Abstract
Two-dimensional honeycomb antiferromagnets are promising materials class for realizing Kitaev quantum spin liquids. The signature of these materials includes anisotropic bond-dependent magnetic responses and persistent fluctuations in paramagnetic regime. Here, we propose Cu3Co2SbO6 heterostructures as an intriguing candidate, wherein bond-dependent and frustrated spins interact with optical excitons. First-principles spin Hamiltonian calculations and in-plane anisotropic critical fields suggest strong frustration and dominant Kitaev exchange interactions. Optical spectroscopy reveals exciton coupled to frustrated magnetism, enabling optical detection of spin states. Spin-exciton coupling displays anisotropic responses to light polarization along the bond-parallel and the bond-perpendicular directions, highlighting Kitaev interactions and persistent short-range spin correlations above twice the Néel temperatures. The robustness of short-range spin fluctuations under magnetic fields underscores the stability of the spin-fluctuation region. Our results establish Cu3Co2SbO6 as an attractive candidate for exploring quantum spin liquid, where the spin Hamiltonian and quasiparticle excitations can be probed and potentially controlled by light.
Similar content being viewed by others
Introduction
While at least 16,300 materials have been discovered/proposed as magnetic1, fewer than 10 materials have been suggested as potential candidates for Kitaev quantum spin liquid (QSL)2,3. Kitaev QSL represents a rare, exactly solvable ground state of the Kitaev two-dimensional honeycomb model4, characterized by massive quantum entanglement maintained without long-range order even at zero-temperature. Their excitations are described by fractionalized Majorana fermions and non-Abelian anyons, providing a promising avenue for achieving fault-tolerant quantum computation through the non-Abelian braiding process5. However, despite their intriguing properties, the realization of Kitaev QSL remains extremely challenging. This exotic model can be implemented in edge-shared octahedral systems with strong spin-orbit coupling6. Therefore, 4 d/5 d transition metal systems, such as α-RuCl37,8,9,10 and Na2IrO311,12,13, are suggested as possible hosts for Kitaev QSL. Despite the emergence of long-range antiferromagnetic ordering at low temperature (T), these candidate materials still exhibit signatures indicative of proximity to Kitaev QSL. These signs include half-integer thermal Hall10, broad continuum in inelastic neturon8 and Raman scattering14, anisotropic bond-dependent responses15 and high-T spin fluctuations16.
Recent proposals have highlighted high-spin 3d7 cobalt-based honeycomb materials as potential candidates for Kitaev QSL17,18,19,20,21. These suggestions are based on the ground state characterized by the effective total angular momentum Jeff = 1/2, which comprising the effective orbital momentum L = 1 and total spin momentum S = 3/2 of high-spin 3d7 electronic configuration. This ground state occurs despite its relatively smaller spin-orbit coupling compared to 4 d/5 d transition metal oxides. Furthermore, the localized nature of Co 3 d orbitals might suppress undesired next-nearest neighbor and direct exchange interactions. Various experimental and theoretical studies have provided mixed conclusions on the feasibility of Kitaev QSL in these 3d7 cobalt-based honeycomb systems. For instance, the antiferromagnetic 1/3 order, the Γ-M characteristics of the magnetic ordering wave vectors, and in-plane anisotropy in critical magnetic field of Na3Co2SbO6 are well described as a bond-dependent Kitaev Hamiltonian with a positive off-diagonal term Γ115,22,23. Using time-domain terahertz spectroscopy on BaCo2(AsO4)2, a broad magnetic continuum, a signature of fractionalization, has been observed24. Recent theoretical and experimental investigations, however, suggest that Co-Co direct hopping is too substantial to ignore, particularly in BaCo2(AsO4)225, leading to an isotropic XXZ-J1-J3 model, not Kitaev model15. Therefore, appropriate spin Hamiltonian for cobalt-based honeycomb antiferromagnet is remain elusive (Fig. 1a).
a Layered crystal structures of Cu3Co2SbO6 with alternative Cu+ and (Co2/3Sb1/3)O2- layers. (Left), The possible dominant magnetic spin exchange interaction of (Co2/3Sb1/3)O2- layers has two-dimensional honeycomb structures. The blue circles indicate the cobalt atom. The blue, red, and green solid lines are anisotropic Kitaev spin exchange interactions along each direction. The black and sky arrows show the nearest and third-nearest neighbor isotropic Heisenberg spin exchange interaction, respectively. (Right), The schematic of exciton formation of Cu3Co2SbO6. Within incident light, there is formation of excitons between Cu+ and (Co2/3Sb1/3)O2- layers, which interact with the spin exchange interaction shown in left panel. b Suggested magnetic phase diagram of Cu3Co2SbO6 with H along the bond-parallel direction (PM: paramagnetic region, AFM antiferromagnetic region, SP spin-polarized region). The TN and TH is obtained from the χ(T) measurement and optical spectroscopy, respectively. Unconventional spin fluctuating regime was observed between low-T AFM and high-T PM phases.
Despite being scarcely studied, Cu3Co2SbO6 can be an intriguing material system to investigate spin Hamiltonian and frustration in Co-based honeycomb oxides. Cu3Co2SbO6 features an alternatively stacked structure comprising a Cu+ layer and a (Co2/3Sb1/3O2)- layer, characterized by honeycomb edge-sharing CoO6 octahedra (Fig. 1a and Supplementary Fig. 1). The O-Cu-O dumbbell structure aligns Co/Sb atoms directly above those in subsequent layers, effectively eliminating the unwanted two-fold anisotropy26. While this compound exhibits zigzag ordering at 16 K, the magnetic entropy releases occur twice, at 16 K and 60 K, with approximately half of the total entropy released around 40 K27. The heat capacity between these two releases is linearly related to T, similar to experimental observation in other Kitaev QSL candidate α-RuCl3 and theoretical calculation28,29. However, the presence of inevitable magnetic impurities in bulk samples has constrained further studies on its magnetic properties and relevance to Kitaev physics27.
Here, we propose Cu3Co2SbO6 heterostructures as intriguing frustrated magnet wherein there’s an interplay between bond-dependent/frustrated spins and optical excitons. From the ab initio calculation, we find strong magnetic frustration with dominant Kitaev spin interaction. Although single-phase Cu3Co2SbO6 does not exist in nature27, we achieved its synthesis through heterostructure epitaxy on both ZnO and MgAl2O4 substrates. A pronounced in-plane anisotropy in critical magnetic fields, HC, between bond-parallel and bond-perpendicular directions was observed, consistent with the presence of anisotropic Kitaev term15. A distinctive characteristic of Cu3Co2SbO6 compared to other Kitaev systems is the formation of excitons between Cu+ and (Co2/3Sb1/3O2)- layers and their strong interaction with quasi-2D frustrated magnetism (Fig. 1a). Through optical spectroscopy, we identified a strong exciton near 4 eV, exhibiting peculiar spin-exciton coupling. We observed a clear anomaly not only at Néel temperature TN ≈ 16 K, but also an additional temperature at TH ≈ 40 K in the raw ellipsometry parameters, spectral weight (SW), and peak position of the excitonic peak. The occurrence of TH, which is indicative of non-zero short-range spin-spin correlation functions far above the TN, implies the presence of strong frustrated exchange interactions, a key ingredient of QSL. Additionally, the SW transfer shows noticeable anisotropy between light polarization along the bond-parallel and the bond-perpendicular directions, indicating considerable anisotropic Kitaev exchange interaction. The TH showed little magnetic field (H) dependence, underscoring the robustness of the spin fluctuation region. Based on H-dependent χ and optical spectroscopy, we constructed a T-H phase diagram (Fig. 1b), which highlights the presence of unconventional spin fluctuation regime between antiferromagnetic and conventional paramagnetic phases.
Results
First-principles calculation for spin Hamiltonian of Cu3Co2SbO6
First-principles calculations demonstrated that Cu3Co2SbO6 retains a leading ferromagnetic Kitaev term and moderate non-Kitaev terms, which leads to substantial magnetic frustration. The spin Hamiltonian was computed by leveraging a recently developed fourth-order strong coupling perturbation theory25. Details on the tight-binding parameters can be found in the supplementary information (Supplementary note 1). We found that the spin Hamiltonian of this compound has a leading ferromagnetic Kitaev interaction (K = −2.207 meV), antiferromagnetic third-neighbor nearest Heisenberg interaction (J3 = 1.664 meV), ferromagnetic nearest-neighbor Heisenberg interaction (J1 = −1.040 meV), and additional symmetric anisotropy interaction terms (Г = −0.243 meV) in the order of energy (Fig. 1a and Table 1). As both Kitaev and J3 exchange interaction induce magnetic frustration with J1, our first-principles calculations suggest that Cu3Co2SbO6 is a frustrated magnet.
Synthesis of single-crystalline, epitaxial Cu3Co2SbO6 thin film
We successfully synthesized single-phase Cu3Co2SbO6, which does not naturally exist, via epitaxy on ZnO and MgAl2O4 substrates. During the synthesis of bulk samples, substantial magnetic impurities (Co,Sb)3O4 were inevitably formed due to the similarity between ordered stacking temperature (1250 °C) and decomposition temperature (1260 °C). This has hindered the understanding of intrinsic properties of Cu3Co2SbO627,30. However, in thin film geometry, the epitaxial relationship with the substrate and its energetic synthesis mechanism can result in different consequences from bulk synthesis31. Single-phase, epitaxial Cu3Co2SbO6 film was confirmed by X-ray diffraction, χ(T), and transmission electron microscopy (Supplementary Fig. 2–4). Notably, χ(T) of bulk Cu3Co2SbO6 shows a strong ferromagnetic transition near 60 K due to the presence of Co5SbO8 impurities27. In contrast, our χ(T) of the Cu3Co2SbO6 thin film exclusively exhibits an antiferromagnetic transition near 16 K, a distinctive signature of the formation of single-phase Cu3Co2SbO6. We have confirmed that all physical properties of fully relaxed Cu3Co2SbO6 are independent of the substrate (Supplementary Fig. 2, 4, 5).
Anisotropic H C between bond-parallel and bond-perpendicular directions in Cu3Co2SbO6
For a deeper understanding of the magnetic ground state of Cu3Co2SbO6, we analyzed the magnetic anisotropy of its thin films. Despite the presence of six-fold twin domains in the thin film, the bond-parallel and bond-perpendicular directions can be uniquely determined. We show magnetic susceptibility of Cu3Co2SbO6 film on ZnO substrate with H parallel to the bond (χbond//), perpendicular to the bond (χbond⊥), and perpendicular to the ab plane (χc), as displayed in Fig. 2a–c and Supplementary Fig. 6. Clear sharp kinks were evident in χbond//(T) and χbond⊥(T) near 16 K, while the change in χc(T) was relatively weaker and broader, indicating a dominant spin direction in the ab plane. As H increased, the kinks in χbond//(T) and χbond⊥(T) shifted to lower T and became less discernible, whereas the ones in χc(T) remained robust even at the highest H. Figure 2d–f show contour graphs of dχ/dT across different H and T for the vertical and horizontal axis, respectively. These graphs visualize the paramagnetic (blue region) and antiferromagnetic (red region) phases. While in-plane H significantly reduces the TN, the out-of-plane H hardly affects the magnetic properties. Similar observations have been frequently reported in quasi-2D magnets24,32,33.
χ(T) of Cu3Co2SbO6 under different orientations of applied H along a the bond-parallel direction, b the bond-perpendicular direction, and c, perpendicular to honeycomb planes. Full datasets are listed in Supplementary Fig. 6. The T and H dependent contour plot of derivative susceptibility, dχ/dT, along d the bond-parallel direction, e the bond-perpendicular direction, and f, perpendicular to honeycomb planes. The antiferromagnetic and paramagnetic regions are indicated by red and blue areas, respectively. g An overlapped graph of χbond//(T) and χbond⊥(T) presenting in-plane magnetic anisotropy under various H. h M-H and dM/dH curves with H along the bond-parallel and bond-perpendicular directions. Open and closed triangles (circles) indicate the bond-parallel and bond-perpendicular directions M-H (dM/dH) curves, respectively. The error bar is smaller than the size of point. The vertical dashed lines indicate the HC for bond-parallel and bond perpendicular directions. These results support the presence of considerable anisotropic Kitaev term.
In our study, we not only identified a considerable anisotropy between the in-plane and out-of-plane responses but also observed a distinct anisotropy in HC between the bond-parallel and bond-perpendicular directions. To clarify the difference between the bond-parallel and bond-perpendicular directions, we plotted χbond//(T) and χbond⊥(T) together as shown in Fig. 2g. At lower field H = 10 kOe, χbond//(T) and χbond⊥(T) overlapped almost perfectly. However, as we increased the H, χbond//(T) and χbond⊥(T) began to deviate from each other. The upturn in low T for χbond//(T) is more evident than in χbond⊥(T), suggesting the antiferromagnetic state is more fragile to H in the bond-parallel direction. Figure 2h displays the M-H and dM/dH curves for both directions at 2 K. The peak structures in dM/dH typically indicate the spin-flip transition. The HC are approximately 45 ± 2.5 kOe and 60 ± 2.5 kOe for the bond-parallel and bond-perpendicular directions, respectively, further corroborating that the antiferromagnetic state is more vulnerable in the bond-parallel direction. This is consistent with the suggested zigzag antiferromagnetic ordering in bulk, where spins align along the bond-perpendicular direction32.
The observed in-plane anisotropic HC below TN confirms the presence of considerable anisotropic Kitaev spin exchange interaction, consistent with theoretical calculation. The appropriate spin Hamiltonian for high-spin 3d7 cobalt-based materials —whether it is the XXZ-J1-J3 or Generalized Heisenberg-Kitaev (GHK) model—remains a subject of ongoing debate. A key distinction between these two models is the presence of in-plane magnetic anisotropy of HC15. Specifically, the GHK model has different HC between bond-parallel and bond-perpendicular directions in the ab plane, while the XXZ-J1-J3 model retains full rotational symmetry, despite a slight orthorhombic distortion. For instance, in α-RuCl3, the HC differs between bond-parallel and bond-perpendicular direction34. Conversely, the XXZ-J1-J3 model, applied to BaCo2(AsO4)2, exhibits negligible in-plane anisotropy in its HC for field-induced transitions15. The evident in-plane anisotropic HC of Cu3Co2SbO6 coincides with the theoretical result which exhibits predominant Kitaev spin exchange interactions (Table 1).
Coupling between exciton and frustrated spin in two-dimensional honeycomb layer of Cu3Co2SbO6
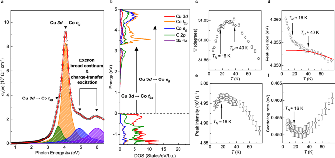
A unique feature of the antiferromagnetism observed in Cu3Co2SbO6, distinguishing it from other Co-based honeycomb systems, is its strong interaction with excitons. Figure 3a displays the real part of the optical conductivity, σ1(ω), of a Cu3Co2SbO6 film on MgAl2O4 substrate at 6 K obtained through ellipsometry. Within this energy range, we distinguished four major optical excitations; notably, one near 4 eV exhibits anomalously high intensity, indicative of excitonic transition. To analyze these optical transitions, we conducted band structure calculations by employing density functional theory plus on-site Coulomb interactions (DFT + U). Figure 3b displays the orbital-projected density of states of Cu3Co2SbO6, where the first two peaks are identified as Cu 3 d → Co 3 d t2g, and Cu 3 d → Co 3 d eg, respectively, while other peaks at higher energy correspond to charge-transfer excitations from O 2p states. Note that transitions from Cu 3 d to Sb 4 s are optically forbidden due to their hybridization with orthogonal O 2p orbitals (Supplementary Fig. 7–9). The considerable intensity difference between Cu 3 d → Co 3 d t2g transitions and Cu 3 d → Co 3 d eg transitions can be attributed to the smaller orbital overlap between Cu 3 d and Co t2g orbitals compared to that between Cu 3 d and Co eg orbitals (Supplementary Note 2). Therefore, the most intense transition can be assigned to the Cu 3 d → Co 3 d eg exciton.
a σ1(ω) at 6 K with polarization along the bond-perpendicular direction (open circles) and Lorentz-Gaussian oscillator fitting (solid lines) for Cu3Co2SbO6. The peak is assigned based on orbital-projected density of states in Fig. 3b. b the orbital-projected density of state of bond-perpendicular oriented zigzag ordering Cu3Co2SbO6 obtained from DFT + U. The horizontal dashed line is Fermi level. The solid arrows indicate the optical transition from Cu 3 d to Co 3 d (shown in Fig. 3a). The T-dependent c, the ellipsometry data Ψ d, exciton peak position, e peak intensity, and f scattering rate. The error bars in c correspond to standard deviations derived from random noise, while error bars in d, e and f represent the figure of merit, calculated as the standard 90% confidence limit multiplied by square root of the mean-squared error. The red line in Fig. 3d is Bose-Einstein statistics fitting functions implemented at high T data, generically found in spectra due to phonon contribution of thermal broadening. The black arrows indicate the TN and TH. The distinct kink below TN in all fitting parameters implies the existence of coupling between the exciton and antiferromagnetic ordering. The clear additional anomaly in Ψ and peak position at TH indicates the presence of non-zero short-range spin-spin correlation functions above TN.
The T-dependence of the excitonic transition reveals an unconventional spin-exciton coupling, manifested not only through TN but also additionally through TH ~ 40 K. Figure 3c exhibits the raw ellipsometry parameters, Ψ, which represents the amplitude ratio between reflected p- and s- polarized light as a function of T at exciton peak. Here, s- polarized light is perpendicular with Co-Co bond direction. Naively speaking, it reflects the T-dependent absorption coefficient at the exciton energy (Supplementary Fig. 10). Without employing any model fitting, we identified two discernible features: a kink around TN ~ 16 K and an additional anomaly near TH ~ 40 K, which is more than twice of TN. This unconventional kink implies a robust spin-exciton coupling that remains even above TN. For a quantitative analysis, we conducted a simultaneous fitting of σ1(ω) and ε1(ω) using Lorentz-Gaussian oscillator models (Fig. 3a and Supplementary Fig. 11). Figure 3d-f display the peak position, peak intensity, and scattering rate of the excitonic transition as a function of T, respectively. All these fitting parameters show clear anomaly at TN through the spin-exciton coupling. In particular, the peak’s blueshift begins around TH, not TN, consistent with the observed T-dependence in Ψ.
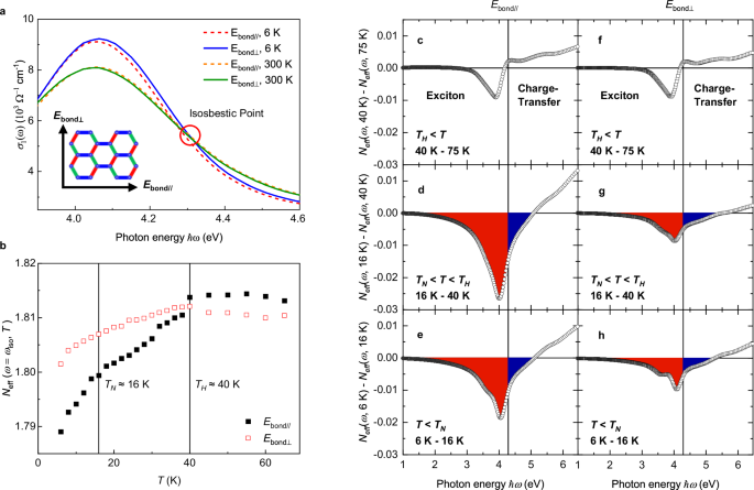
The origin of TH can be understood from the SW redistribution between exitonic transitions at lower energy and charge-transfer transitions at higher energy. Figure 4a exhibits the polarization-dependent σ1(ω), s-polarized light along the bond-parallel (Ebond//) and bond-perpendicular directions (Ebond⊥), of Cu3Co2SbO6 at 6 and 300 K, featuring a clear isosbestic point (equal absorption) ℏωiso near 4.3 eV (marked by a red open circle). The integration of σ1(ω) up to this point reflects the effective number of electrons contributing to excitonic transitions, expressed as Neff (ω=ωiso, T) = 2m0V/πe2\({\int }_{0}^{\omega } {\sigma }_{1}(\omega ^{\prime} ){{\rm{d}}}\omega ^{\prime}\), where m0, V, and e represent the free electron mass, the unit cell volume, and the electron charge, respectively. Figure 4b shows Neff (ω=ωiso, T), which exhibits two notable anomalies at TN and TH regardless of polarization orientation, consistent with T-dependent Ψ and peak energy. A decrease of Neff (ω=ωiso, T) indicates a transfer of SW from lower-energy excitonic transitions to higher-energy charge-transfer transitions. Figure 4c, d, and e display the bond-parallel direction Neff (ω, 40 K) - Neff (ω, 75 K), Neff (ω, 16 K) - Neff (ω, 40 K), and Neff (ω, 6 K) - Neff (ω, 16 K), which represent T-evolution of SW transfer above TH, between TH and TN, and below TN, respectively. Above TH, there is no SW transfer across the isosbestic point, suggesting the preservation of excitonic SW. In contrast, SW shifts from lower (red regime) to higher energies (blue regime) below both TH and TN. Remarkably, the overall shape of SW transfer below TN and TH is almost identical, strongly suggesting that the origin of TH is also magnetic.
a The σ1(ω) of Cu3Co2SbO6 at 6 K and room temperature. The red circle indicates the isosbestic point. Solid and dotted lines are σ1(ω) along the bond-perpendicular (Ebond⊥) and the bond-parallel directions (Ebond//), respectively. The inset visualizes the relationship between the polarization and bond directions of Cu3Co2SbO6. b T-dependence of effective number of electrons accord with excitonic transition, Neff (ω=ωiso, T) = 2m0V/πe2\({\int }_{0}^{{\omega }_{{iso}}} {\sigma }_{1}(\omega ^{\prime} ){{\rm{d}}}\omega ^{\prime}\). The vertical lines display both characteristic temperature TN and TH. Black closed squares and red open squares indicate the bond-parallel and bond-perpendicular polarizations, respectively. The difference effective number of electrons along each direction between three different temperature range c, f above TH (40 K–75 K), d, g between TN and TH (16 K–40 K), and e, h below TN (6 K–16 K). Red and blue contours, divided by the isosbestic point, represent SW transfer before and after the isosbestic point, suggesting that the origin of TH is linked to the magnetic structure. The quantitative differences between the bond-parallel and bond-perpendicular directions indicate a considerable anisotropic Kitaev spin exchange interaction.
An anomaly in the optical exciton observed at TH suggests the presence of non-zero short-range spin-spin correlation functions driven by spin fluctuations, indicating strong frustration. Various research on optical transitions in Mott and charge-transfer insulators have demonstrated that spin Hamiltonians described by nearest-neighbor spin-spin correlations along the polarization direction led to SW redistribution and renormalization of excitation energy35,36,37,38.
Here, \(\gamma\) denotes the polarization direction, m is the excited state, \({a}_{0}\) is the distance between two magnetic ions, and \(\left\langle {H}_{m}^{\gamma }\right\rangle\) represents the superexchange energy of the m-state transition under \(\gamma\)-polarization36. Owing to bilinear nature of spin Hamiltonian, such SW and energy renormalization is generally proportional to |Msublattice | 2 under the mean field approximation39, where Msublattice represents magnetization of magnetic sublattices. A comprehensive explanation on the observed SW transfer and peak shift below TN, therefore, can be provided with increasing Msublattice with decreasing T. However, the observed SW transfer and peak shift between TN and TH is intriguing and beyond the mean field regime, especially given that Msublattice being zero above TN. These can be attributed to the non-zero short-range spin-spin correlation functions due to spin-fluctuations. Such non-zero short-range spin-spin correlation functions above TN have been extensively observed in frustrated system and are considered indicative of frustration and quantum fluctuation7,28,40,41,42,43.
The presence of non-zero short-range spin-spin correlations above TN and the appearance of TH suggest considerable magnetic frustration. In a frustrated system, since the spin configuration of ground-state fails to meet all spin exchange demands, long-range order tends to manifest at temperatures substantially below the energy scale of these interactions. As a result, persistent energy gain from the spin exchange interactions supports the formation of short-range spin structure even above the ordering temperature. Although thermal energy at T between TN and TH is too elevated to establish long-range magnetic order, it is not sufficient to overcome the energy benefits provided by frustrated spin interaction.
In addition to the qualitative changes in SW, there is a quantitative difference in SW redistribution depending on the direction of polarization, further supporting the presence of a sizable anisotropic Kitaev spin Hamiltonian. When comparing Fig. 4c (for the bond-parallel direction) and Fig. 4f (for the bond-perpendicular direction), it is evident that the SW transfer is nearly identical for both directions above TH. In contrast, a much more pronounced SW redistribution occurs in the bond-parallel direction below TH and TN (as shown in Figs. 4d, e, g, and h). This quantitative divergence reflects a difference in the strength of the superexchange interactions along the bond-parallel and bond-perpendicular directions, as described by Eq. (1). Based on our superexchange model for Cu3Co2SbO6 (Table 1), the dominant energy terms are K, J3, and J1, when arranged in order of magnitude. Since the two isotropic Heisenberg interactions, J1 and J3, cannot produce in-plane anisotropy, the observed anisotropic SW transfer between bond-parallel and bond-perpendicular directions clearly indicates the presence of anisotropic Kitaev spin exchange. Furthermore, the fact that this anisotropy appears at TH, rather than TN, suggests that the Kitaev term is comparable in magnitude to other spin exchange interactions.
Magneto-optic experiment and robustness of spin fluctuating region under magnetic field in Cu3Co2SbO6
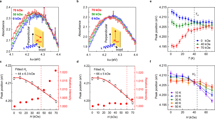
The observed spin-exciton coupling is further supported by peak shift and enhanced spectral-weight under H which suppress the antiferromagnetic ordering. Figure 5a, b and S12 represent the absorbance spectrum with various H for each direction at 1.6 K. In the absorbance spectrum, we observed a sharp peak near 4.2 eV, which is consistent with σ1(ω) shown in Fig. 3a. The slight discrepancy in peak energy between σ1(ω) and absorbance spectrum can be attributed to the variations in experimental method (Supplementary Fig. 13). To offer a quantitative understanding of the changes in absorption with respect to H, we fitted the absorption spectrum using three Lorentzian functions (Supplementary Fig. 14). Figures 5c, d indicate the peak energy and integrated intensity between two isosbestic point (Supplementary Fig. 14) for each H direction. Increasing H induces a distinct redshift in peak energy and increases the intensity both in bond-parallel and bond-perpendicular directions. Given that in-plane H suppresses the antiferromagnetic order, the peak energy and the intensity evolve in the opposite direction of lowering T. Conversely, out-of-plane H (Supplementary Fig. 12) leaves both the peak position and intensity unchanged. This observation corroborates the robust antiferromagnetism in that axis, as shown Fig. 2c.
The absorbance of Cu3Co2SbO6 under various applied H along a the bond-parallel direction and b the bond-perpendicular direction. Red and blue arrows represent the direction of applied H and incident light, respectively. Full datasets are listed in Supplementary Fig. 12 The redshift of absorbance in in-plane H is attributed to the suppression of antiferromagnetic ordering. The exciton peak position and intensity as a function of H c, along the bond-parallel direction and d along the bond-perpendicular direction. The black open circles, red closed circles, red solid lines, and red dashed vertical lines indicate the peak position, intensity, fitting function for the peak position, and critical magnetic field obtained from M-H curve respectively. The fitting function provides the critical HC, consistent with observed spin-flip transition. eT-dependent exciton peak position under different H. The different trends of 0 kOe, 40 kOe, and 70 kOe data reflect the antiferromagnetic, intermediate, and ferromagnetic phase, respectively. While the sign of spin-spin correlation function has changed with applied H, the peak shift emerges around similar TH in both H = 0 and 70 kOe cases. f H-dependent exciton peak position under various T. The peak shift at 10 K, where antiferromagnetic ordering remains, shows a similar behavior at 2 K. Despite the disappearance of antiferromagnetic ordering at 20 K and 30 K, the persistent peak shift suggests finite spin-spin correlation functions. The disappearance of the peak shift at 40 K, again consistent with T-dependent peak shift in Fig. 3d. The error bars in c, d, e and f correspond to standard error obtained from Lorentz fitting of absorbance spectra.
The observed peak energy and intensity of the excitonic transition under H also show bond-dependent anisotropy, consistent with different spin-flip transitions. The intensity of the peak, for example, begins to show an abrupt increase above 40 kOe (60 kOe) with H along the bond-parallel (bond-perpendicular) direction. These fields are close to the observed spin-flip transition fields (dashed lines) in Fig. 2h. In terms of the peak position, we expect it will be proportional to the number of spins that flip to the ferromagnetic configuration throughout the linear Zeeman term for the classical antiferromagnetic ordered state at sufficiently low T. Since even in the presence of frustrated magnetic exchanges, the occurrence of magnetic ordering allows us to consider the spins classically. The flipping of a single spin can be described as the creation of spin-1 boson. Therefore, the phenomenological equation for peak energy can be expressed as follows.
where ΔE(H), HC, and A are the redshift of the peak, the H required for spin-flip transition, and a constant, respectively. The solid lines in Figs. 5c, d represent the best fitting results with H along bond-parallel and bond-perpendicular directions, respectively. Note that HC is found to be 44 ± 6.7 kOe (66 ± 5.0 kOe) along the bond-parallel (bond-perpendicular) direction, providing excellent coincidence with the H for the spin-flip transition observed in Fig. 2h (45 ± 2.5 kOe and 60 ± 2.5 kOe). These results clarify a strong coupling between antiferromagnetism and exciton, establishing Cu3Co2SbO6 as a unique platform for the investigation and potential manipulation of quantum magnetism via light.
We found that TH remains unchanged under H, implying the robustness of the spin-fluctuation region. Figure 5e shows the T-dependent peak position obtained through absorbance under varying H. To discern the contrast in peak shifts on either side of HC, we focus on bond-parallel directional case, which has a relatively lower HC. Without an applied H, both the absorbance and σ1(ω) reveal a similar redshift trend. This trend, however, reverses with H of 70 kOe, suggesting a phase transition to a spin-polarized (SP) state and the sign change of the spin-spin correlation function. In both cases, the peak position begins to change around 30 ~ 40 K, emphasizing the robustness of TH. The peak position becomes T-independent with applied H of 40 kOe, close to the spin-flip field HC, representing a balance of antiferromagnetic and ferromagnetic spin-spin correlation functions. Figure 5f illustrates H-dependence of absorbance peak at a various T. At 10 K, given the persistence of antiferromagnetic ordering, the trend mirrors that of Fig. 5c. Notably, the presence of peak shift exists even at 20 and 30 K, where the antiferromagnetic ordering has vanished. The peak shift become almost H-independent above 40 K consistent with TH of 40 K observed in T-dependent σ1(ω).
Although the spin fluctuating region below TH is unclear yet, one potential explanation might be a spin fractionalized region, commonly found in a Kitaev QSL system. In α-RuCl3, it is reported that the second releases of magnetic entropy and finite spin-spin correlation function at and below a characteristic temperature TH, which is significantly higher than the TN, respectively28. Similarly, Cu3Co2SbO6 also exhibits two instances of magnetic entropy releases, with the T at which half of the magnetic entropy is released being 40 K, a value close to the TH we measured27. This spin fluctuation region below TH is understood as an unconventional Kitaev paramagnetic phase due to the occurrence of spin fractionalization. In addition, recent theoretical study on the GHK model, one of the possible spin Hamiltonians for the high-spin 3d7 cobalt-based honeycomb materials, has resembled a similar fluctuating regime with finite spin-spin correlation functions below the conventional paramagnetic phase16,29. Moreover, they reported that the TH is barely changed by external H, which is similar to our observation in Cu3Co2SbO6. Further studies for understanding the spin fluctuation region are highly required.
In summary, we have revealed bond-dependent antiferromagnetism, the exciton coupled to its magnetic ground state, and an unconventional anisotropic spin fluctuation region between antiferromagnetic and paramagnetic phases in Cu3Co2SbO6. The observed bond-dependent antiferromagnetism and spin fluctuation region imply that Cu3Co2SbO6 can be a promising starting materials to realized QSL phase. Additionally, the interaction between exciton and fluctuating spin offers Cu3Co2SbO6 with a unique platform to detect, realize, and manipulate the spin liquid using light. For example, transient spin liquid states can be achieved using a time-resolved pump-probe experiment as it perturbs its spin Hamiltonian through spin-exciton coupling44,45. The potential to generate and control fractional excitation via light through the exciton-spin interaction could be explored if the desired Kitaev QSL phase can be stabilized in Cu3Co2SbO6. Lastly, we believe that our experimental approach bridges two areas previously seem as incompatible: heterostructures and quantum magnetism. While there is growing interest in applying heterostructure methods to Kitaev QSL studies12,19, applicable experiments have been rare due to the extremely small volume available for detecting spin-spin correlation functions. However, our approach via light, unaffected by volume constraints, provides promising methodology to merge two distinct territories.
Methods
Sample preparation
High-quality Cu3Co2SbO6 thin films were synthesized using pulsed laser deposition. The O-faced ZnO [0001] and MgAl2O4 [111] substrates were annealed for 2 h at 1100 ◦C and for 10 h at 1200 ◦C in ambient pressure, respectively, to improve the surface roughness and crystal quality. We made a target followed the previously reported synthesis of polycrystalline Cu3Co2SbO6 powder using the solid-state reaction method27. The base pressure remained under 1 × 10-6 Torr. The optimized growth conditions were as follows: substrate temperature T = 800 ◦C, oxygen partial pressure P = 10 mTorr, energy of the KrF Excimer laser (λ = 248 nm) E = 1.3 J/cm2, laser repetition rate = 10 Hz, and the distance between the target and substrate was set at 50 mm. Cooling was performed under the same as grown pressure after the deposition was completed. No sample degradation was observed, even when the target and the synthesized thin film were stored at room temperature and under ambient pressure.
Characterization of lattice structure and film thickness
By using a D8 Discovery high-resolution X-ray diffraction (Bruker), high resolution X-ray diffraction data of Cu3Co2SbO6 thin film were collected at room temperature using a wavelength of 1.5406 Å. Using the 0D mode of Lynxeye detector, θ-2θ scan was performed at 0.005° intervals from 10° to 80° in 2θ and at a scan speed of 0.016° s–1. The rocking curves were performed at 0.005° intervals from ± 1.5° of 004 peak of Cu3Co2SbO6 with 0.5 step/sec. An azimuthal φ-scans of Cu3Co2SbO6 thin film were conducted at angle χ = 54.7356° with respect to ZnO (0001) surface. The collected angle range is from −210° to 150° with 0.02° increments and 0.5 step/sec scan speed for ZnO substrate and Cu3Co2SbO6 thin film. Note that counterclockwise rotation is positive.
Magnetic susceptibility
The temperature dependence of the zero-field-cooled and field-cooled d.c. magnetization of 14.2 mg (13.6 mg) Cu3Co2SbO6/ZnO (Cu3Co2SbO6/MgAl2O4) thin film, with dimension of 3.3 mm (bond-parallel) × 2.5 mm (bond-perpendicular) × 0.33 mm (0.5 mm for MgAl2O4) (out-of-plane), was measured in each direction using a superconducting quantum interference device (Quantum Design). The measurements were conducted by attaching the samples to the quartz sample mounting post with GE varnish. Similarly, the magnetic properties of 15.2 mg (13.6 mg) bare ZnO (MgAl2O4), of the same dimension, were obtained. The magnetization of Cu3Co2SbO6 was calculated by subtracting the mass-normalized substrate magnetic susceptibility. To compare relatively small difference in χbond//(T) and χbond⊥(T), temperature- and field-independent background contribution from environment is further subtracted based on high-temperature Curie-Weiss fitting. This process is valid with the known fact that bulk Cu3Co2SbO6 has a negligible constant background contribution χ0 in magnetic susceptibility27. We observed that the magnetic properties of Cu3Co2SbO6 grown both substrates are qualitatively identical, particularly for anisotropic HC (Supplementary Fig. 4). However, we found that the MgAl2O4 exhibits a significantly larger paramagnetic signal from defect dipole moments at low temperature compared to ZnO, distorting the subtracted data; therefore, we exhibit the magnetic data of Cu3Co2SbO6 on ZnO substrate in our main manuscript.
Scanning transmission electron microscopy measurements
For transmission electron microscopy (TEM) analysis, a cross-section specimen of approximately 50 nm was fabricated using a focused ion beam (FIB) machine (Helios G4, FEI) from a 20 nm Cu3Co2SbO6 film grown on a ZnO substrate. The interface structure was then measured using a Titan Double Cs corrected TEM (Titan cubed G2 60–300, FEI) with high-angle annular dark field scanning TEM (HAADF-STEM) mode. The microscope was operated at 300 kV accelerating voltage with the beam convergence semi-angle of 25.2 mrad. The inner and outer angles of the HADDF detector were set as 38 and 200 mrad, respectively. Several 1024 × 1024 images of the film-substrate interface were acquired with 4 µs dwell time per pixel. The pixel size was 6.48 pm for Supplementary Fig. 2e, 12.96 pm for Supplementary Fig. 3a-b, and 25.91 pm for Supplementary Fig. 3c. The total electron dose was about 4.64 × 105 electrons Å−2 for Supplementary Fig. 2e, 1.18 × 105 electrons Å−2 for Supplementary Fig. 3a, 1.13 × 105 electrons Å−2 for Supplementary Fig. 3b, and 2.94 × 104 electrons Å−2 for Supplementary Fig. 3c.
Electronic structure calculations
Electronic structure calculations were performed via employing Vienna Ab initio Simulation Package (VASP) within projector augmented wave formalism46. Crystal structure of Cu3Co2SbO6 was optimized with the choice of PBEsol exchange-correlational functional47, in addition invoking an effective onsite Coulomb potential Ueff = 4 eV on d orbitals of Co and Cu through Dudarev approach48 and Zigzag-type antiferromagnetic order. The plane wave cutoff and size of k-mesh were set to 500 eV and 8 × 8 × 4, respectively. For optimization of crystal structure, force and energy convergence criteria were set to 10−4 and 10−9 eV, respectively. The spin-polarized electronic band structure was calculated using PBEsol+U with U = 6 eV and Néel-type order. Furthermore, non-spin-polarized electronic structure was computed, which was used later to estimate hopping parameters with employing maximally localized Wannier functions (MLWF) method49 as implemented in WANNIER9050. For the estimation of the magnetic exchange interactions we constructed two Wannierized tight-binding models with d orbitals of Co only and including full Co d and O p orbitals.
Ellipsometry and optical conductivity
The optical conductivity of 20 nm Cu3Co2SbO6 was obtained using an M-2000 ellipsometer (J. A. Woolam Co.). The ellipsometry parameters, Ψ and Δ, of Cu3Co2SbO6 were measured over the energy range of 0.74 to 6.46 eV (5900 to 52000 cm−1) at 60° incident angles and temperatures (6 to 300 K). Each measurement had a duration of 200 s. Here, Ψ represents the amplitude ratio of the reflected p- and s-waves, while Δ represents the phase shift between the two waves. We also obtained Ψ and Δ of the MgAl2O4 and ZnO under the same incident angles and temperatures. We determined the optical constants of Cu3Co2SbO6 layers by constructing thin film models including intermixing layer and surface roughness. For low-temperature measurement, we calibrated the window effect to determine the Δ offset by using a 25 nm SiO2/Si wafer. To prevent ice formation on the sample surface, we baked out a chamber to obtain the base pressure below 5 × 10−9 Torr. All samples were attached with silver epoxy to oxygen-free copper cones to prevent reflections from the backside of the sample. We observed that the optical properties of Cu3Co2SbO6 grown both substrates are qualitatively identical, including TN and TH (Supplementary Fig. 5). However, the strong absorption of ZnO near 3.3 eV distorted the spectra. To this reason, we exhibit the optical data of Cu3Co2SbO6 deposited on MgAl2O4 in our main manuscript.
Transmittance under applied magnetic field
The transmittance spectra of Cu3Co2SbO6 thin film on MgAl2O4 substrate were measured using an unpolarized Deuterium light source (SLS204, Thorlabs) and a charge-coupled device (CCD) spectrometer (CCS200, Thorlabs). To reduce background noise, a dark measurement was subtracted from all raw spectra. The transmission experiments under the external magnetic fields were conducted using a magneto-optic chamber (SpectromagPT, Oxford Instruments), which has 4 optical ports to facilitate optical experiments in both vertical and horizontal directions relative to the external magnetic fields. Due to the strong absorption of ZnO, we cannot obtain the absorption spectrum of Cu3Co2SbO6 film on ZnO substrate.
Data availability
The data generated during this study are available in the Figshare database [https://doi.org/10.6084/m9.figshare.28244003]. Source data are provided with this paper.
References
Jain, A. et al. Commentary: The Materials Project: A materials genome approach to accelerating materials innovation. APL Mater. 1, 011002 (2013).
Takagi, H., Takayama, T., Jackeli, G., Khaliullin, G. & Nagler, S. E. Concept and realization of Kitaev quantum spin liquids. Nat. Rev. Phys. 1, 264–280 (2019).
Trebst, S. & Hickey, C. Kitaev materials. Phys. Rep. 950, 1–37 (2022).
Kitaev, A. Anyons in an exactly solved model and beyond. Ann. Phys. 321, 2–111 (2006).
Nayak, C., Simon, S. H., Stern, A., Freedman, M. & Sarma, S. D. Non-Abelian anyons and topological quantum computation. Rev. Mod. Phys. 80, 1083 (2008).
Jackeli, G. & Khaliullin, G. Mott insulators in the strong spin-orbit coupling limit: from Heisenberg to a quantum compass and Kitaev models. Phys. Rev. Lett. 102, 017205 (2009).
Banerjee, A. et al. Neutron scattering in the proximate quantum spin liquid α-RuCl3. Science 356, 1055–1059 (2017).
Banerjee, A. et al. Excitations in the field-induced quantum spin liquid state of α-RuCl3. npj Quantum Mater. 3, 1–7 (2018).
Do, S.-H. et al. Randomly Hopping Majorana Fermions in the Diluted Kitaev System α-Ru0.8Ir0.2Cl3. Phys. Rev. Lett. 124, 047204 (2020).
Yokoi, T. et al. Half-integer quantized anomalous thermal Hall effect in the Kitaev material candidate α-RuCl3. Science 373, 568–572 (2021).
Jenderka, M. et al. Mott variable-range hopping and weak antilocalization effect in heteroepitaxial Na2IrO3 thin films. Phys. Rev. B 88, 045111 (2013).
Yamaji, Y. et al. Clues and criteria for designing a Kitaev spin liquid revealed by thermal and spin excitations of the honeycomb iridate Na2IrO3. Phys. Rev. B 93, 174425 (2016).
Singh, Y. et al. Relevance of the Heisenberg-Kitaev model for the honeycomb lattice iridates A2IrO3. Phys. Rev. Lett. 108, 127203 (2012).
Sandilands, L. J., Tian, Y., Plumb, K. W., Kim, Y.-J. & Burch, K. S. Scattering continuum and possible fractionalized excitations in α−RuCl3. Phys. Rev. Lett. 114, 147201 (2015).
Halloran, T. et al. Geometrical frustration versus Kitaev interactions in BaCo2(AsO4)2. Proc. Natl. Acad. Sci. 120, e2215509119 (2023).
Li, H. et al. Universal thermodynamics in the Kitaev fractional liquid. Phys. Rev. Res. 2, 043015 (2020).
Liu, H. & Khaliullin, G. Pseudospin exchange interactions in d7 cobalt compounds: possible realization of the Kitaev model. Phys. Rev. B 97, 014407 (2018).
Sano, R., Kato, Y. & Motome, Y. Kitaev-Heisenberg Hamiltonian for high-spind7 Mott insulators. Phys. Rev. B 97, 014408 (2018).
Liu, H., Chaloupka, J. & Khaliullin, G. Kitaev spin liquid in 3d transition metal compounds. Phys. Rev. Lett. 125, 047201 (2020).
Sanders, A. L. et al. Dominant Kitaev interactions in the honeycomb materials Na3Co2SbO6 and Na2Co2TeO6. Phys. Rev. B 106, 014413 (2022).
Kim, C. et al. Antiferromagnetic Kitaev interaction in Jeff = 1/2 cobalt honeycomb materials Na3Co2SbO6 and Na2Co2TeO6. J. Phys.: Condens. Matter. 34, 045802 (2021).
Li, X. et al. Giant Magnetic In-Plane Anisotropy and Competing Instabilities in Na3Co2SbO6. Phys. Rev. X 12, 041024 (2022).
Janssen, L., Andrade, E. C. & Vojta, M. Magnetization processes of zigzag states on the honeycomb lattice: Identifying spin models for α-RuCl3 and Na2IrO3. Phys. Rev. B 96, 064430 (2017).
Zhang, X. et al. A magnetic continuum in the cobalt-based honeycomb magnet BaCo2(AsO4)2. Nat. Mater. 22, 58–63 (2023).
Liu, X. & Kee, H.-Y. Non-Kitaev versus Kitaev honeycomb cobaltates. Phys. Rev. B 107, 054420 (2023).
Kim, S., Horsley, E., Ruff, J. P., Moreno, B. D. & Kim, Y.-J. Structural transition and magnetic anisotropy in α−RuCl3. Phys. Rev. B 109, L140101 (2024).
Roudebush, J. et al. Structure and magnetic properties of Cu3Ni2SbO6 and Cu3Co2SbO6 delafossites with honeycomb lattices. Inorg. Chem. 52, 6083–6095 (2013).
Do, S.-H. et al. Majorana fermions in the Kitaev quantum spin system α-RuCl3. Nat. Phys. 13, 1079–1084 (2017).
Nasu, J., Udagawa, M. & Motome, Y. Thermal fractionalization of quantum spins in a Kitaev model: Temperature-linear specific heat and coherent transport of Majorana fermions. Phys. Rev. B 92, 115122 (2015).
Climent-Pascual, E. et al. Spin 1/2 Delafossite Honeycomb Compound Cu5SbO6. Inorg. Chem. 51, 557–565 (2012).
Lee, M. K. et al. Synthesis and properties of epitaxial thin films of c-axis oriented metastable four-layered hexagonal BaRuO3. Appl. Phys. Lett. 77, 364–366 (2000).
Kocsis, V. et al. Magnetoelastic coupling anisotropy in the Kitaev material α-RuCl3. Phys. Rev. B 105, 094410 (2022).
Sears, J. A. et al. Magnetic order in α-RuCl3: A honeycomb-lattice quantum magnet with strong spin-orbit coupling. Phys. Rev. B 91, 144420 (2015).
Tanaka, O. et al. Thermodynamic evidence for a field-angle-dependent Majorana gap in a Kitaev spin liquid. Nat. Phys. 18, 429–435 (2022).
Oleś, A. M., Khaliullin, G., Horsch, P. & Feiner, L. F. Fingerprints of spin-orbital physics in cubic Mott insulators: Magnetic exchange interactions and optical spectral weights. Phys. Rev. B 72, 214431 (2005).
Sandilands, L. J. et al. Optical probe of Heisenberg-Kitaev magnetism in α−RuCl3. Phys. Rev. B 94, 195156 (2016).
Chou, H. & Fan, H. Effect of antiferromagnetic transition on the optical-absorption edge in MnO, α-MnS, and CoO. Phys. Rev. B 10, 901 (1974).
Diouri, J., Lascaray, J. P. & Amrani, M. E. Effect of the magnetic order on the optical-absorption edge in Cd1-xMnxTe. Phys. Rev. B 31, 7995–7999 (1985).
Taranto, C. et al. Signature of antiferromagnetic long-range order in the optical spectrum of strongly correlated electron systems. Phys. Rev. B 85, 085124 (2012).
Biesner, T. et al. Magnetic terahertz resonances above the Néel temperature in the frustrated kagome antiferromagnet averievite. Phys. Rev. B 105, L060410 (2022).
Uchida, M. et al. Above-ordering-temperature large anomalous Hall effect in a triangular-lattice magnetic semiconductor. Sci. Adv. 7, eabl5381 (2021).
Khaliullin, G., Horsch, P. & Oleś, A. M. Theory of optical spectral weights in Mott insulators with orbital degrees of freedom. Phys. Rev. B 70, 195103 (2004).
Deisenhofer, J. et al. Optical Evidence for Symmetry Changes above the Néel Temperature of KCuF3. Phys. Rev. Lett. 101, 157406 (2008).
Sriram, A. & Claassen, M. Light-induced control of magnetic phases in kitaev quantum magnets. Phys. Rev. Res. 4, L032036 (2022).
Baykusheva, D. R. et al. Ultrafast renormalization of the on-site coulomb repulsion in a cuprate superconductor. Phys. Rev. X 12, 011013 (2022).
Kresse, G. & Furthmüller, J. Efficient iterative schemes for ab initio total-energy calculations using a plane-wave basis set. Phys. Rev. B 54, 11169 (1996).
Perdew, J. P. et al. Restoring the density-gradient expansion for exchange in solids and surfaces. Phys. Rev. Lett. 100, 136406 (2008).
Dudarev, S. L., Botton, G. A., Savrasov, S. Y., Humphreys, C. & Sutton, A. P. Electron-energy-loss spectra and the structural stability of nickel oxide: An LSDA+ U study. Phys. Rev. B 57, 1505 (1998).
Souza, I., Marzari, N. & Vanderbilt, D. Maximally localized Wannier functions for entangled energy bands. Phys. Rev. B 65, 035109 (2001).
Pizzi, G. et al. Wannier90 as a community code: new features and applications. J. Phys.: Condens. Matter. 32, 165902 (2020).
Acknowledgements
We thank E.-G. Moon for fruitful discussion. C.S. was supported by the National Research Foundation (NRF) of Korea funded by the Ministry of Science and ICT(Grant No. NRF-2020R1C1C1008734, RS-2024-00348920) and by the MSIT(Ministry of Science and ICT), Korea, under the ITRC(Information Technology Research Center) support program(IITP-2024-RS-2023-00259676) supervised by the IITP(Institute for Information & Communications Technology Planning & Evaluation). J.H.K. was supported by the Samsung Science and Technology Foundation (Grant No. SSTF-BA2102-04), by the NRF of Korea (Grant No. NRF-2021R1A2C3004989), and by the Nano & Material Technology Development Program through the NRF funded by Ministry of Science and ICT (Grant No. RS-2023-00281839). T.S.J. was supported by the NRF of Korea (Grant No. RS-2024-00345342). J.-W.Y was supported by the NRF of Korea (Grant No. 2021R1A2C1008431). S.P. was supported by the National Research Council of Science & Technology (NST) grant by the Korea Government (MSIT) (GTL2400-000). Y.Y. was supported by the NRF of Korea (Grant No. RS-2023-00208179) and acknowledged the support from the KAIST singularity professor program and the KAIST Quantum Research Core Facility Center (KBSI-NFEC grant funded by Korea government MSIT, PG2022004-09). T.H.K. was supported by the Korea Institute of Science and Technology (KIST) (2E33811). S.S. (Samanta) and H.-S.K. were supported by the Korea Research Fellow (KRF) Program and Basic Science Research Program through the National Research Foundation of Korea funded by the Ministry of Science and ICT (Grant No. NRF-2019H1D3A1A01102984, NRF-2020R1C1C1005900, RS-2023-00220471). The Excimer Laser COMPexPro 201 F (Coherent Co.) for thin film growth and M-2000 ellipsometer (J.A.Woolam Co.) for optical measurements were supported by IBS Center for Correlated Electron systems, Seoul National University. The HAADF-STEM sample preparation and imaging were conducted using a FEI Helios G4 focused ion beam equipment and a double Cs corrected Titan cubed G2 60-300 (FEI) microscope at KAIST Analysis Center for Research Advancement (KARA). Excellent support by Hyung Bin Bae, Jin-Seok Choi, Tae Woo Lee and the staff of KARA is gratefully acknowledged.
Author information
Authors and Affiliations
Contributions
B.K., U.C., and C.S. conceptualized this work. U.C., G.-H.K., U.S., M.P., J.-H.C., N.X.D., T.H.K., and C.S. synthesized and characterized the thin films. M.J.K., G.J., and J.M.O. synthesized a polycrystalline target for pulsed laser deposition. H.J., S.H., and Y.Y. performed transmission electron microscopy. B.K., S.N., S.S.(Song), S.P., J.-W.Y., and C.S. performed magnetic property experiments. B.K. and U.C. performed spectroscopic ellipsometry. T.S.J. and J.H.K conducted the transmittance under the magnetic field. S.S.(Samanta) and H.-S.K. conducted the first-principles DFT and DFT + U calculations. B.K., U.C., T.H.K., Y.Y., J.M.O., J.-W.Y., J.H.K., and C.S. analyzed the experimental data. B.K., U.C., and C.S. wrote the paper with input from all coauthors.
Corresponding authors
Ethics declarations
Competing interests
The authors declare no competing interests.
Peer review
Peer review information
Nature Communications thanks Yuesheng Li, and the other, anonymous, reviewers for their contribution to the peer review of this work. A peer review file is available.
Additional information
Publisher’s note Springer Nature remains neutral with regard to jurisdictional claims in published maps and institutional affiliations.
Supplementary information
Source data
Rights and permissions
Open Access This article is licensed under a Creative Commons Attribution-NonCommercial-NoDerivatives 4.0 International License, which permits any non-commercial use, sharing, distribution and reproduction in any medium or format, as long as you give appropriate credit to the original author(s) and the source, provide a link to the Creative Commons licence, and indicate if you modified the licensed material. You do not have permission under this licence to share adapted material derived from this article or parts of it. The images or other third party material in this article are included in the article’s Creative Commons licence, unless indicated otherwise in a credit line to the material. If material is not included in the article’s Creative Commons licence and your intended use is not permitted by statutory regulation or exceeds the permitted use, you will need to obtain permission directly from the copyright holder. To view a copy of this licence, visit http://creativecommons.org/licenses/by-nc-nd/4.0/.
About this article
Cite this article
Kang, B., Choi, U., Jung, T.S. et al. Optical detection of bond-dependent and frustrated spin in the two-dimensional cobalt-based honeycomb antiferromagnet Cu3Co2SbO6. Nat Commun 16, 1323 (2025). https://doi.org/10.1038/s41467-025-56652-w
Received:
Accepted:
Published:
Version of record:
DOI: https://doi.org/10.1038/s41467-025-56652-w







