.9 to 10 t CO2e/t nickel for magmatic sulfide mines16 and 25 to 45 t CO2e/t nickel for laterite mines16,26. Our results illustrate the importance of accounting for biomass carbon losses when deciding where and how to source nickel in future.
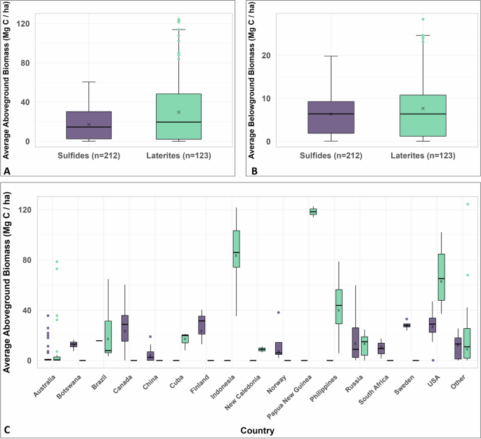
Examining the characteristics of undeveloped nickel deposits globally can provide insights for strategies that could minimize future biomass carbon emissions from nickel production. The biomass densities of undeveloped nickel deposits differ among countries (Fig. 3C). Vegetation in areas coinciding with laterite deposits was generally more biomass dense (Fig. 3A), due to these deposits being formed in the tropics (for example, in Indonesia, Papua New Guinea, the Philippines, and Brazil). However, examples of undeveloped palaeo-laterite deposits exist in regions with low modern-day biomass carbon densities, such as in Western Australia (Fig. 1). There are also examples of magmatic sulfide deposits associated with vegetation of moderate to high biomass density (for example, in Canada and Scandinavia). Thus, the spatial distribution of biomass density must be considered in nickel sourcing decisions, particularly when supplying low-carbon technologies.
The carbon biomass densities are the average values from Spawn et al.20 dataset within 5 km radius circles around the coordinates of the deposits. Sulfide deposits are shown in purple while laterite deposits are shown in turquoise. The box-and-whisker plots show the mean (x), median (line), and upper and lower quartiles (whiskers). If there are any statistical outliers, these are shown as dots above or below the whiskers. A Comparison of aboveground biomass carbon densities for all undeveloped sulfide deposits and all undeveloped laterite deposits. B Comparison of belowground biomass carbon densities for all undeveloped sulfide deposits and all undeveloped laterite deposits. C Aboveground biomass carbon values for undeveloped sulfide and laterite deposits by country. Belowground biomass carbon values for undeveloped sulfide and laterite deposits by country are shown in Fig. S1.
We used a sensitivity analysis to estimate potential biomass carbon storage losses for undeveloped nickel deposits for a feasible range of land transformation factors from 0.1 to 200 m2/t nickel (see Methods and Data S3). The results illustrate the range of expected biomass carbon emissions for each deposit with increasing land transformation factors (Fig. 4). We found emissions would remain low (relative to other reported Scope 1 and Scope 2 emissions) for deposits located in regions with low biomass densities, even when assuming large land transformation factors (Fig. 4). For deposits with greater biomass densities, emissions remain relatively low when utilizing smaller land transformation factors, such as those reported by the Nickel Institute. However, utilizing factors calculated in this study for actual mine sites can result in emissions of up to several tonnes of CO2e per tonne of nickel produced. For undeveloped laterite deposits with the highest biomass carbon densities, such as deposits in Indonesia and Papua New Guinea, biomass carbon losses could be greater than 10 t CO2e per tonne of nickel produced.
The lines represent individual deposits and show how the t CO2e/t nickel changes as the land transformation factor increases from 0 to 200 m2/t nickel. The higher the biomass carbon density at the deposit location, the steeper the slope of the line. A Potential biomass carbon storage losses for undeveloped magmatic sulfide deposits. Reference lines are shown for generic land transformation factors for underground and open pit mines from the Nickel Institute, as well as for Norilsk-Talnakh and Kevitsa nickel mines (this study). B Potential biomass carbon storage losses for undeveloped laterite deposits. Reference lines are for the generic land transformation factor for open pit mines from the Nickel Institute, as well as for Murrin Murrin and Ambatovy nickel mines (this study). Note that there are no underground laterite mines.
Discussion
Importantly, our study has demonstrated that the land transformation factors for nickel mining are significantly underestimated in previous studies, for example, a widely-cited Nickel Institute study that reports values of 1.8 m2/t of nickel for open pit mines and 0.76 m2/t nickel for underground mines22. Our study is the first to assess land transformation factors for a large number of nickel mines globally. However, our results are consistent with a limited number of previous studies which have looked at land transformation factors for nickel mines in specific regions. These studies have also found that land transformation factors for nickel mining have been historically underestimated. For example, Iwatsuki et al.27 determined land transformation factors for six nickel mines in New Caledonia over 26 years of production and found variation between 1.7 and 19.1 m2/t nickel. A recent study by Heijlen and Duhayon19 determined a value of 42 m2/t nickel for nickel mining in Indonesia over the past two decades.
An important parameter that can influence the land transformation factor is the number of years that a nickel mine has been in operation (see Table 1 and Data S2). In theory, the land transformation factor for a mine can reduce over time as the mine produces more nickel. Indeed, some of the highest land transformation factors that we determined are for mines that operated for a short time, such as Bucko Lake in Canada (398 m2/t nickel, in operation for 3 years) and Avebury in Australia (282 m2/t nickel, in operation for 1 year). By the time these operations closed, the mine footprints had been established but cumulative nickel production remained lower than planned. In addition, some recently opened mines, such as Nova-Bollinger in Australia (opened in 2017) and Weda Bay in Indonesia (opened in 2019), may have land transformation factors that decrease with time as they continue nickel production. These examples illustrate that there is risk in developing new nickel deposits, especially marginal ones. If nickel mines do not achieve full production, then their environmental impact per tonne of nickel production remains high. That said, it is important to note that at some mines land transformation factors remain high even after the mine has been in operation for decades. For example, this is the case for Mount Keith in Australia (38 m2/t nickel, in operation for 25 years), Murrin Murrin in Australia (58 m2/t nickel, in operation for 21 years), and Codemin in Brazil (134 m2/t nickel, in operation for 38 years). Thus, the variability in land transformation factors at different nickel mines must also be due to other factors, such as the ore grades of the deposit and the mine designs.
Over the past several months, the production of inexpensive nickel from Indonesia has led to a drop in the global nickel price and a number of nickel mines being closed or transitioned to care and maintenance, such as Ravensthorpe and Cosmos in Australia and Koniambo in New Caledonia. Several other operations, such as Mount Keith in Australia, are at risk of closure in the coming months. The displacement of nickel production in other parts of the world by nickel laterite production in Indonesia makes an assessment of biomass carbon losses from nickel mining a timely and important consideration. Closing of existing mines and opening of new mines in a region with high biomass carbon densities could significantly increase the carbon footprint of nickel mining.
Our study has illustrated the need to include the impact of biomass carbon storage losses in Scope 1 emissions calculations for mine sites. Historically, emissions from land use changes have often been categorized as Scope 3 emissions and reported in national inventories rather than by individual companies, with the exception of certain industries, such as forestry28. Currently, mining companies generally do not include emissions caused by biomass losses in their Scope 1 reporting, and these emissions are also generally not captured by Scope 3 reporting. For example, a Scope 3 reporting guidance document recently published by the International Council on Metals and Mining provides detailed guidance on best practices for mining companies to report on emissions from upstream and downstream supply chain activities but does not mention land use change emissions reporting29.
Recognizing that there is a lack of guidance regarding how companies should report emissions from land use changes and that companies commonly do not report these emissions, the Greenhouse Gas Protocol, which publishes one of the most widely used corporate reporting standards for carbon emissions, recently released a draft “Land Sector and Removals Guidance” document30. In this new guidance document, the GHG Protocol dictates that companies should report emissions from land use change occurring on lands a company owns or controls as Scope 1 emissions. Emissions from land use changes associated with energy purchase should be reported as Scope 2 emissions, while emissions from land use changes within the company’s value chain (upstream and downstream supply chain) should be reported as Scope 3 emissions. Furthermore, the GHG Protocol guidance document specifically mentions mining as a “land-intensive activity” where emissions from land use changes are essential to include in Scope 1 reporting since these emissions can be significant30. The new GHG Protocol guidance document is expected to come into effect in 2025, at which time all mining companies will be expected to report Scope 1 emissions from land use changes at their operations.
We have demonstrated in this study that Scope 1 emissions from land use changes at many nickel mining operations can be significant relative to other Scope 1 and Scope 2 emissions. Considering the new GHG Protocol land use change reporting requirements, there is an urgency for nickel mining companies to collect appropriate data to track carbon emissions from land use changes at their operations. Data that should be tracked include: (1) the exact boundaries of areas where vegetation has been cleared, (2) the biomass densities of the cleared vegetation, and (3) any recovery of biomass through reforestation activities. Data on land areas should be straightforward to collect through normal survey methods. In this study, we have used a global satellite dataset of biomass densities to estimate biomass emissions from nickel mine sites in order to produce a broad global comparison. However, mining companies should collect more accurate local biomass datasets, using a combination of satellite and/or aerial remote sensing and on-the-ground field surveys. Specifically, we recommend that mining companies follow Intergovernmental Panel for Climate Change guidance for Tier 3 level data (local activity data) collection as much as possible31. Where it is impossible to collect Tier 3 level data (for example, at nickel mine sites that have already been in operation for many years), then it may be necessary to rely on lower confidence estimates of carbon emissions, for example, a Tier 1 modeling approach.
Consideration of Scope 1 emissions from biomass losses also needs to be integrated into strategic nickel sourcing decisions. Ideally, to minimize emissions from nickel mining and increase the net benefit of climate action, metals should be preferentially sourced from deposits associated with less carbon-dense vegetation. Furthermore, reducing the land use footprint of nickel mines, for example by operating underground, could also contribute to reducing total biomass losses. However, this option is only available for a subset of mines, such as high-grade magmatic sulfide deposits, and may become increasingly limited in future as lower-grade deposits with larger land requirements for ore stripping and waste storage are developed13,24. It is also important to note that mining activity can drive deforestation well beyond the immediate mining area5, which causes indirect biomass carbon emissions that we did not quantify in this study.
Biomass losses could be reduced through improved rehabilitation efforts post-mining. Historically, rehabilitation of nickel mines has been challenging and largely unsuccessful, due to the presence of ultramafic rock and soil with elevated metal contents32,33. However, improved practices using endemic plants that effectively colonize stripped areas and reduce soil toxicity could increase rehabilitation success33. Careful use of carbon offsetting could also help to address net carbon losses, as has recently been suggested for Ambatovy in Madagascar34. However, it is still essential that irrecoverable carbon losses, for example, from old-growth forests, are avoided35,36 and that biomass impacts from nickel mining are considered in national and global targets to reduce or halt deforestation.
Addressing other sources of Scope 1 emissions will also reduce the climate impact of nickel mining. For example, many mines will likely install solar photovoltaic systems in future to reduce their reliance on fossil fuels, although this may be difficult to implement for certain types of energy use, such as the energy used by nickel smelters, which generally require coking coal. Land transformation factors for utility-scale solar energy systems have been estimated to range between 229 and 552 m2/GWh37. Mudd16 reports that energy use for nickel mining and processing ranges from ~30–600 GJ/t nickel. If we assume that utility-scale solar is used to meet nickel mine energy requirements and new land is used (rather than rooftop solar), then 2–94 m2 of land would be required per tonne of nickel production capacity, further increasing land requirements and carbon emissions from biomass losses.
Biomass carbon storage losses should be included in Life Cycle Assessments and considered in Supply Chain Assessments for nickel products38,39. Due to the high variability of biomass carbon storage losses for different nickel mines, a single value should not be used to represent carbon storage loss per tonne of nickel. Instead, there should be values for individual mine sites, if feasible, or at least for particular countries or regions. The variability of biomass carbon storage losses highlights the importance of understanding nickel supply chains and tracing metal from mine site to final end use.
Overall, our study reveals the importance of quantifying biomass carbon storage losses from nickel mining and factoring these emissions into metal sourcing decisions. Beyond carbon, nickel mining can lead to numerous other environmental impacts, including pollution, depletion of water resources, and loss of biodiversity40,41,42. More accurate assessment of land transformation factors for nickel mining is essential in order to properly quantify many of these impacts, which have likely been significantly underestimated to date. Mining companies must take responsibility for tracking land use changes and reporting Scope 1 carbon emissions due to biomass carbon losses.
Determining land transformation factors and biomass carbon storage losses for other energy transition minerals, such as aluminum, graphite, copper, and lithium, is also needed. However, conducting similar global analysis for other minerals will be challenging, due to the lack of data availability, particularly cumulative production data. A recent analysis by Maus and Werner43 determined that more than half (56%) of global mining areas visible in satellite images do not have any production data (let alone cumulative production data) listed in the S&P Metals & Mining database, which is the most comprehensive database for mining production data. The analysis we conducted for nickel was only possible due to the diligent compilation of nickel production data in previous studies, which enabled gaps in the S&P Metals & Mining dataset to be filled13,14. A comprehensive and diverse dataset on global mining production is still missing for environmental assessments and strategic sourcing of minerals to support an energy transition.
Methods
Compilation of global nickel deposits and sizes
Information on the locations, sizes, and characteristics of nickel deposits was compiled from the S&P Global Market Intelligence Metals & Mining Database (https://www.spglobal.com/marketintelligence/en/campaigns/metals-mining), which is one of the most comprehensive mineral deposit databases available and is commonly used by researchers to assess global trends in mining and mineral exploration44,45,46. The database was queried for nickel deposits with reserves and resources listed as of December 2020. Note that the terms “reserves” and “resources” are used in the mining industry to define the confidence that a commodity, such as nickel, can be brought into production from a mineral deposit (for example, see the descriptions in the Australasian Code for Reporting of Exploration Results, Mineral Resources, and Ore Reserves (JORC) website here: http://www.jorc.org/). For reserves, there is higher confidence that a commodity has value and can be economically, technically, and legally extracted. For resources, a commodity is potentially valuable, and there are reasonable prospects for eventual economic extraction. A total of 481 entries were returned by this query. Note that an additional 1829 nickel projects are listed in the database. However, most of these are early-stage exploration projects that have not yet proven the presence of economic nickel concentrations through drilling and sample assay. These additional projects were not considered as part of this study.
The S&P database includes metadata under “Ore Body Type” that can be used to classify nickel deposits as either a magmatic sulfide deposit, a laterite deposit, or another type of nickel deposit. Classification of the deposits from the metadata requires geological knowledge. For example, ore types listed as “Komatiitic Magmatic”, “Layered Mafic-Ultramafic Intrusion”, and “Podiform (Ophiolite-Peridotite)” were all classified as magmatic sulfide deposits, which required an understanding that these types of rocks will contain magmatic sulfide mineralization.
Only 236 of the 481 deposits had metadata under “Ore Body Type”. The remaining 245 deposits were classified based on information located elsewhere in the S&P database (for example, from a description of metallurgical processing under the “Comments” field for the deposit), from descriptions of the deposit in scientific literature, or from mining company websites or press releases (see Data S1). For a few deposits, there was not enough information to make a classification, and the deposit type was listed as “Unknown”. In addition, the 236 deposits with ore type meta-data in the S&P database were checked against other information. While most of the S&P ore type classifications were accurate, a few errors were noted and corrected.
Laterite deposits were straightforward to classify. However, magmatic sulfide deposits were more complex to classify since in igneous rocks, nickel can be present not only in magmatic sulfide minerals but also in hydrothermal minerals that form through alteration of the rocks. In addition, several large nickel deposits in the Sudbury region of Canada were formed by crustal melting caused by a large meteorite impact (the S&P database classifies these deposits as “Astrobleme” type). In this study, all nickel deposits present in mafic to ultramafic igneous rocks were classified as “Magmatic Sulfide” deposits, including those with nickel mineralization caused by hydrothermal alteration or a meteorite impact. While this is a simplification, it is justified because the nature of nickel deposits in igneous rocks is broadly similar and important to contrast with the different nature of nickel deposits in soil laterites.
In addition, information on production was compiled for as many nickel mines as possible. Information on cumulative production through the end of 2020 was sourced from the S&P Database, when available, and also from Mudd and Jowitt14 and Barnes et al.47. The number of years that a mine produced nickel (to end 2020) was also estimated, using the S&P Database and information obtained from company websites.
Determination of nickel mine land disturbance areas
To delineate the land occupied by nickel mining areas, we manually delineated mine areas from satellite imagery per methods previously established and described at length in Maus et al.44, Tang et al.48, Werner et al.49 and Tang and Werner50. In the interest of clarity, we briefly expand upon these methods here. Using the 2020 Google imagery available in Google Earth Engine and Sentinel-2 (grain size 10 m), we delineated various features, including mine waste rock dumps, heap leach pads, tailings dams, pits, and milling infrastructure areas. We generally excluded features such as roads and remote airports unless such features were clearly in place due to the development of a mine. In cases where mines operated close to built-up areas, this process entailed distinguishing milling infrastructure from surrounding buildings. Revegetated areas, backfilled pits, or pits subsequently employed for non-mining-related water storage were identified using historical imagery as well as public reports. Such areas were not included in the land transformation factors. Beyond the mine area polygon data available from past studies44,48,49,50, an additional 31 sites were newly mapped or updated exclusively for this study, as well as updating delineation areas from those studies, based on more recent imagery. Additional processes of image validation are described in Werner et al.36 and Tang and Werner50. The land disturbance areas used in this study are provided in Data S2. Polygons of nickel mining areas are provided in a GoogleEarth file in Data S4.
Biomass carbon density and carbon loss calculations
To calculate biomass carbon densities in the vicinity of nickel mines and undeveloped nickel deposits, the global database of Spawn et al.20 was used. This database contains aboveground and belowground carbon biomass values that were determined from 2010 satellite imagery coupled with modeling techniques used to infer belowground carbon values. The values have been harmonized so that they are consistent from one region to another, which is the primary reason why this dataset was selected over other carbon biomass datasets. The use of the Spawn et al.20 dataset is appropriate for this study, which aimed to develop a global view and comparison of biomass losses. To assess biomass losses more accurately at specific nickel mine sites, detailed analysis of local records, including historic satellite data, should be conducted. The biomass values in the Spawn et al.20 dataset include all carbon stored in living plant tissue, such as stems, bark, and leaves, as well as in roots (the underground component). The values do not include organic soil matter, nor non-living plant tissues, such as leaves on the forest floor. The spatial resolution of the dataset is 300 m.
For nickel mine sites, it was assumed that all biomass carbon was lost from the mining area polygons. To estimate what the biomass carbon densities were before mining, a buffer polygon of 5 km was drawn around the mining area, and the average carbon densities within this polygon were calculated using the spatial statistics toolkit in QGIS, a mapping and spatial analysis software program (https://www.qgis.org/). If other mining areas fell within the buffer area, the areas for these were subtracted from the buffer polygon area before average biomass carbon densities were calculated. In addition, carbon values over bodies of water were converted from zero values to null values, so that they did not bring down the average carbon density values for biomass in a region. To check the appropriateness of using a 5 km buffer, a sensitivity analysis was conducted with 1 km and 10 km buffers. As shown in Figs. S2 and S3, comparison of the 1 km and 5 km and the 10 km and 5 km buffers resulted in high R-squared values in all cases. The sensitivity analysis indicates that the carbon density values are not highly sensitive to the size of the buffer. Therefore, it was appropriate to use the results from the 5 km buffers in this study.
After the carbon densities were determined, biomass carbon losses were estimated by multiplying the average carbon densities by the area from the mining area polygons. The carbon losses estimated in this study are provided in Data S2.
For undeveloped nickel deposits, average carbon densities were calculated for 5 km radius circles around the S&P coordinates. A sensitivity analysis was conducted using 1 km radius and 10 km radius circles. As shown in Figs. S4 and S5, comparison of the 1 km and 5 km and the 10 km and 5 km buffers resulted in high R-squared values in all cases. The sensitivity analysis indicates that the carbon density values are not highly sensitive to the size of the buffer. Therefore, it was appropriate to use the results from the 5 km buffer circles in this study.
Potential biomass carbon losses for undeveloped deposits were estimated using an assumed land transformation factor (m2 of land disturbance per tonne of nickel produced). A sensitivity analysis was conducted for a range of land transformation factors, from 0.1 to 200 m2 per tonne of nickel produced. The results of this analysis are provided in Data S3.
Biomass calculation correction approach
We employed a multilevel weighted average approach to address the uncertainties inherent in both aboveground and belowground biomass potential loss estimations by incorporating both pixel-level and land cover-level coefficients of variation (CVs) into our calculations (Fig. S6). This approach addresses the variability in biomass measurements across different land cover types. The significance of this approach lies in its capacity to provide corrected biomass loss estimations, accounting for uncertainties at both the pixel and land cover levels within the buffer polygons. First, we transformed the uncertainty layers of biomass into CV values. We then calculated the pixel-level weights by taking the inverse of the squared pixel-level CVs, assigning greater importance to measurements with lower uncertainties. Next, we derived land cover-level weights from the inverse of the squared mean pixel-level CVs for each land cover (LC) class (using the ESA CCI Landcover 2010), introducing a nuanced weighting scheme that mirrors the average certainty of measurements within those classes. Following this, we calculated the weighted pixel-level mean (Eq. 1) and then proceeded with the weighted landcover-level mean calculation using the weighted pixel-level mean (Eq. 2). The resulting weighted average calculations at both the pixel and land cover levels yielded an overall weighted mean biomass value, providing a more robust estimation that captures the heterogeneity in biomass dynamics across diverse ecological settings where nickel mining is located. We also provide the original calculation of biomass loss without accounting for uncertainties, for comparison (Supplementary Figs. S7–S10 and Data S2–S3 under sheet labeled as ‘uncorrected’).
Where:
\({W}_{i,j}\) is the pixel-level weight
\({n}_{j}\) is the number of pixels within land cover class j.
\({{Mean}}_{i,j}\) is the mean biomass value for the ith pixel within the land cover class j.
m is total number of land cover classes within the mining polygon,\({W}_{j}\) is the land cover-level weights, \({{Mean}}_{{weighted},j}\) is the Weighted Pixel-Level Mean.
Data availability
All data are available in the main text or in the supplementary materials.
Change history
29 January 2025
A Correction to this paper has been published: https://doi.org/10.1038/s41467-025-56465-x
References
Arora, P. COP28: ambitions, realities, and future. Environ. Sustain. 7, 107–113 (2024).
United Nations Environment Programme. “Emissions Gap Report 2021: The Heat is On – A World of Climate Promises Not Yet Delivered.” https://www.unep.org/resources/emissions-gap-report-2021 (2021).
International Energy Agency. “The Role of Critical Minerals in Clean Energy Transitions.” https://www.iea.org/reports/the-role-of-critical-minerals-in-clean-energy-transitions (2022).
Azadi, M., Northey, S. A., Ali, S. H. & Edraki, M. Transparency on greenhouse gas emissions from mining to enable climate change mitigation. Nat. Geosci. 13, 100–104 (2020).
Sonter, L. J. et al. Mining drives extensive deforestation in the Brazilian Amazon. Nat. Commun. 8, 1013 (2017).
Csillik, O. & Asner, G. P. Aboveground carbon emissions from gold mining in the Peruvian Amazon. Environ. Res. Lett. 15, 014006 (2020).
Ranjan, R. Assessing the impact of mining on deforestation in India. Resour. Policy 60, 23–35 (2019).
United Nations Environment Programme. “Sustainability Reporting in the Mining Sector: Current Status and Future Trends.” https://www.unep.org/resources/report/sustainability-reporting-mining-sector (2020).
Hund, K., Porta, D. L., Fabregas, T. P., Laing, T. & Drexhage, J. “Minerals for Climate Action: The Mineral Intensity of the Clean Energy Transition.” https://pubdocs.worldbank.org/en/961711588875536384/Minerals-for-Climate-Action-The-Mineral-Intensity-of-the-Clean-Energy-Transition.pdf (World Bank Group, Washington, DC, 2020).
Reck, B. K., Müller, D. B., Rostkowski, K. & Graedel, T. E. Anthropogenic nickel cycle: insights into use, trade, and recycling. Environ. Sci. Technol. 42, 3394–3400 (2008).
International Energy Agency. “Global Critical Minerals Outlook 2024.” https://www.iea.org/reports/global-critical-minerals-outlook-2024 (2024).
Henckens, M. L. C. M. & Worrell, E. Reviewing the availability of copper and nickel for future generations. The balance between production growth, sustainability and recycling rates. J. Clean. Prod. 264, 121460 (2020).
Mudd, G. M. & Jowitt, S. M. A detailed assessment of global nickel resource trends and endowments. Econ. Geol. 109, 1813–1841 (2014).
Mudd, G. M. & Jowitt, S. M. The new century for nickel resources, reserves, and mining: reassessing the sustainability of the Devil’s metal. Econ. Geol. https://doi.org/10.5382/econgeo.4950 (2022).
Butt, C. R. M. & Cluzel, D. Nickel laterite ore deposits: weathered serpentinites. Elements 9, 123–128 (2013).
Mudd, G. M. Global trends and environmental issues in nickel mining: sulfides versus laterites. Ore Geol. Rev. 38, 9–26 (2010).
Anderson, J., Lu, Y. & Masson, O. “Nickel: Tsingshan to disrupt the nickel market again?” Roskill Industry News. https://roskill.com/news/nickel-tsingshan-to-disrupt-the-nickel-market-again/ (2021).
Tritto, A. “How Indonesia Used Chinese Industrial Investments to Turn Nickel into the New Gold.” https://policycommons.net/artifacts/3535290/how-indonesia-used-chinese-industrial-investments-to-turn-nickel-into-the-new-gold/4336593/. (CEIP: Carnegie Endowment for International Peace, USA, 2023).
Heijlen, W. & Duhayon, C. An empirical estimate of the land footprint of nickel from laterite mining in Indonesia. Extr. Ind. Soc. 17, 101421 (2024).
Spawn, S. A., Sullivan, C. C., Lark, T. J. & Gibbs, H. K. Harmonized global maps of above and belowground biomass carbon density in the year 2010. Sci. Data 7, 112 (2020).
Nakajima, K. et al. Global land-use change hidden behind nickel consumption. Sci. Total Environ. 586, 730–737 (2017).
Nickel Institute. “Life Cycle Assessment of Nickel Products” (2000).
Classen, M. et al. “Life Cycle Inventories of Metals” (Ecoinvent Centre, 2009).
Tang, L., Nakajima, K., Murakami, S., Itsubo, N. & Matsuda, T. Estimating land transformation area caused by nickel mining considering regional variation. Int. J. Life Cycle Assess. 21, 51–59 (2016).
Paulikas, D., Katona, S., Ilves, E. & Ali, S. H. Life cycle climate change impacts of producing battery metals from land ores versus deep-sea polymetallic nodules. J. Clean. Prod. 275, 123822 (2020).
Norgate, T. & Jahanshahi, S. Assessing the energy and greenhouse gas footprints of nickel laterite processing. Min. Eng. 24, 698–707 (2011).
Iwatsuki, Y., Nakajima, K., Yamano, H., Otsuki, A. & Murakami, S. Variation and changes in land-use intensities behind nickel mining: coupling operational and satellite data. Resour. Conserv. Recycl. 134, 361–366 (2018).
Houghton, R. A. & Castanho, A. Annual emissions of carbon from land use, land-use change, and forestry from 1850 to 2020. Earth Syst. Sci. Data 15, 2025–2054 (2023).
International Council on Mining and Metals. “Scope 3 Emissions Accounting and Reporting Guidance.” https://www.icmm.com/en-gb/guidance/environmental-stewardship/2023/scope-3-emissions-accounting-and-reporting (2023).
Greenhouse Gas Protocol. “Land Sector and Removals Guidance.” https://ghgprotocol.org/land-sector-and-removals-guidance (2022).
Smith, P. et al. Agriculture, Forestry and Other Land Use (AFOLU). In: Climate Change 2014: Mitigation of Climate Change. Contribution of Working Group III to the Fifth Assessment Report of the Intergovernmental Panel on Climate Change (eds Edenhofer, O. et al.) (Cambridge University Press, Cambridge, United Kingdom and New York, NY, USA, 2014).
van der Ent, A., Baker, A. J. M., van Balgooy, M. M. J. & Tjoa, A. Ultramafic nickel laterites in Indonesia (Sulawesi, Halmahera): Mining, nickel hyperaccumulators and opportunities for phytomining. J. Geochem. Explor. 128, 72–79 (2013).
Losfeld, G., L’Huillier, L., Fogliani, B., Jaffré, T. & Grison, C. Mining in New Caledonia: environmental stakes and restoration opportunities. Environ. Sci. Pollut. Res. Int. 22, 5592–5607 (2015).
Devenish, K., Desbureaux S., Willcock, S. & Jones, J. P. G. On track to achieve no net loss of forest at Madagascar’s biggest mine. Nat. Sustain. 5, 498–508 (2022).
Noon, M. L. et al. Mapping the irrecoverable carbon in Earth’s ecosystems. Nat. Sustain. 5, 37–46 (2022).
Goldstein, A. et al. Protecting irrecoverable carbon in Earth’s ecosystems. Nat. Clim. Change 10, 287–295 (2020).
Hernandez, R. R. et al. Environmental impacts of utility-scale solar energy. Renew. Sustain. Energy Rev. 29, 766–779 (2014).
Sun, X. Supply chain risks of critical metals: sources, propagation, and responses. Front. Energy Res. 10, 957884 (2022).
Lee, J., Bazilian, M., Sovacool, B. & Greene, S. Responsible or reckless? A critical review of the environmental and climate assessments of mineral supply chains. Environ. Res. Lett. 15, 103009 (2020).
Dudka, S. & Adriano, D. C. Environmental impacts of metal ore mining and processing: a review. J. Environ. Qual. 26, 590–602 (1997).
Northey, S. A., Mudd, G. M., Saarivuori, E., Wessman-Jääskeläinen, H. & Haque, N. Water footprinting and mining: Where are the limitations and opportunities? J. Clean. Prod. 135, 1098–1116 (2016).
Sonter, L. J., Ali, S. H. & Watson, J. E. M. Mining and biodiversity: key issues and research needs in conservation science. Proc. R. Soc. B 285, 20181926 (2018).
Maus, V. & Werner, T. T. Impacts for half of the world’s mining areas are undocumented. Nature 625, 26–29 (2024).
Maus, V. et al. A global-scale data set of mining areas. Sci. Data 7, 289 (2020).
Tost, M. et al. Ecosystem services costs of metal mining and pressures on biomes. Extr. Industries Soc. 7, 79–86 (2020).
Valenta, R. K., Kemp, D., Owen, J. R., Corder, G. D. & Lèbre, É. Re-thinking complex orebodies: consequences for the future world supply of copper. J. Clean. Prod. 220, 816–826 (2019).
Barnes, S. J., Malitch, K. N. & Yudovskaya, M. A. Introduction to a special issue on the Norilsk-Talnakh Ni-Cu-platinum group element deposits. Econ. Geol. 115, 1157–1172 (2020).
Tang, L., Werner, T. T., Heping, X., Jingsong, Y. & Zeming, S. A global-scale spatial assessment and geodatabase of mine areas. Glob. Planet Change 204, 103578 (2021).
Werner, T. T. et al. Global-scale remote sensing of mine areas and analysis of factors explaining their extent. Glob. Environ. Change 60, 102007 (2020).
Tang, L. & Werner, T. T. Global mining footprint mapped from high-resolution satellite imagery. Commun. Earth Environ. 4, 134 (2023).
Acknowledgements
The research was conducted as part of E.M.M.’s M.Sc. dissertation in Carbon Management at The University of Edinburgh. No funding was obtained for this project.
Author information
Authors and Affiliations
Contributions
E.M.M., L.J.S., R.K.V., and J.S.P. conceived the study. E.M.M., L.J.S., R.K.V., J.S.P., G.M.M., and T.T.W. designed the analysis methods while E.M.M., L.J.S., G.M.M., and T.T.W. conducted the analysis. E.M.M. and L.J.S. wrote the original draft, which was reviewed by R.K.V., J.S.P., G.M.M., and T.T.W. I.N. significantly contributed to re-analysis of data, including uncertainty analysis, during the paper revision.
Corresponding author
Ethics declarations
Competing interests
E.M.M. is currently employed by a mining company. However, the company did not provide any funding for the research and was not involved in the research. The remaining authors declare no competing interests.
Peer review
Peer review information
Nature Communications thanks Saeed Rahimpour, Nophea Sasaki, and the other, anonymous, reviewer(s) for their contribution to the peer review of this work. A peer review file is available.
Additional information
Publisher’s note Springer Nature remains neutral with regard to jurisdictional claims in published maps and institutional affiliations.
Supplementary information
Rights and permissions
Open Access This article is licensed under a Creative Commons Attribution-NonCommercial-NoDerivatives 4.0 International License, which permits any non-commercial use, sharing, distribution and reproduction in any medium or format, as long as you give appropriate credit to the original author(s) and the source, provide a link to the Creative Commons licence, and indicate if you modified the licensed material. You do not have permission under this licence to share adapted material derived from this article or parts of it. The images or other third party material in this article are included in the article’s Creative Commons licence, unless indicated otherwise in a credit line to the material. If material is not included in the article’s Creative Commons licence and your intended use is not permitted by statutory regulation or exceeds the permitted use, you will need to obtain permission directly from the copyright holder. To view a copy of this licence, visit http://creativecommons.org/licenses/by-nc-nd/4.0/.
About this article
Cite this article
Mervine, E.M., Valenta, R.K., Paterson, J.S. et al. Biomass carbon emissions from nickel mining have significant implications for climate action. Nat Commun 16, 481 (2025). https://doi.org/10.1038/s41467-024-55703-y
Received:
Accepted:
Published:
Version of record:
DOI: https://doi.org/10.1038/s41467-024-55703-y
This article is cited by
-
A Review of Nickel and Cobalt from Laterite Ores: Toward Sustainable Extraction Pathways for the Battery Industry
Journal of Sustainable Metallurgy (2026)
-
Low-nickel cathode chemistry for sustainable and high-energy lithium-ion batteries
Nature Sustainability (2025)
-
Mines for a clean-energy metal have a surprise climate effect
Nature (2025)
-
Ditching nickel for manganese
Nature Energy (2025)
-
Concurrence of mining and climate change: environmental implications and mitigation strategies
Environmental Geochemistry and Health (2025)






