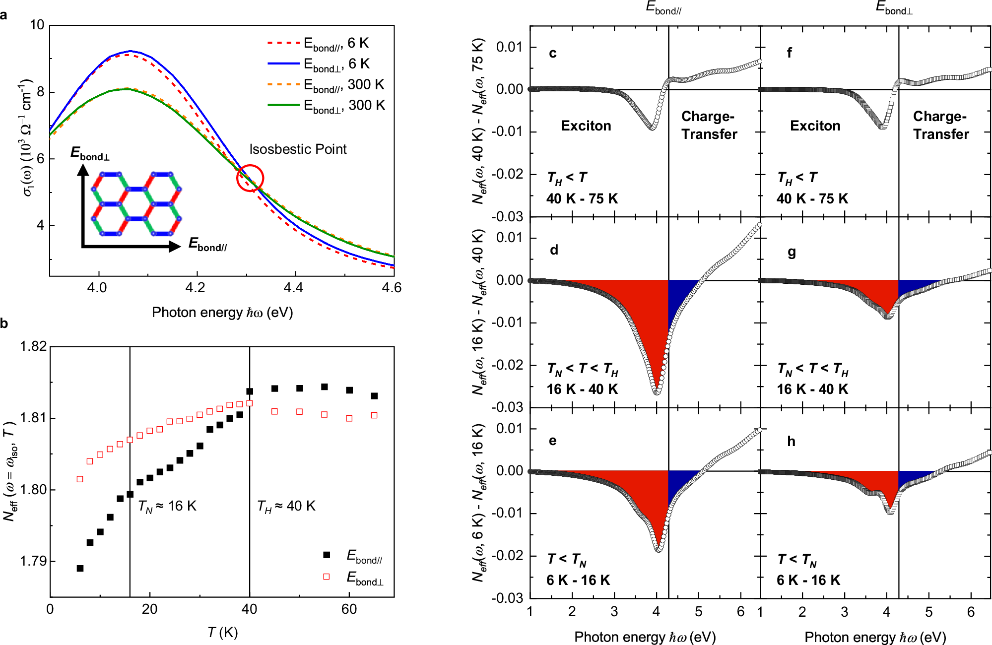
Fig. 4: SW transfer from different temperature range to explore the origin of TH and bond-dependent spin exchange interaction.

a The σ1(ω) of Cu3Co2SbO6 at 6 K and room temperature. The red circle indicates the isosbestic point. Solid and dotted lines are σ1(ω) along the bond-perpendicular (Ebond⊥) and the bond-parallel directions (Ebond//), respectively. The inset visualizes the relationship between the polarization and bond directions of Cu3Co2SbO6. b T-dependence of effective number of electrons accord with excitonic transition, Neff (ω=ωiso, T) = 2m0V/πe2\({\int }_{0}^{{\omega }_{{iso}}} {\sigma }_{1}(\omega ^{\prime} ){{\rm{d}}}\omega ^{\prime}\). The vertical lines display both characteristic temperature TN and TH. Black closed squares and red open squares indicate the bond-parallel and bond-perpendicular polarizations, respectively. The difference effective number of electrons along each direction between three different temperature range c, f above TH (40 K–75 K), d, g between TN and TH (16 K–40 K), and e, h below TN (6 K–16 K). Red and blue contours, divided by the isosbestic point, represent SW transfer before and after the isosbestic point, suggesting that the origin of TH is linked to the magnetic structure. The quantitative differences between the bond-parallel and bond-perpendicular directions indicate a considerable anisotropic Kitaev spin exchange interaction.