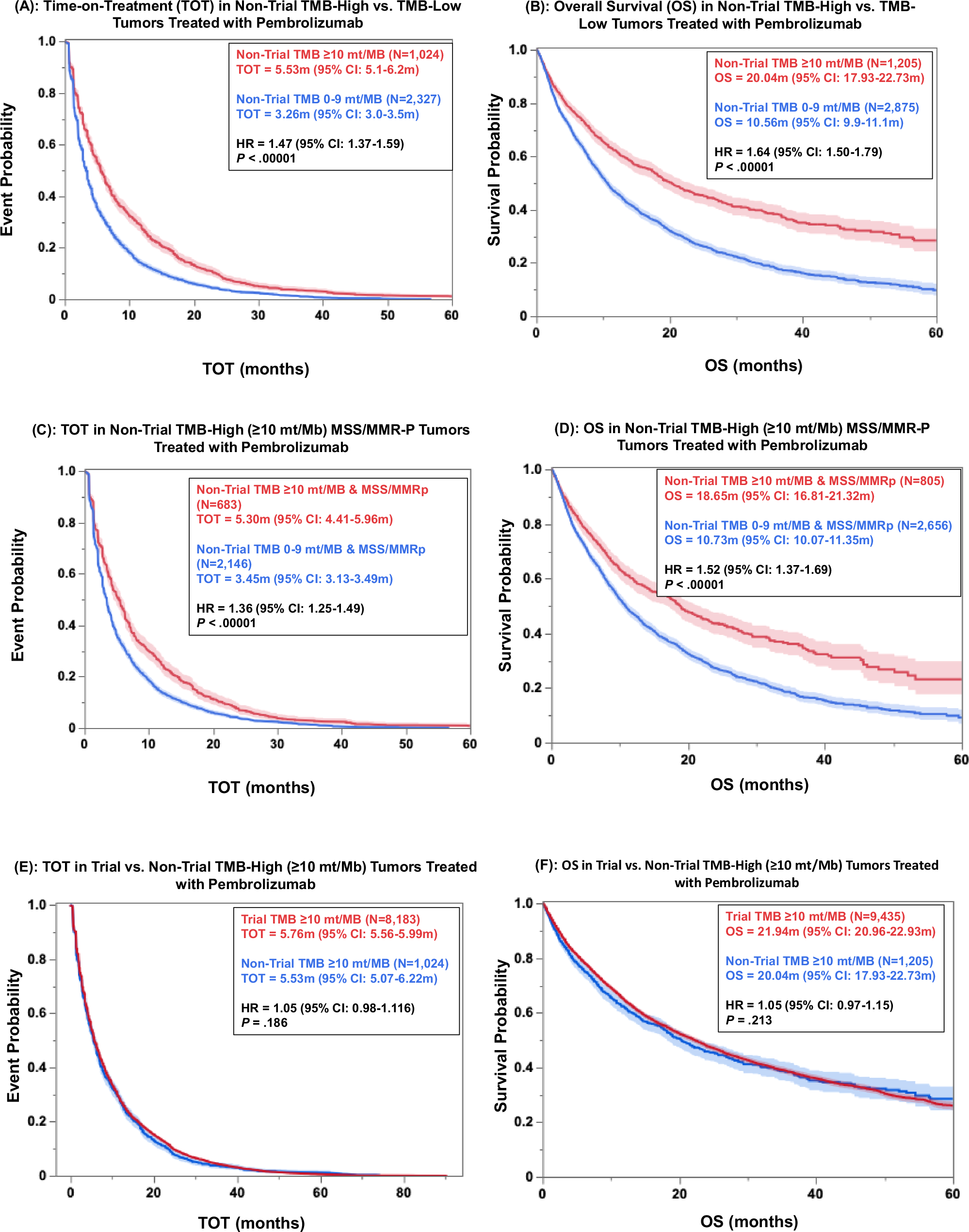
Fig. 5: Significant pembrolizumab benefit in non-clinical trial investigated tumor types.
From: Real-world evidence provides clinical insights into tissue-agnostic therapeutic approvals

A, B Time-on-treatment (TOT) with pembrolizumab (A) and overall survival (OS) from start of pembrolizumab (B) in patients with non-trial investigated tumor types (KEYNOTE-158; Cristescu et al.18), comparing patients with TMB-High tumors (red lines; n = 1024 for TOT and n = 1025 for OS) and TMB-Low tumors (blue lines, n = 2327 for TOT and n = 2875 for OS). C, D Pembrolizumab TOT (C) and OS (B) in patients with non-trial investigated tumor types, comparing the MSS/MMRp subset of patients with TMB-High tumors (red lines; n = 683 for TOT and n = 805 for OS) and TMB-Low tumors (blue lines; n = 2146 for TOT and n = 2656 for OS). E, F Pembrolizumab TOT (E) and OS (F) for patients with TMB-High tumors, comparing trial investigated tumor types (red lines; n = 8183 for TOT and n = 9435 for OS) with non-trial tumor types (blue lines; n = 1024 for TOT and n = 1205 for OS). The shaded area surrounding the lines indicates 95% CI. HRs and P values were calculated using Cox Proportional Hazards model and log-rank test, respectively. HR hazard ratio, CI confidence interval.