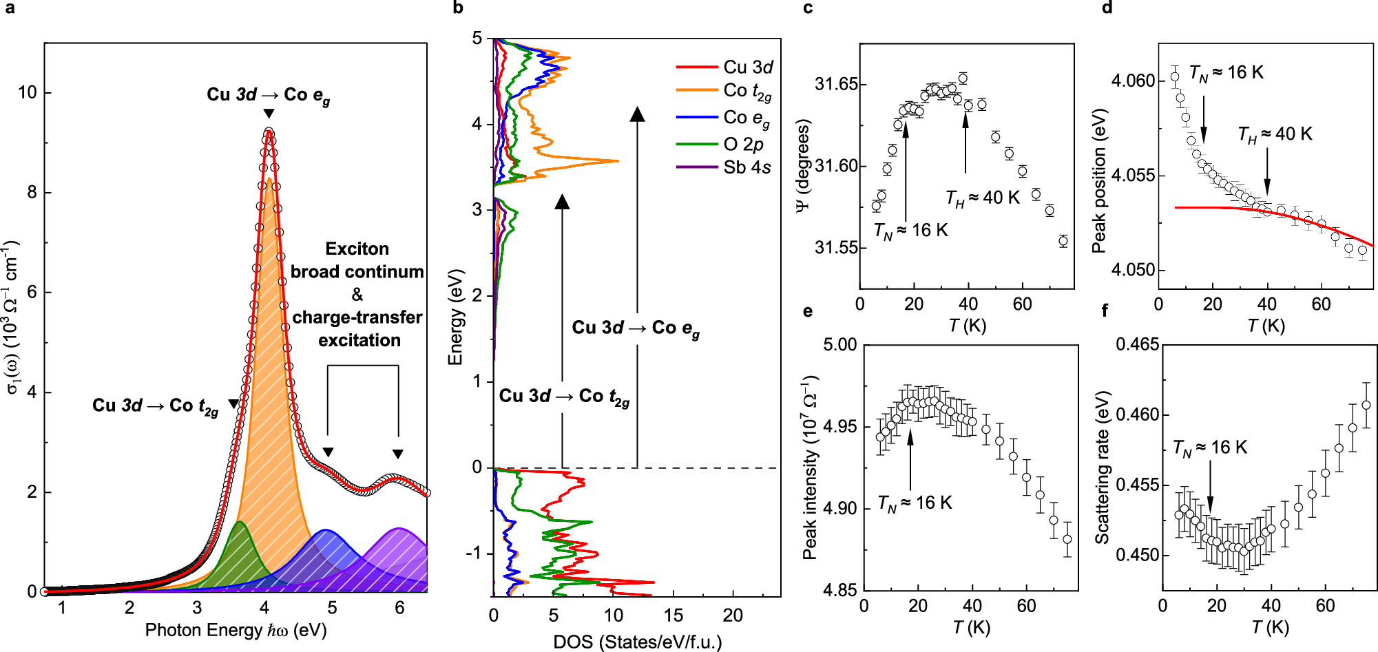
Fig. 3: Optical exciton and spin-exciton coupling in Cu3Co2SbO6.

a σ1(ω) at 6 K with polarization along the bond-perpendicular direction (open circles) and Lorentz-Gaussian oscillator fitting (solid lines) for Cu3Co2SbO6. The peak is assigned based on orbital-projected density of states in Fig. 3b. b the orbital-projected density of state of bond-perpendicular oriented zigzag ordering Cu3Co2SbO6 obtained from DFT + U. The horizontal dashed line is Fermi level. The solid arrows indicate the optical transition from Cu 3 d to Co 3 d (shown in Fig. 3a). The T-dependent c, the ellipsometry data Ψ d, exciton peak position, e peak intensity, and f scattering rate. The error bars in c correspond to standard deviations derived from random noise, while error bars in d, e and f represent the figure of merit, calculated as the standard 90% confidence limit multiplied by square root of the mean-squared error. The red line in Fig. 3d is Bose-Einstein statistics fitting functions implemented at high T data, generically found in spectra due to phonon contribution of thermal broadening. The black arrows indicate the TN and TH. The distinct kink below TN in all fitting parameters implies the existence of coupling between the exciton and antiferromagnetic ordering. The clear additional anomaly in Ψ and peak position at TH indicates the presence of non-zero short-range spin-spin correlation functions above TN.