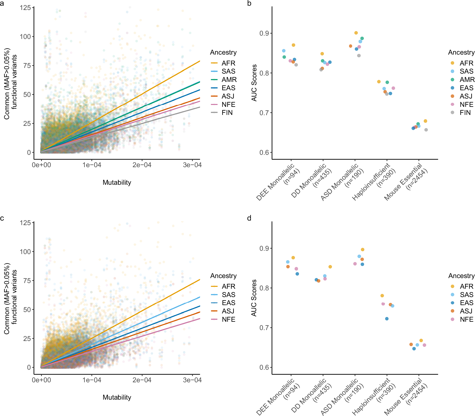
Fig. 1: Ancestry group-specific RVIS in gnomAD and UKB.
From: Diverse ancestral representation improves genetic intolerance metrics

a Scatter plot illustrating the regression of common (MAF > 0.05%) functional variants on mutability for seven different ancestry groups in gnomAD. The X- and Y-axes are capped to remove outlier genes. b AUC-ROC values of the ancestry group-specific RVIS in gnomAD for predicting five gene lists. c Regression lines of common (MAF > 0.05%) functional variants versus mutability for five different ancestry groups in the UKB. d AUC-ROC values of the ancestry group-specific RVIS in the UKB for predicting the following five gene lists. AFR African, AMR Admixed American, ASJ Ashkenazi Jewish, EAS East Asian, FIN Finnish, NFE non-Finnish European, SAS South Asian, DEE developmental and epileptic encephalopathy, DD developmental delay, ASD autism spectrum disorder.