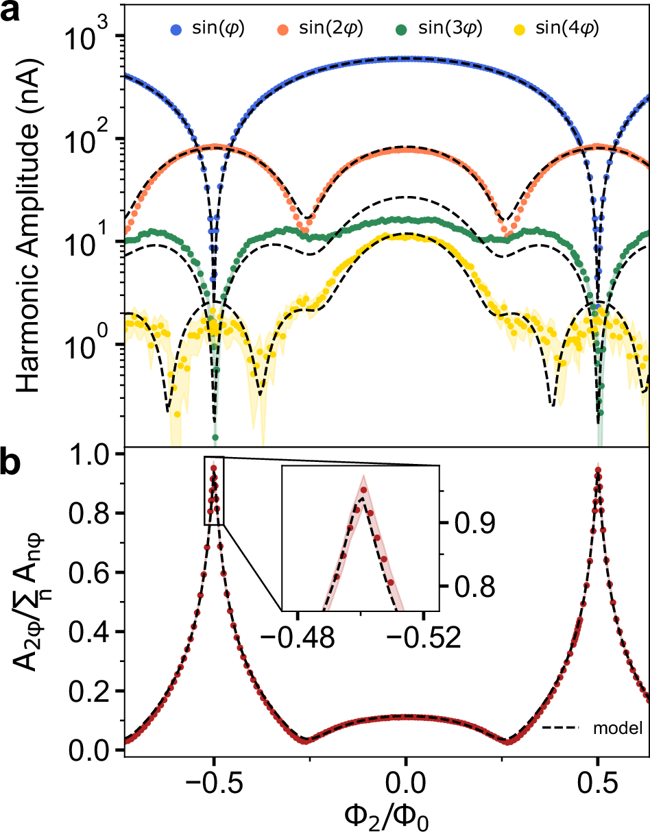
Fig. 3: Flux modulation of the G-SQUID harmonics.
From: Gate- and flux-tunable sin(2φ) Josephson element with planar-Ge junctions

a Amplitudes of the first four harmonics in the G-SQUID CPR as a function of Φ2. The first harmonic vanishes at Φ0/2, while the second one vanishes at Φ0/4. b Flux dependence of \(\sin (2\varphi )\) purity, which is defined as the ratio between the amplitude of the second harmonic, A2φ, and the sum of all four harmonic amplitudes, ΣnAnφ. The \(\sin (2\varphi )\) purity has a sharp maximum at Φ0/2 where it reaches 95.2(2.4)%. Inset: close-up around the maximum. Colored bands in a and b represent the ± σ standard deviation originating from the experimental uncertainty on the CPR data points. Black dashed lines in a and b represent the harmonic amplitudes calculated from our circuit model using the fit parameters from Fig. 2a.