Abstract
The stabilization of reactive anionic main group species utilizing carbenes constitutes a burgeoning and scarcely explored field. Herein, we report the synthesis of an anionic triphosphorus [P3]ˉ unit, supported by two cyclic (alkyl)(amino)carbenes (CAACs) in the form of potassium salts. This anion features a planar W-shaped conjugated C-P-P-P-C framework, characterized by 5-center-6-electron π delocalization and an additional σ lone pair located on each of the three phosphorus atoms. Remarkably, this anion is not only strongly basic and nucleophilic but also reductive, positioning versatile functionalization of the [P3] unit. This approach has advanced the isolation of unique carbene-supported cores, including [HP3], [P3N3R]−, [P3O]− and [P6], thus expanding the frontiers of phosphorus chemistry. Moreover, the addition of the two phosphorus fragments upon P-P bond cleavage of the [P3] unit to the triple bond of diphenylacetylene for the synthesis of an extended conjugated system was described.
Similar content being viewed by others
Introduction
The stabilization of reactive main group species is paramount for enriching our understanding of reaction intermediates and expanding our comprehension of chemical bonding1,2. Over the past two decades, the employment of N-heterocyclic carbenes (NHCs) and cyclic (alkyl)(amino)carbenes (CAACs) has been instrumental in isolating formidable compounds of low-valent main group elements and unusual organic fragments3,4,5,6,7. These entities, inherently transient in their free state, have been effectively tamed through carbene coordination, which offers finely tunable σ-donating and π-accepting properties. Noteworthy examples include the stabilization of mononuclear and polynuclear main group cores such as Be8, B29, Si210, Si311, B412, and [P2O4]13 (Fig. 1a).
a Selected examples of carbene-supported main group compounds. b Representation of carbene-supported phosphorus species. c Carbene-stabilized [P3]+, [P3]•, and [P3]3+. d Niecke’s anion [(TMS2C)2P3]ˉ, with NPA charges depicted in pink. e This work: Carbene-supported [P3]− unit, [(EtCAAC)2P3]−, with NPA charges presented in blue.
Significantly, the ability of carbenes to support phosphorus-rich fragments has proven to be an effective strategy in capturing elusive molecular entities rich in phosphorus14. The pioneering work of Bertrand, Hudnall, and Scheer has yielded a series of carbene-supported phosphorus(0) species (L)xPn (L = carbene; x = 1, 2, 3, 4; n = 2, 3, 4, 8, 12), through the activation of white phosphorus (P4) with carbenes (I and II, Fig. 1b)15,16,17. Moreover, the transformation of L-PCl3 adducts into diphosphorus species (L)2P2, first documented by Robinson et al. in 200818, has led to the synthesis of additional examples19,20. Diatomic cores like [NP]21,22 and [PAs]23,24, each supported by either identical or distinct carbenes, have been isolated.
In addition to the neutral phosphorus species, an array of cationic phosphorus species stabilized by carbenes have emerged (III and IV, Fig. 1b). Salts of the mono-phosphorus cation [(L)2P]+ have been accessible through various methods since Schmidpeter’s pioneering efforts in the 1980s25,26, with the recent addition of [(L)2P1]2+•27 and [(L)3P1]3+28 reported by Weigand. The one- and two-electron oxidations of neutral dicarbene-diphosphorus complexes have yielded the corresponding radical cation [(L)2P2]•+ and dication [(L)2P2]2+, respectively29. Since the inaugural synthesis of [(NHCB)2N3]+[BF4]ˉ (NHCB = N,N-diethylbenzimidazolylidene) by Balli et al. in 197830, ensuing from the reaction of azides with benzimidazolium salts, compounds containing such cations, conforming to the general formula of [(L)2N3]+, have been extensively investigated31,32,33. In stark contrast, the synthesis of [(L)E1E2E1(L)]+, where E1 or E2 represents a heavier group 15 element, necessitates the sequential integration of (L)E1 segments with E2 sources to architect the central [E1E2E1] units, including [NPN]34,35, [PNP]36 and [PAsP]37, as delineated by the efforts of Bertrand, Dielmann, Manners, and Grützmacher. The reduction of these cationic compounds typically yields neutral radicals [(L)E1E2E1(L)]•. In a particular instance, the radical [(MeCAAC)PNP(MeCAAC)]• underwent further reduction by KC8 to yield the corresponding anion [(MeCAAC)PNP(MeCAAC)]ˉ [MeCAAC = 1-(2,6-di-isopropyl-phenyl)-3,3,5,5-tetramethyl-2-pyrrolidinylidene]36. Furthermore, carbenes have stabilized units of [P3]+37,38, [P3]• 37 and [P3]3+ 39 (A-C, Fig. 1c), in addition to [P4]4+ 39,40. However, the realization of carbene stabilized anionic [Pn]ˉ moieties, except n = 1 (V, Fig. 1b), remains elusive41,42,43.
Previous computational studies inferred that the free [P3]ˉ anion exhibits a triangular shape of triplet ground state44, in line with our calculations at CCSD(T)/def2-QZVPPD//CCSD/def2-TZVPD level of theory (Supplementary Fig. 18), which was confirmed by experimental studies of electron paramagnetic resonance (EPR) at solid neon and argon matrices at 4 K45. Thus, the isolation of its salt compounds at standard laboratory conditions is profoundly challenging, although its existence in the gas phase was detectable via mass spectrometry46. The isolation of lithium polyphosphides from reactions involving organodilithio reagents with P4 hints at the transient generation of Li[P3]47. A large number of metal complexes containing [P3] unit have been synthesized, mainly as results of metal-mediated P4 activation48,49,50,51.
In this work, we illustrate the synthesis of a carbene-supported anionic triphosphorus unit, namely [(EtCAAC)2P3]ˉ as potassium salts [EtCAAC = 1-(2,6-di-isopropyl-phenyl)-3,3-diethyl-5,5-dimethyl-2-pyrrolidinylidene] (3ˉ, Fig. 1e), representing a rare example for the anionic [P3]ˉ class (VI, Fig. 1b). Structural analysis and theoretical studies have substantiated that the two EtCAAC fragments and the [P3]− core collectively configure a W-shaped conjugated framework, characterized by 5-center-6-electron π delocalization. The electronic attributes and reactivity profiles of this complex significantly deviate from the anion [(TMS2C)2P3]− (D, TMS = SiMe3, Fig. 1d), which was reported by Niecke, Schoeller et al. in 199652, thus underscoring the unique capabilities of [P3]ˉ unit when supported by CAACs. The reactivity of [(EtCAAC)2P3]ˉ has been evaluated against diverse substrates, promoting the synthesis of a variety of [P3] derivatives through functionalization at the central phosphorus atom. In addition, 3ˉ demonstrates the ability for selective P-P bond cleavage within the [P3] unit, enabling the synthesis of extended conjugated systems.
Results and discussion
In our recent report, we detailed the facile synthesis of the dicyanophosphide anion [P(CN)2]ˉ53, firstly reported by Schmidpeter54, via electrochemical activation of P4 and its effective application as a potent phosphorus donor. Building on this work, we envisioned a straightforward synthesis of the [(CAAC)2P3]ˉ anion by reacting [P(CN)2]ˉ with two equivalents of [(CAAC)P]ˉ anion. Gratifyingly, the slow addition of K[P(CN)2] to a THF solution of K+[(EtCAAC)P]ˉ (K+1ˉ) at –20 °C prompted the color change of the reaction mixture from reddish-brown to yellow. 31P NMR analysis of the mixture revealed the emergence of a singular product, characterized by two doublets at 78.6 ppm and −167.0 ppm (1JP-P = 269.9 Hz). Single crystal X-ray diffraction and infrared spectroscopy (CN stretching frequency: 2038 cm–1) confirmed the identity of this intermediate as the potassium salt of [(EtCAAC)P − P − C ≡ N]ˉ (2ˉ) (Supplementary Fig. 1). Attempts to isolate it on a preparative scale were hindered by its decomposition into unidentified products during solvent-based work-up. Nevertheless, heating of a toluene solution of the in situ generated potassium salt of 2ˉ with one equivalent of K+1ˉ at 50 °C for 16 hours yielded the target potassium salt of [(EtCAAC)2P3]ˉ anion (3ˉ) (Fig. 2). Post-reaction work-up with DME enabled the isolation of [K(DME)]+3ˉ as a deep red crystalline solid, achieving a 64% yield. The 31P NMR spectrum of this compound in THF-d8 exhibited a distinct triplet at −74.4 ppm, coupled with a doublet at 103.4 ppm (1JP-P = 337.0 Hz), indicative of a symmetric geometry in solution.
Condition (i) reagent: 1.0 equiv. of K+1ˉ; solvent: THF; reaction temperature (time), −20 °C (10 min). (ii) reagent: 1.0 equiv. of K+1ˉ, solvent: toluene; reaction temperature (time), 50 °C (16 h). (iii) Crystallization in hexane/THF at –30 °C. (iv) reagent: 1.0 equiv. of 18-crown-6 (18-C-6), solvent: THF; reaction temperature (time), room temperature (10 min).
Deep brown single crystals were isolated from an n-hexane/THF solution at −30 °C. X-ray diffraction analysis uncovered a dimeric structure of the salt, [K2(THF)3]2+(3ˉ)2 (Fig. 3a). In this structure, the two anionic [P3] fragments coordinate to the K(1) cation in an η3-fashion [K(1)-P(1) 3.4989(9) Å, K(1)-P(2) 3.5161(10) Å, K(1)-P(3) 3.3513(10) Å] and an η2-fashion [K(1)-P(6) 3.3501(9) Å, K(1)-P(5) 3.7626(9) Å], respectively. The latter [P3] unit additionally binds to the K(2) cation in a κ2 mode, alongside the flanking by a diisopropylphenyl (Dipp) group of the EtCAAC ligand via cation-π interaction. These intricate contacts between the potassium cations and the [P3] units result in a dimer geometry for 3ˉ that is neither planar nor symmetric.
Hydrogen atoms are omitted for clarity. a Solid-state structure of [K2(THF)3]2+(3ˉ)2. Selected experimental bond lengths and angles: C(1)-P(1) 1.722(3) Å, C(2)-P(2) 1.721(3) Å, P(1)-P(3) 2.1834(10) Å, P(2)-P(3) 2.1894(10) Å, C(4)-P(4) 1.723(3) Å, C(5)-P(5) 1.725(3) Å, P(4)-P(6) 2.1673(10) Å, P(5)-P(6) 2.1892(10) Å, P(1)-K(1) 3.4989(10) Å, P(2)-K(1) 3.5161(10) Å, P(3)-K(1) 3.3514(10) Å, P(5)-K(1) 3.7625(10) Å, P(6)-K(1) 3.3502(10) Å, P(4)-K(2) 3.2241(10) Å, P(5)-K(2) 3.6342(11) Å; C(1)-P(1)-P(3) 110.26(10)°, P(1)-P(3)-P(2) 90.03(4)°, C(2)-P(2)-P(3) 109.25(10)°, C(4)-P(4)-P(6) 111.15(10)°, P(4)-P(5)-P(6) 90.03(4)°, C(5)-P(5)-P(6) 108.95(10)°. b Solid-state structure of [K(THF)2(18-C-6)]+3ˉ. Selected experimental bond lengths and angles: C(1)-P(1) 1.7165(10) Å, C(2)-P(2) 1.7126(9) Å, P(1)-P(3) 2.1785(3) Å, P(2)-P(3) 2.1742(3) Å, C(1)-P(1)-P(3) 108.69(3)°, P(1)-P(3)-P(2) 89.300(13)°, C(2)-P(2)-P(3) 109.00(3)°.
To better understand the structural and electronic features of the free anion 3ˉ, potassium cations in [K(DME)]+3ˉ were sequestered using 18-crown-6 (18-C-6). This immediately induced the shift of 31P NMR resonance to higher frequencies [128.8 ppm (d), −43.5 ppm (t), 1JP-P = 355.5 Hz]. Indeed, single crystal X-ray diffraction analysis showed the structure being a separated ion pair [K(THF)2(18-C-6)]+3ˉ. The anion 3ˉ exhibits symmetric bond lengths and angles around the central P(3) atom, manifesting a W-shaped and nearly planar geometry, as evidenced by the torsion angles [C(1)-P(1)-P(3)-P(2), 177.65(4)°; C(2)-P(2)-P(3)-P(1), 169.92(3)°] (Fig. 3b). Notably, the bond lengths of C(1)-P(1) [1.7165(10) Å] and C(2)-P(2) [1.7126(9) Å] in 3ˉ, though slightly elongated, are proximate to a typical C = P double bond found in D [1.687(3) Å]52, and closely approach Pyykkö’s theoretical double bond length [∑rcov (C = P) = 1.69 Å]55. The P(1)-P(3) [2.1785(3) Å] and P(2)-P(3) [2.1742(3) Å] bond lengths, while analogous to those in D [2.1366(12) Å], remain marginally shorter than the calculated single bond length [∑rcov (P‒P) = 2.22 Å]55. These measurements underline the delocalization of π electrons across the central moiety and indicate the distinctive electronic influence exerted by the EtCAAC ligands on the [P3] unit in 3ˉ. The isolation and structural characterization of the closely related aromatic 1,2,3-triphospholides consisting of cyclic 6π C2P3 cores have been established56,57.
The electronic configuration of 3ˉ, reflected by its resonance structures (Fig. 4a), was investigated by density functional theory (DFT) calculations at the M06-2X/def2-SVP level. Analysis by natural localized molecular orbital (NLMO) clearly underscores the electronic configuration of each phosphorus atom within the anion 3ˉ. In addition to the foundational σ bonding framework, including C(1)-P(1), C(2)-P(2), P(1)-P(3), and P(2)-P(3) σ bonds (Supplementary Fig. 6), characteristic in-plane lone pairs are discernible at P(1), P(2), and the central P(3) atoms (Fig. 4b–d). Remarkably, the central P(3) atom harbors a highly concentrated second lone pair (82.9%) positioned in the π face. This contrasts sharply with the π electrons on P(1) and P(2), which form C-P π bonds via noticeable electron back-donation into the adjacent sp² carbon atoms of the EtCAAC fragments (Fig. 4e–g). Moreover, the delocalization of the 6π electrons across the C(1)-P(1)-P(3)-P(2)-C(2) scaffold is substantiated through analyses of the canonical molecular orbitals (CMOs) of 3ˉ, as evidenced by the shape of HOMO–4, HOMO–2, and HOMO (Supplementary Fig. 7). Furthermore, the in-plane lone pairs of the [P3] unit manifest predominantly in the spreading orbitals HOMO–1, HOMO–3, and HOMO–12 (Supplementary Fig. 7). Notwithstanding the proximity of P(1) and P(2) atoms at a distance of 3.0590(4) Å, implying possible interaction as indicated by HOMO–12 and LUMO+5, a detailed analysis employing the electron localization function (ELF), localized orbital locator (LOL), and delocalization index (DI = 0.14) shows an absence of σ- or π-type bonding between P(1) and P(2) (Supplementary Fig. 11-12).
a Resonance structures of 3ˉ. b–d NLMOs representing in-plane lone pair electrons of P(1), P(2) and P(3). e–g NLMOs representing π electrons of P(1), P(2), and P(3). (isovalue = 0.03).
Corroborating this structural elucidation, natural population analysis (NPA) elucidates a considerable anionic charge localized at the two carbene moieties (N atoms: −0.53 au; C(1), C(2): −0.19 au; P(1), P(2): 0.22 au; P(3): −0.57 au), signifying an electron transfer of 0.87 e– from the [P3] unit into the EtCAAC ligands. This electron transfer starkly contrasts with the calculated model on D, where the [P3] unit even bears positive charges of 0.53 au, a result of the stronger π electron-withdrawing effect of the (Me3Si)2C groups. This attribute explains the highly elevated 31P NMR frequencies [31P NMR: 494.1 ppm (d), 295.5 ppm (t), 1JP-P = 430.1 Hz] and a disparate reactivity profile of D (vide infra). The bonding characters of P(1)-C(1) and P(1)-P(3) in 3ˉ are further substantiated by their Wiberg bond indices (WBIs) of 1.6 and 1.1, validating the observed bond lengths.
The nature of the double bond between EtCAAC ligands and the [P3] unit in 3ˉ has been thoroughly analyzed through atoms in molecules (AIM) analysis58 and energy decomposition analysis-natural orbitals for chemical valence (EDA-NOCV)59. The ELF reveals a significant shift of both σ and π electrons towards the C(1) atom in the P(1)-C(1) bond, as corroborated by the valence shell charge concentration (VSCC) profile along this bond path (Supplementary Figs. 14–16)60. This electron shift aligns with the greater electronegativity of carbon (χ = 2.55) compared to phosphorus (χ = 2.19) on the Pauling scale. Furthermore, EDA-NOCV results endorsed electron-sharing bonds between EtCAAC ligands and the [P3] unit in 3ˉ (Supplementary Table 5).
In a comparative analysis, the optimized structure of the hypothesized [(IDipp)2P3]ˉ anion, modeled after Grützmacher’s [(IDipp)2P3]• radical (B) [IDipp = 1,3-bis(2,6-diisopropylphenyl)imidazol-2-ylidene], exhibits a twisted geometry, revealing suboptimal conjugation between the NHC ligands and the [P3] unit (Supplementary Fig. 19). This observation stresses the pivotal role of EtCAAC ligands in dispersing the enriched electron density within the [P3]ˉ unit, thereby accentuating the superior π accepting capabilities of CAACs relative to NHCs61.
In the closely related anion pair [K(cryptand)]+[(MeCAAC)PNP(MeCAAC)]ˉ reported by Manners and colleagues, the crystal structure of the anion part displays distorted C-P-N-P-C core and C-P bond lengths are slightly shorter [1.699(4), 1.707(5) Å] than those in 3ˉ, indicating a lower degree of π electron delocalization36. The NPA charge of the center nitrogen atom, calculated at the same level of theory, is highly negative of −1.43 au, well matching the nitrogen selected protonation reactivity, affording (MeCAAC)PN(H)P(MeCAAC) as an analogous compound of 4. Differently, the H atom is located in the same plane of the [PNP] unit, while that hydrogen in 4 is perpendicular to the [P3] plane (vide infra).
The structural and electronic delineation of the anionic entity 3ˉ well predicts its chemical reactivity, substantiated by its notable basicity/nucleophilicity. A facile protonation of the central phosphorus atom, characterized by the negative charges of −0.57 au at P(3), was executed through the reaction of [K(DME)]+3ˉ with tBuCl, a surrogate for HCl (Fig. 5). This reaction proceeded cleanly to yield [(EtCAAC)2P3H] (4), isolated in a 76% yield. The formation of a P‒H bond in 4 is evidenced by a doublet of triplet resonances at 4.06 ppm in the 1H NMR spectrum, displaying a 1JP-H coupling constant of 179.9 Hz with the P(3) atom (31P NMR: −123.2 ppm; 1JP-P = 195.0 Hz), and a 2JP-H of 9.8 Hz with P(1)/P(2) atoms (31P NMR: 24.0 ppm). This protonation is further corroborated by an infrared absorption at 2227 cm−1 for P‒H stretching and confirmed by single-crystal X-ray diffraction (Fig. 6a). Despite the asymmetric crystal structure, the solution-state NMR data depicts a symmetric configuration for 4, suggesting the propensity for flexible P-P bond rotation. This reactivity contrasts starkly to the protonation behavior of D, which occurs at the carbon atoms of (Me3Si)2C groups, manifesting negative NPA charges of −1.61 au. Moreover, a salt metathesis reaction between [K(DME)]+3ˉ and (IDipp)CuCl yielded the metallophosphine complex 5 [31P NMR in ppm: 67.4 (d), −126.0 (t); 1JP-P = 233.5 Hz] in a 78% isolated yield, concomitantly liberating KCl.
Condition (i) reagent: 10 equiv. of tBuCl; solvent: THF; reaction temperature (time), 50 °C (30 min). (ii) reagent: 2.4 equiv. of (IDipp)CuCl; solvent: THF; reaction temperature (time), −30 °C (10 min). (iii) 1) reagent: 1.2 equiv. of Ad-N3 (Ad = adamantyl); solvent: THF; reaction temperature (time), −30 °C (10 min); 2) crystallization with 18-crown-6. (iv) 1) reagent: excess of N2O; solvent: THF; reaction temperature (time), room temperature (10 min). 2) reagent: 1.0 equiv. of 18-crown-6; solvent: THF; reaction temperature (time), room temperature (10 min). (v) reagent: 1.0 equiv. of silver triflate (AgOTf); solvent: THF; reaction temperature (time), −30 °C (1 h). (vi) 1) reagent: 1.5 equiv. of PhCCPh; solvent: toluene; reaction temperature (time), room temperature (16 h); 2) reagent: 0.9 equiv. of [2.2.2]cryptand; solvent: pentane; reaction temperature (time), room temperature (10 min).
Hydrogen atoms are omitted for clarity except the P(3)-H in 4. a Solid-state structure of 4. Selected experimental bond lengths and angles: C(1)-P(1) 1.7403(9)Å, C(2)-P(2) 1.7316(9) Å, P(1)-P(3) 2.2184(3) Å, P(2)-P(3) 2.2041(3) Å, H(1)-P(3) 1.376(15) Å, C(1)-P(1)-P(3) 105.27(3)°, C(2)-P(2)-P(3) 105.08(3)°, P(1)-P(3)-P(2) 94.950(11)°. b Solid-state structure of 5. Selected experimental bond lengths and angles: C(1)-P(1) 1.7262(17) Å, C(2)-P(2) 1.7345(17) Å, P(1)-P(3) 2.2235(6) Å, P(2)-P(3) 2.2204(6) Å, Cu(1)-P(3) 2.2134(5) Å, C(1)-P(1)-P(3) 108.11(6)°, C(2)-P(2)-P(3) 106.65(6)°, P(1)-P(3)-P(2) 94.39(2)°. c Solid-state structure of [K(18-C-6)]+6ˉ (125 K). Selected experimental bond lengths and angles: C(1)-P(1) 1.722(7) Å, C(2)-P(2) 1.726(7) Å, P(1)-P(3) 2.2451 Å, P(2)-P(3) 2.2335 Å, N(1)-P(3) 1.7051 Å, N(1)-N(2) 1.3603 Å, N(2)-N(3) 1.2638 Å, C(1)-P(1)-P(3) 103.6(2)°, C(2)-P(2)-P(3) 103.7(2)°, P(1)-P(3)-P(2) 91.6°, N(1)-N(2)-N(3) 114.3°. d Solid-state structure of [K(18-C-6)]+7ˉ. Selected experimental bond lengths and angles: C(1)-P(1) 1.721(3) Å, C(2)-P(2) 1.736(4) Å, P(1)-P(3) 2.2638(13) Å, P(2)-P(3) 2.2805(14) Å, O(1)-P(3) 1.574(3) Å, C(1)-P(1)-P(3) 110.76(12)°, C(2)-P(2)-P(3) 107.27(13)°, P(1)-P(3)-P(2) 89.61(5)°. e Solid-state structure of 8. Selected experimental bond lengths and angles: C(1)-P(1) 1.7378(19) Å, C(2)-P(2) 1.7445(19) Å, P(1)-P(3) 2.2016(6) Å, P(2)-P(3) 2.2247(6) Å, P(3)-P(6) 2.2367(7) Å, C(4)-P(4) 1.7359(18) Å, C(5)-P(5) 1.7300(18) Å, P(4)-P(6) 2.2214(6) Å, P(5)-P(6) 2.2194(6) Å, C(1)-P(1)-P(3) 104.07(6)°, C(2)-P(2)-P(3) 105.11(7)°, P(1)-P(3)-P(2) 95.47(2)°, C(4)-P(4)-P(6) 104.65(6)°, C(5)-P(5)-P(6) 107.94(6)°, P(4)-P(6)-P(5) 93.35(2)°. f Solid-state structure of 9ˉ. Selected experimental bond lengths and angles: C(1)-P(1), 1.719(3) Å, C(2)-P(2) 1.711(4) Å, P(1)-P(3) 2.1781(12) Å, C(3)-P(3) 1.797(3) Å, C(3)-C(4) 1.388(5) Å, C(4)-P(2) 1.818(3) Å, C(1)-P(1)-P(3) 108.72(12)°, C(2)-P(2)-C(4) 111.57 (16)°, P(1)-P(3)-C(3) 100.31 (11)°, C(3)-C(4)-P(2) 115.6(3)°.
The nucleophilic propensity of 3ˉ was further demonstrated through its attack to the terminal nitrogen of the azido group in Ad–N3 (Ad = adamantyl), leading to the formation of the salt compound K+6ˉ as a singular product [31P NMR in ppm: 77.6 (d), 35.0 (t); 1JP-P = 215.9 Hz]. This represents a coupling between [P3] and [N3] units. Single crystals of this product were obtained in the presence of 18-C-6, and X-ray diffraction analysis confirmed the structure as [K(18-C-6)]+6ˉ with symmetric geometry, where both N(1) and N(3) atoms coordinate to K(1) within the 18-C-6 macrocycle (Fig. 6c). As far as we know, the binding of a single main group atom towards the terminal side of azides without the extrusion of dinitrogen has not been described, except the formation of phosphine-azide adducts, R3P-N3R’, which are key intermediates in Staudinger reactions62,63. Crystallographic elucidation of such an adduct, using an anionic phosphorus nucleophile, is demonstrated in this study64.
Anion 3ˉ readily underwent redox reactions due to the electron-rich character of the central phosphorus. Oxidation of 3ˉ through oxygen atom transfer was accomplished by introducing a THF solution of N2O to [K(DME)]+3ˉ, followed by complexation of K+ with 18-C-6, yielding [K(18-C-6)]+7ˉ [31P NMR in ppm: 129.1 (br), 122.8 (br)]. Single-crystal X-ray diffraction analysis showed the formation of a P(3)-O(1) bond (Fig. 6d). The P(3)-O(1) distance at 1.574(3) Å (WBI: 0.97) is slightly shorter than the typically calculated double bond length (∑rcov (P = O) = 1.59 Å), suggesting a multiple bond character. This shortening is attributed to significant electrostatic interactions and enhanced by the back-donation from the lone pairs on O(1) into the σ* antibonding orbitals of P(1)-P(3) and P(2)-P(3), as corroborated by donor-acceptor interactions according to second-order perturbation theory (Supplementary Fig. 20)65. The [P3O]ˉ unit represents a unique multinuclear core stabilized by carbenes66.
Moreover, the electron-rich nature of the [P3] unit imbues anion 3ˉ with a robust reducing character, predisposing it to facile oxidation by various oxidants. This reactivity culminates in the formation of (EtCAAC)4P6 (8), a dimer of the transiently formed neutral radical [(EtCAAC)2P3]• (See section 1.4 in SI for details). In a particularly clean synthesis, 8 was isolated in an 82% yield from the reaction of [K(DME)]+3ˉ with AgOTf. A toluene solution of 8 at 298 K and 40 K is EPR silent, indicating no dissociation of 8 into the radical [(EtCAAC)2P3]•. This dissociation is thermodynamically unfavored with a calculated energy increase of 26.2 kcal/mol.
X-ray diffraction analysis of single crystals of 8 revealed an asymmetric molecular geometry where the five P-P single bonds range from 2.2016(6) to 2.2367(7) Å, and the four carbon-phosphorus double bonds span 1.7300(18) to 1.7445(19) Å, all slightly longer than those observed in 3ˉ (Fig. 6e). The isolation of a heavier analogy (EtCAAC)4As6 have been recently reported67. The synthesis of a carbene-supported neutral P6 cluster marks a significant advancement, complementing the existing series of carbene-supported zero-valent phosphorus (L)xPn (L = carbene; x = 1, 2, 3, 4; n = 2, 3, 4, 8, 12) as well as the hardly accessible hexaphosphanes68, thereby enriching the landscape of phosphorus chemistry.
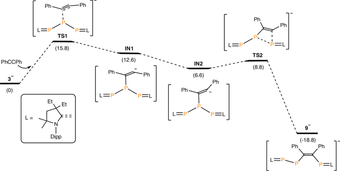
The transformation of 3ˉ via P-P bond cleavage was demonstrated through the reaction of [K(DME)]+3ˉ with diphenylacetylene, culminating in the selective formation of an extended anionic conjugate, 9ˉ. This reaction proceeded efficiently at room temperature, and [K(crypt-222)]+9ˉ was isolated in 64% yield as a black solid following work-up with [2.2.2]cryptand. The mechanistic pathway likely involves a nucleophilic attack by the central phosphorus of 3ˉ on the triple bond of diphenylacetylene, with a calculated energy barrier of 15.8 kcal/mol (TS1), followed by a P-P bond cleavage and P-C bond formation through a four-membered ring transition state (TS2, 8.8 kcal/mol), ultimately yielding 9ˉ (Fig. 7). The bond lengths of C(1)-P(1) and C(2)-P(2) in the crystal structure of [K(crypt-222)] + 9ˉ align with those observed in [K(18-C-6)]+3ˉ and are notably shorter than those in complexes 4–8 (Fig. 6f, Supplementary Table 17). The C(3)-C(4) bond, measuring 1.388(5) Å, is slightly longer than a typical double bond ([∑rcov (C = C) = 1.34 Å]), while the C(3)-P(3) and C(4)-P(2) bonds at 1.797(3) Å and 1.818(3) Å respectively, are shorter than a typical single bond ([∑rcov (C‒P) = 1.86 Å])55. These measurements suggest a pronounced electron conjugating character of the central moiety in 9ˉ, despite the non-planarity of the C(1)-P(1)-P(3)-C(3)-C(4)-P(2)-C(2) arrangement. Computational studies further validate this, illustrating that the π-electrons in HOMO and HOMO–2 are extensively delocalized across this chain (Supplementary Fig. 29).
Gibbs free energies in kcal/mol are given in parentheses.
To conclude, this study presents the synthesis of a carbene-supported triphosphorus anion. This anion, characterized by 5-center-6-electron π delocalization, showcases reactivity markedly divergent from previously known [P3]ˉ species. This facilitates the versatile functionalization at the central phosphorus atom of the [P3] unit, yielding a variety of unique [P3] derivatives. Significantly, while the stabilization of neutral main group species using carbenes has seen considerable advancement, the analogous strategy for isolating unusual anionic species remains nascent. We envision that a broader spectrum of anionic multinuclear compounds will be stabilized through proper carbene substitution, expanding the scope of their applications in modern synthetic chemistry.
Methods
Synthetic methods of [K(DME)]+3ˉ and 4 are as follows. More experimental and calculational details can be found in the Supplementary Information file.
[K(DME)]+3ˉ: A solution of KP(CN)2 (60 mg, 0.50 mmol) in THF (5 mL) was dropwise added to a solution of K+[(EtCAAC)P]ˉ (190 mg, 0.50 mmol) in THF (5 mL) at −20 oC. The mixture was stirred at −20 oC for 10 min. It was taken out of the cool bath and was allowed to RT. All volatiles were removed under reduced pressure. The brown yellow residue was redissolved in toluene (10 mL). Another batch of K+[(EtCAAC)P]ˉ (160 mg, 0.42 mmol) was added. The red mixture was stirred at 50 oC for 16 h. All volatiles were removed under reduced pressure. The deep brown solid was extracted with hexane (3 × 5 mL). The extraction was filtrated through celite. The combined filtrates were concentrated to 3 mL. Then, DME was slowly diffused into mixture to form deep brown crystalline solid at −30 oC. It was filtrated off on a frit, washed with cold hexane (−30 oC), and dried under vacuum to afford the title compound (272 mg, 0.32 mmol, 64%). Deep brown single crystals suitable for X-ray diffraction analysis were obtained from a hexane solution with the slow diffusion of THF into the mixture at −30 oC.
4: A red solution of [K(DME)]+3ˉ (42 mg, 0.05 mmol) and tBuCl (54 μL, 0.5 mmol) in THF (1 mL) was heated at 50 oC for 0.5 h to result a yellow solution. All the volatiles were removed under reduced pressure. The residue was extracted with hexane (3 × 0.3 mL), and the extractions were filtrated through a glass filter. The combined filtrates were concentrated to a minimum amount. The resulting yellow mixture was put in a freezer at −30 oC to give a yellow crystalline solid. The supernatant was decanted. The solid was washed with minimum amount of cold hexane (−30 oC) and dried under vacuum to afford the title compound (27.3 mg, 0.038 mmol, 76%). Colorless single crystals suitable for X-ray diffraction studies were obtained from a saturated pentane solution at −30 oC.
Data availability
Additional synthetic, spectroscopic, crystallographic, and computational data generated in this study are provided in the Supplementary Information file. Crystallographic data for the structures reported in this Article have been deposited at the Cambridge Crystallographic Data Centre, under deposition numbers CCDC 2362392 ({[K(DME)2(dioxane)0.5]+2−}2), 2362390 ([K2(THF)3]2+(3ˉ)2), 2362397 ([K(THF)2(18-C-6)]+3ˉ), 2362394 (4), 2362396 (5), 2362393 ([K(18-C-6)]+6ˉ), 2362391 ([K(18-C-6)]+7ˉ), 2362395 (8) and 2409851 ([K(crypt-222)]+9ˉ). Copies of the data can be obtained free of charge via https://www.ccdc.cam.ac.uk/structures/. All data are available from the corresponding author upon request. Source data are provided with this paper.
References
Power, P. P. Main-group elements as transition metals. Nature 463, 171–177 (2010).
Melen, R. L. Frontiers in molecular p-block chemistry: from structure to reactivity. Science 363, 479–484 (2019).
Wang, Y. & Robinson, G. H. Counterintuitive chemistry: carbene stabilization of zero-oxidation state main group species. J. Am. Chem. Soc. 145, 5592–5612 (2023).
Ghadwal, R. S. 1,3-imidazole-based mesoionic carbenes and anionic dicarbenes: pushing the limit of classical N-heterocyclic carbenes. Angew. Chem. Int. Ed. 62, e202304665 (2023).
Doddi, A., Peters, M. & Tamm, M. N-heterocyclic carbene adducts of main group elements and their use as ligands in transition metal chemistry. Chem. Rev. 119, 6994–7112 (2019).
Nesterov, V. et al. NHCs in main group chemistry. Chem. Rev. 118, 9678–9842 (2018).
Kim, Y. & Lee, E. Stable organic radicals derived from N-heterocyclic carbenes. Chem. Eur. J. 24, 19110–19121 (2018).
Arrowsmith, M. et al. Neutral zero-valent s-block complexes with strong multiple bonding. Nat. Chem. 8, 890–894 (2016).
Braunschweig, H. et al. Ambient-temperature isolation of a compound with a boron-boron triple bond. Science 336, 1420–1422 (2012).
Wang, Y. et al. A stable silicon(0) compound with a Si=Si double bond. Science 321, 1069–1071 (2008).
Mondal, K. C. et al. A triatomic silicon(0) cluster stabilized by a cyclic alkyl(amino) carbene. Angew. Chem. Int. Ed. 55, 3158–3161 (2016).
Lu, W., Li, Y. & Kinjo, R. Crystalline tetraatomic boron(0) species. J. Am. Chem. Soc. 141, 5164–5168 (2019).
Wang, Y. et al. Splitting molecular oxygen en route to a stable molecule containing diphosphorus tetroxide. J. Am. Chem. Soc. 135, 19139–19142 (2013).
Ota, K. & Kinjo, R. Zero-valent species of group 13–15 elements. Chem 8, 340–350 (2022).
Giffin, N. A. & Masuda, J. D. Reactivity of white phosphorus with compounds of the p-block. Coord. Chem. Rev. 255, 1342–1359 (2011).
Scheer, M., Balázs, G. & Seitz, A. P4 activation by main group elements and compounds. Chem. Rev. 110, 4236–4256 (2010).
Yoon, J. S., Abdellaoui, M., Gembicky, M. & Bertrand, G. A carbene-stabilized diphosphorus: a triple-bonded diphosphorus (P≡P) and a bis(phosphinidene) (P–P) transfer agent. Chem. Sci. 15, 15713–15716 (2024).
Wang, Y. et al. Carbene-stabilized diphosphorus. J. Am. Chem. Soc. 130, 14970–14971 (2008).
Doddi, A. et al. A modular approach to carbene-stabilized diphosphorus species. Dalton Trans. 46, 15859–15864 (2017).
Ho, L. P. et al. London dispersion interactions in pnictogen cations [ECl2]+ and [E=E]2+ (E=P, As, Sb) supported by anionic N-heterocyclic carbenes. Chem. Eur. J. 24, 18922–18932 (2018).
Bockfeld, D. & Tamm, M. Isolation of N-heterocyclic carbene-stabilized phosphorus and arsenic mononitride. Z. Anorg. Allg. Chem. 646, 866–872 (2020).
Kinjo, R., Donnadieu, B. & Bertrand, G. Isolation of a carbene-stabilized phosphorus mononitride and its radical cation (PN+.). Angew. Chem. Int. Ed. 49, 5930–5933 (2010).
Doddi, A., Bockfeld, D., Zaretzke, M.-K., Bannenberg, T. & Tamm, M. Isolation of carbene-stabilized arsenic monophosphide [AsP] and its radical cation [AsP]+. and dication [AsP]2+. Chem. Eur. J. 25, 13119–13123 (2019).
Ho, L. P., Zaretzke, M.-K., Bannenberg, T. & Tamm, M. Heteroleptic diphosphenes and arsaphosphenes bearing neutral and anionic N-heterocyclic carbenes. Chem. Commun. 55, 10709–10712 (2019).
Schmidpeter, A., Gebler, W., Zwaschka, F. & Sheldrick, W. S. The=PCN group as a pseudochalcogen; cyanophosphinidene-substituted heterocycles. Angew. Chem. Int. Ed. Engl. 19, 722–723 (1980).
Deb, R., Balakrishna, P. & Majumdar, M. Recent developments in the chemistry of Pn(I) (Pn=N, P, As, Sb, Bi) cations. Chem. Asian J. 17, e202101133 (2022).
Schwedtmann, K. et al. Synthesis and EPR/UV/Vis-NIR spectroelectrochemical investigation of a persistent phosphanyl radical dication. Angew. Chem. Int. Ed. 54, 11054–11058 (2015).
Henne, F. D., Dickschat, A. T., Hennersdorf, F., Feldmann, K. O. & Weigand, J. J. Synthesis of selected cationic pnictanes [LnPnX3–n]n+ (L = Imidazolium-2-yl; Pn = P, As; n = 1–3) and replacement reactions with pseudohalogens. Inorg. Chem. 54, 6849–6861 (2015).
Back, O., Donnadieu, B., Parameswaran, P., Frenking, G. & Bertrand, G. Isolation of crystalline carbene-stabilized P2-radical cations and P2-dications. Nat. Chem. 2, 369–373 (2010).
Naef, R. & Balli, H. Synthesis, structure and photochemical properties of 4, 4′, 7, 7′-tetra-substituted 1,1′, 3,3′-tetraethylbenzimidazolotriazatrimethine cyanines. Helv. Chim. Acta 61, 2958–2973 (1978).
Haslinger, S. et al. 2-azidoimidazolium ions captured by N-heterocyclic carbenes: azole-substituted triazatrimethine cyanines. Crystals 6, 40 (2016).
Winkelhaus, D., Holthausen, M. H., Dobrovetsky, R. & Stephan, D. W. Phosphine and carbene azido-cations: [(L)N3]+ and [(L)2N3]+. Chem. Sci. 6, 6367–6372 (2015).
Back, J. et al. Triazenyl radicals stabilized by N-heterocyclic carbenes. J. Am. Chem. Soc. 139, 15300–15303 (2017).
Böhme, M. D. et al. Synthesis of N-heterocyclic carbenes and their complexes by chloronium ion abstraction from 2-chloroazolium salts using electron-rich phosphines. Angew. Chem. Int. Ed. 61, e202202190 (2022).
Back, O. et al. N-heterocyclic carbenes versus transition metals for stabilizing phosphinyl radicals. Chem. Sci. 2, 858–861 (2011).
LaPierre, E. A. et al. Synthesis of a carbene-stabilized (diphospha)aminyl radical and its one electron oxidation and reduction to nonclassical nitrenium and amide species. J. Am. Chem. Soc. 145, 9223–9232 (2023).
Tondreau, A. M., Benkő, Z., Harmer, J. R. & Grützmacher, H. Sodium phosphaethynolate, Na(OCP), as a “P” transfer reagent for the synthesis of N-heterocyclic carbene supported P3 and PAsP radicals. Chem. Sci. 5, 1545–1554 (2014).
Holthausen, M. H., Surmiak, S. K., Jerabek, P., Frenking, G. & Weigand, J. J. [3+2] fragmentation of an [RP5Cl]+ cage cation induced by an N-heterocyclic carbene. Angew. Chem. Int. Ed. 52, 11078–11082 (2013).
Schwedtmann, K. et al. Formation of an imidazoliumyl-substituted [(LC)4P4]4+ tetracation and transition metal mediated fragmentation and insertion reaction (LC = NHC). Chem. Sci. 10, 6868–6875 (2019).
Royla, P. et al. Cationic phosphinidene as a versatile P1 building block: [LC–P]+ transfer from phosphonio–phosphanides [LC–P–PR3]+ and subsequent LC replacement reactions (LC = N-Heterocyclic Carbene). J. Am. Chem. Soc. 145, 10364–10375 (2023).
Balmer, M., Franzke, Y. J., Weigend, F. & von Hänisch, C. Low-valent group 14 phosphinidenide complexes [({SIDipp}P)2M] exhibit P–M pπ–pπ interaction (M=Ge, Sn, Pb). Chem. Eur. J. 26, 192–197 (2020).
Kulkarni, A. et al. Solid-state isolation of cyclic alkyl(amino) carbene (cAAC)-supported structurally diverse alkali metal-phosphinidenides. Chem. Eur. J. 27, 200–206 (2021).
Kundu, S. et al. Reagent for introducing base-stabilized phosphorus atoms into organic and inorganic compounds. J. Am. Chem. Soc. 140, 151–154 (2018).
Fitzpatrick, N. J., Groarke, P. J. & Nguyen, M. T. Molecular orbital study of the triphosphorus species (P3) and its metal complexes (P3)Co(CO)3 and (P3)Ni(C5H5). Polyhedron 11, 2517–2523 (1992).
Van Zee, R. J. & Weltner, W. ESR of the P3− radical: establishment of the electronic ground state. Chem. Phys. Lett. 300, 243–246 (1999).
Carette, J. & Kerwin, L. A study of red phosphorus with the mass spectrometer. Can. J. Phys. 39, 1300–1319 (1961).
Du, S., Hu, J., Chai, Z., Zhang, W.-X. & Xi, Z. Isolation and characterization of four phosphorus cluster anions P73–, P144–, P162– and P264– from the nucleophilic functionalization of white phosphorus with 1,4-dilithio-1,3-butadienes. Chin. J. Chem. 37, 71–75 (2019).
Peresypkina, E., Virovets, A. & Scheer, M. Organometallic polyphosphorus complexes as diversified building blocks in coordination chemistry. Coord. Chem. Rev. 446, 213995 (2021).
Giusti, L. et al. Coordination chemistry of elemental phosphorus. Coord. Chem. Rev. 441, 213927 (2021).
Cossairt, B. M., Piro, N. A. & Cummins, C. C. Early-transition-metal-mediated activation and transformation of white phosphorus. Chem. Rev. 110, 4164–4177 (2010).
Caporali, M., Gonsalvi, L., Rossin, A. & Peruzzini, M. P4 activation by late-transition metal complexes. Chem. Rev. 110, 4178–4235 (2010).
Thelen, V., Schmidt, D., Nieger, M., Niecke, E. & Schoeller, W. W. Synthesis, structure, and reactivity of a 2,3,4-triphosphapentadienide. Angew. Chem. Int. Ed. Engl. 35, 313–315 (1996).
Mei, Y., Yan, Z. & Liu, L. L. Facile synthesis of the dicyanophosphide anion via electrochemical activation of white phosphorus: an avenue to organophosphorus compounds. J. Am. Chem. Soc. 144, 1517–1522 (2022).
Schmidpeter, A. & Zwaschka, F. Dicynophosphide. Angew. Chem. Int. Ed. Engl. 16, 704–705 (1977).
Pyykkö, P. & Atsumi, M. Molecular double-bond covalent radii for elements Li–E112. Chem. Eur. J. 15, 12770–12779 (2009).
Uttendorfer, M. K., Hierlmeier, G., Balázs, G. & Wolf, R. Access to 1,2,3-triphospholide ligands by reduction of di-tert-butyldiphosphatetrahedrane. Dalton Trans. 53, 10113–10119 (2024).
van Ijzendoorn, B. & Mehta, M. Frontiers in the solution-phase chemistry of homoatomic group 15 Zintl clusters. Dalton Trans. 49, 14758–14765 (2020).
Bader, R. F. W., Atoms in molecules: a quantum theory. (Oxford University Press: 1990).
Zhao, L., Hermann, M., Holzmann, N. & Frenking, G. Dative bonding in main group compounds. Coord. Chem. Rev. 344, 163–204 (2017).
Savin, A., Nesper, R., Wengert, S. & Fässler, T. F. ELF: the electron localization function. Angew. Chem. Int. Ed. Engl. 36, 1808–1832 (1997).
Back, O., Henry-Ellinger, M., Martin, C. D., Martin, D. & Bertrand, G. 31P NMR chemical shifts of carbene–phosphinidene adducts as an indicator of the π-accepting properties of carbenes. Angew. Chem. Int. Ed. 52, 2939–2943 (2013).
Zhu, L. & Kinjo, R. Reactions of main group compounds with azides forming organic nitrogen-containing species. Chem. Soc. Rev. 52, 5563–5606 (2023).
Bednarek, C., Wehl, I., Jung, N., Schepers, U. & Bräse, S. The Staudinger ligation. Chem. Rev. 120, 4301–4354 (2020).
Kunzmann, R. et al. A synthetic equivalent for unknown 1,3-zwitterions?—A K/OR phosphinidenoid complex with an additional Si–Cl function. Chem. Commun. 56, 3899–3902 (2020).
Yang, T., Andrada, D. M. & Frenking, G. Dative versus electron-sharing bonding in N-oxides and phosphane oxides R3EO and relative energies of the R2EOR isomers (E = N, P; R = H, F, Cl, Me, Ph). A theoretical study. Phys. Chem. Chem. Phys. 20, 11856–11866 (2018).
Mirabello, V. et al. Stabilization of the triphosphallyl ligand η3-P3{P(O)H} at iridium via alkaline activation of P4. Chem. Asian J. 8, 3177–3184 (2013).
Reichl, S. et al. Reactivity of [Cp*Fe(η5-As5)] towards carbenes, silylenes and germylenes. Angew. Chem. Int. Ed. 63, e202316117 (2024).
Isenberg, S. et al. Bis-[3] ferrocenophanes with central >E−E’<Bonds (E, E’=P, SiH): preparation, properties, and thermal activation. ChemistryOpen 8, 1235–1243 (2019).
Acknowledgements
We acknowledge financial support from the National Natural Science Foundation of China [22201122 (Y.M.), 22350004 (L.L.L.) and 22271132 (L.L.L.)], Guangdong Innovation & Entrepreneurial Research Team Program [2021ZT09C278 (L.L.L.)] and Guangdong Basic and Applied Basic Research Foundation [2024A1515010842 (J.L.)]. We also acknowledge the assistance of SUSTech Core Research Facilities. The theoretical work was supported by the Center for Computational Science and Engineering at SUSTech. We thank Baixu Ma and Prof. Dr. Lizhi Tao at SUSTech for their assistance in the measurement and analysis of EPR spectra.
Author information
Authors and Affiliations
Contributions
Y.M. and L.L.L. conceptualized and supervised the project. Y.M. and X-Y.H. performed the experimental work. Y.M. performed the computational work. Y.M., X-Y.H., J.L., M.L. and Q.L. performed the X-ray crystallographic analyses. C.Y. performed 31P NMR simulation. Y.M. and L.L.L. wrote the paper with input from all authors. All authors discussed the results in detail and commented on the paper.
Corresponding authors
Ethics declarations
Competing interests
The authors declare no competing interests.
Peer review
Peer review information
Nature Communications thanks the anonymous reviewer(s) for their contribution to the peer review of this work. A peer review file is available.
Additional information
Publisher’s note Springer Nature remains neutral with regard to jurisdictional claims in published maps and institutional affiliations.
Supplementary information
Source data
Rights and permissions
Open Access This article is licensed under a Creative Commons Attribution-NonCommercial-NoDerivatives 4.0 International License, which permits any non-commercial use, sharing, distribution and reproduction in any medium or format, as long as you give appropriate credit to the original author(s) and the source, provide a link to the Creative Commons licence, and indicate if you modified the licensed material. You do not have permission under this licence to share adapted material derived from this article or parts of it. The images or other third party material in this article are included in the article’s Creative Commons licence, unless indicated otherwise in a credit line to the material. If material is not included in the article’s Creative Commons licence and your intended use is not permitted by statutory regulation or exceeds the permitted use, you will need to obtain permission directly from the copyright holder. To view a copy of this licence, visit http://creativecommons.org/licenses/by-nc-nd/4.0/.
About this article
Cite this article
Mei, Y., He, XY., Li, J. et al. Carbene-supported triphosphorus anion. Nat Commun 16, 2321 (2025). https://doi.org/10.1038/s41467-025-57660-6
Received:
Accepted:
Published:
Version of record:
DOI: https://doi.org/10.1038/s41467-025-57660-6





![Fig. 3: Single-crystal X-ray diffraction studies of [K2(THF)3]2+(3ˉ)2 and [K(THF)2(18-C-6)]+3ˉ at 100 K with thermal ellipsoids at the 50% probability.](http://media.springernature.com/lw685/springer-static/image/art%3A10.1038%2Fs41467-025-57660-6/MediaObjects/41467_2025_57660_Fig3_HTML.png)

![Fig. 5: Reactivity studies of [K(DME)]+3ˉ.](http://media.springernature.com/lw685/springer-static/image/art%3A10.1038%2Fs41467-025-57660-6/MediaObjects/41467_2025_57660_Fig5_HTML.png)

