Abstract
Energy level mismatches between semiconductors and cocatalysts often induce carrier recombination, limiting photocatalytic and photoelectrochemical (PEC) efficiency. Here, we integrate Pt nanocluster-Fe single-atom pairs with CuO to regulate both solid-solid and solid-liquid interfaces in PEC systems. Experimental and theoretical analyses reveal that an Ohmic contact at the CuO/Pt interface accelerates electron extraction, while Pt-to-Fe charge transfer enhances oxygen reduction at Fe sites, collectively boosting reaction kinetics. Leveraging this, we construct a PEC biosensor exploiting chelating effect of glyphosate on CuO to impede electron transfer, achieving a detection limit of 0.41 ng/mL. This interface engineering strategy advances cocatalyst design for enhanced energy conversion and sensing applications by simultaneously addressing carrier dynamics and interfacial reaction barriers.
Similar content being viewed by others
Introduction
Photoelectrochemical (PEC) techniques have emerged as advanced approaches for driving chemical reactions using solar and electric energy1,2,3, offering promising strategies for energy conversion4,5,6 and quantitative detection7,8. Among them, photoelectrodes composed of semiconductors and cocatalysts have garnered significant attention due to their ability to mitigate photogenerated carrier recombination9,10,11, facilitate photogenerated charge separation and transfer12,13,14, and enhance reaction kinetics at the surface15,16,17. However, the energy level mismatch between semiconductors and cocatalysts poses challenges in effectively extracting photogenerated carriers to the active sites of cocatalysts, resulting in substantial carrier recombination at the semiconductor/cocatalyst interface and compromising the thermodynamic driving force for interfacial reactions (Fig. 1a)18,19. Therefore, there is a need to regulate the semiconductor/cocatalyst interface to achieve rapid carrier extraction and improved interfacial reaction kinetics.
a Schematic diagrams of the design principles for single semiconductor and semiconductor-cocatalyst in previous studies. b Design principles of photoelectrodes for dual interface modulation strategies.
The electron extraction layer serves as a crucial element in enhancing electron extraction20,21,22 and impeding hole diffusion23,24,25, leading to a substantial improvement in the photoelectric conversion efficiency of PEC cells26,27,28,29. Typically, this layer mitigates charge recombination by establishing a direct pathway for electron transfer, enhancing charge separation efficiency, and strengthening the overall quality of the interface between the semiconductor and the cocatalyst30,31,32,33,34. However, the effective implementation of an electron extraction layer at the semiconductor-cocatalyst interface presents notable challenges. This layer necessitates precise energy level alignment with both the semiconductor and the cocatalyst to enable the smooth transit of electrons from the semiconductor to the cocatalyst. The underlying interplay of electron energy states between these components is pivotal for ensuring unhindered electron flow across the interface. Moreover, the potential electronic interactions between the electron extraction layer and the cocatalyst, capable of influencing interface reaction kinetics, are commonly overlooked35,36,37,38. Hence, the strategic design of advanced electron extraction layer materials to construct an electron transfer highway and synergistically boost interfacial reactions holds paramount importance.
In this study, we introduce a novel electron extraction layer strategy that integrates platinum nanoclusters and iron single-atom catalysts (PtNC/Fe-N-C) with a semiconductor to address the interface mismatch problem (Fig. 1b). Upon contact, an Ohmic contact is formed between CuO and platinum nanoclusters (PtNC), facilitating efficient carrier extraction from the semiconductor. Additionally, the Fe single-atom sites in the carbon supports serve as robust anchors for PtNCs, establishing strong interactions that provide a unique Pt-Fe charge transfer pathway and accelerate the interfacial oxygen reduction reaction (ORR) kinetics. Through a combination of experimental investigations and density functional theory (DFT) calculations, we demonstrate that CuO@PtNC/Fe-N-C achieves dual interfacial regulation of the solid-solid and solid-liquid interface properties in the PEC process, resulting in enhanced PEC performance. Moreover, we extend the application of this advanced PEC platform to the development of a sensing system for the sensitive detection of glyphosate pesticide. The chelating effect of glyphosate on CuO hinders electron transfer from the semiconductor to the cocatalyst, providing a unique mechanism for glyphosate detection. Leveraging the unique properties of nanocluster-coupled single-atom catalysts to modulate the PEC interface offers valuable insights into the PEC process. This approach opens up new avenues for improving charge transfer and separation in photocatalytic and PEC systems, potentially leading to significant advancements in the field of photoelectrocatalysis and photocatalysis.
Results
Synthesis and characterization
The synthesis of the PtNC/Fe-N-C cocatalyst is schematically illustrated in Fig. 2a. The process begins with the fabrication of Fe-N-C single-atom catalysts via an etching pyrolysis technique, where iron salts and D-glucosamine serve as precursors, while silica colloids and zinc chloride function as templating agents. This procedure yields a porous Fe-N-C structure that facilitates the adsorption of Pt precursors, which are subsequently reduced in situ to form the PtNC/Fe-N-C cocatalyst. CuO nanosheets are synthesized (Fig. 2b) and combined with the PtNC/Fe-N-C cocatalysts through physical blending with strong electrostatic interaction to generate the photoelectrode materials (Supplementary Fig. 1). Transmission electron microscopy (TEM) was employed to investigate the microstructural characteristics of the synthesized samples. Figure 2c presents a TEM micrograph of Fe-N-C, showcasing a hierarchical arrangement of spherical pores. The selected area electron diffraction (SAED) pattern, inset in Fig. 2c, confirms the amorphous nature of the Fe-N-C material. Aberration-corrected high-angle annular dark-field scanning transmission electron microscopy (AC-HAADF-STEM) was utilized to reveal the atomic-scale distribution of Fe species on the carbon supports, where isolated bright spots, indicative of individual Fe atoms anchored to the carbon substrate, are observed (Fig. 2d). For the PtNC/Fe-N-C catalyst, TEM analysis reveals well-dispersed Pt clusters, each less than 10 nm in size, on the carbon substrate (Fig. 2e, inset). High-resolution transmission electron microscopy (HRTEM) images of both Fe-N-C and PtNC/Fe-N-C (Supplementary Fig. 2a, b) show no evidence of Fe nanoparticles or clusters. This observation is further supported by X-ray diffraction (XRD) patterns (Supplementary Fig. 3a), which display no metallic Fe diffraction peaks, confirming the atomic dispersion of Fe. As shown in Supplementary Fig. 2c, the integration of CuO and PtNC/Fe-N-C is confirmed. The XRD patterns of CuO@Fe-N-C and CuO@PtNC/Fe-N-C composites (Supplementary Fig. 3b, c) exhibit diffraction peaks consistent with CuO (PDF#45-0937). HRTEM analysis demonstrates intimate contact between PtNC/Fe-N-C and the CuO (111) lattice plane, with a lattice spacing of 0.224 nm (Fig. 2f). Energy-dispersive spectroscopy (EDS) elemental mapping of CuO@PtNC/Fe-N-C confirms the spatial distribution of C, Cu, O, N, Fe, and Pt within the composite (Fig. 2g and Supplementary Fig. 2d). Inductively coupled plasma (ICP) spectroscopy was employed to quantify the elemental composition of the PtNC/Fe-N-C catalyst, revealing Fe and Pt contents of 1.45 wt% and 1.51 wt%, respectively (Supplementary Table 1).
a Schematic representation of the preparation of PtNC/Fe-N-C. b TEM image of CuO. (c) TEM image of Fe-N-C. Inset, SAED pattern of Fe-N-C. d Aberration-corrected HAADF-STEM image of Fe-N-C. e TEM image of PtNC/Fe-N-C. Inset, the size distribution of PtNC. f HRTEM image of CuO@PtNC/Fe-N-C. g Element mapping images of C, N, Fe, Cu, O, and Pt of CuO@PtNC/Fe-N-C. Source data for Fig. 2 are provided as a Source Data file.
We probed the electronic interactions between PtNC and the Fe-N-C substrate using X-ray absorption spectroscopy. Fe K-edge X-ray absorption near-edge structure (XANES) spectra reveal a negative shift for PtNC/Fe-N-C compared to Fe-N-C (Fig. 3a), indicating strong metal-support interactions with Fe atoms acting as electron acceptors. Complementary Pt L3-edge XANES spectra showed a positive edge shift and higher white line intensity for PtNC/Fe-N-C relative to Pt foils (Fig. 3b), suggesting an increased Pt valence state. These observations collectively point to electron transfer from PtNC to Fe single atoms. Extended X-ray absorption fine structure (EXAFS) spectroscopy at both Fe K and Pt L3-edges further elucidated the metal coordination environment in PtNC/Fe-N-C. The Fe K-edge EXAFS spectrum exhibits a single peak at ~1.5 Å, characteristic of Fe-N bonding, confirming the single-atom state of Fe (Fig. 3c). Further analysis reveals that each Fe atom in Fe-N-C is coordinated with four N atoms (Supplementary Fig. 4a, b and Supplementary Fig. 2). For PtNC/Fe-N-C, the Pt EXAFS spectrum shows a negative shift of the main peak from 2.64 Å (Pt foil) to 2.54 Å, indicative of combined Pt-Pt and Pt-Fe interactions (Fig. 3d). An additional weak peak at 1.5 Å suggested the presence of Pt-N/O bonding39,40,41. EXAFS analysis, refined through least-squares fitting (Supplementary Fig. 4c, d, Supplementary Table 2), indicates the direct bonding of Pt and Fe. Complementary wavelet transform (WT) analysis corroborates the presence of Pt-Fe coordination pathways within the PtNC/Fe-N-C architecture (Fig. 3e). These findings suggest a robust interaction between Pt nanoclusters and Fe-N-C supports, likely enhancing the extraction and transport of photo-generated charge carriers to the catalytic single-atom sites. Based on these experimental insights, we propose an atomic model for the CuO@PtNC/Fe-N-C system, wherein Pt nanoclusters are anchored to the Fe-N-C framework via Pt-Fe bonds and the optimized structure is shown in Supplementary Data 1 and Supplementary Fig. 5.
a Fe K-edge XANES spectra. Inset is the magnified pre-edge XANES region. b Pt L3-edge XANES spectra. Inset, the magnified pre-edge XANES region. c Nonphase-corrected Fourier-transformed EXAFS spectra at Fe K-edge. d Nonphase-corrected Fourier-transformed EXAFS spectra at Pt L3-edge. e Wavelet transforms of the EXAFS spectra of Pt foil, PtO2, and PtNC/Fe-N-C. Source data for Fig. 3 are provided as a Source Data file.
The electronic properties and chemical states of the catalysts were further investigated using X-ray photoelectron spectroscopy (XPS), providing deeper insights into the interactions within the CuO@PtNC/Fe-N-C composite. As illustrated in Supplementary Fig. 6a, the presence of C, Cu, O, N, Fe, and Pt elements is confirmed, consistent with the findings from EDS. The binding energies were calibrated against the C 1 s peak at 284.8 eV (Supplementary Fig. 6b). Notably, the Cu 2p (Supplementary Fig. 7a, b), O 1 s (Supplementary Fig. 7c), and Pt 4 f (Supplementary Fig. 7d) spectra for CuO@PtNC, CuO@Fe-N-C and CuO@PtNC/Fe-N-C exhibit positive shifts in binding energies when compared to pristine CuO. In contrast, negative shifts are observed in the N 1 s (Supplementary Fig. 8a) and Fe 2p (Supplementary Fig. 8b) spectra for these samples42,43,44,45. These opposing shifts in binding energies are indicative of a pronounced interaction between CuO and PtNC/Fe-N-C. Specifically, the Pt 4 f binding energy in CuO@PtNC/Fe-N-C exhibits a substantial increase of 1.58 eV compared to PtNC/Fe-N-C, implying that the formation of an Ohmic contact between PtNC and CuO facilitates efficient electron extraction from the CuO semiconductor to the PtNC. Additionally, the Fe 2p binding energy in CuO@PtNC/Fe-N-C shows a significant negative shift of 0.1 eV relative to CuO@Fe-N-C, suggesting enhanced electron transfer from PtNC to the Fe-N-C supports, driven by the strong interaction between PtNC and Fe-N-C.
PEC performance investigation
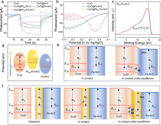
To elucidate the impact of dual interface modulation on PEC performance, we investigated the transient photocurrent response of CuO@PtNC/Fe-N-C photocathodes in PBS solution (pH=7.4) under xenon lamp illumination. As depicted in Fig. 4a, the CuO@PtNC/Fe-N-C system exhibits a pronounced transient photocurrent of approximately 47 μA, significantly surpassing the photocurrents observed for CuO (2 μA), CuO@N-C (16 μA), CuO@PtNC/N-C (24 μA), and CuO@Fe-N-C (29 μA). Further analysis using linear sweep voltammetry (LSV) (Fig. 4b) reveals that the incorporation of PtNC/Fe-N-C cocatalysts onto the p-type CuO semiconductor markedly enhances its photocurrent at –0.4 V (vs. Ag/AgCl), outperforming unmodified CuO. To gain deeper insights into the underlying enhancement mechanisms, we first examined the optical absorption properties using ultraviolet-visible (UV-vis) diffuse reflectance spectroscopy. As shown in Supplementary Fig. 9, the band gap energy (Eg) values for CuO, CuO@Fe-N-C, and CuO@PtNC/Fe-N-C, derived from Tauc plots of (αhʋ)2 versus photon energy (hʋ), remain consistent around 1.47 eV. This suggests that the incorporation of PtNC/Fe-N-C does not significantly alter the intrinsic light absorption characteristics of CuO. We then explored the solid-state electronic properties to assess the electron extraction capabilities of PtNC/Fe-N-C on CuO. Ultraviolet photoelectron spectroscopy (UPS) was employed to determine the Fermi levels (EF) of CuO, Fe-N-C, and PtNC/Fe-N-C (Fig. 3c and Supplementary Fig. 10). The work functions (Φ) were measured to be approximately 5.37 eV for CuO, 5.29 eV for Fe-N-C, and 5.11 eV for PtNC/Fe-N-C. Correspondingly, the EF values were found to be −0.87, −0.79, and −0.61 eV, respectively (Fig. 4d)46,47. As a result, PtNC/Fe-N-C exhibits a higher EF than that of Fe-N-C and CuO, indicating that PtNC has the highest EF. Thus, a downward bending of CuO energy bands is induced after contact with PtNC/Fe-N-C and Fe-N-C, forming a space-charge layer until EF equilibrium is achieved (Fig. 4e, f)48. The increased EF offset between CuO and PtNC can provide a larger driving force for the transfer of photoelectrons from CuO to PtNC/FeN-C, thereby enhancing carrier separation within the CuO semiconductor. Additionally, the incorporation of PtNC aids in the formation of an Ohmic contact between CuO and PtNC/Fe-N-C, reducing resistance and promoting the migration of photogenerated electrons from CuO to Fe-N-C.This conclusion is then revealed by the current-voltage (I-V) curve measurements. In general, Ohmic contacts usually exhibit a linear I-V relationship, where the current is proportional to the applied voltage and symmetric under forward and reverse bias. As shown in Supplementary Fig. 11, the I-V measurements revealed that the CuO@PtNC heterostructure exhibits distinctly linear characteristics, in contrast to pristine CuO, which indicates the formation of an Ohmic contact at the CuO@PtNC interface with a lower contact resistance49.
a Photocurrent responses for CuO, CuO@Fe-N-C, and CuO@PtNC/Fe-N-C. b LSV of CuO, CuO@Fe-N-C and CuO@PtNC/Fe-N-C. c UPS of PtNC/Fe-N-C. d Schematic energy band diagram before contact. Energy band diagrams of CuO@Fe-N-C (e) and CuO@PtNC/Fe-N-C (f) before and after contact. Evac: Vacuum level, ECB: Conduction Band Bottom, EVB: Valence Band Top, ΦS: Work Function of Semiconductor, ΦC: Work Function of Cocatalyst, EF,S: Fermi Level of Semiconductor, EF,C: Fermi Level of Cocatalyst. Source data for Fig. 4 are provided as a Source Data file.
This effect is further corroborated by steady-state photoluminescence spectroscopy (Supplementary Fig. 12), which shows a marked reduction in fluorescence intensity for CuO@PtNC/Fe-N-C compared to CuO and CuO@Fe-N-C, indicating superior separation of photogenerated electron-hole pairs in the CuO@PtNC/Fe-N-C system. Then, three-dimensional surface potential distribution maps are obtained from in situ Kelvin probe force microscopy (KPFM) (Supplementary Fig. 13). These maps reveal a pronounced surface potential distribution for CuO@PtNC/Fe-N-C compared to CuO and CuO@Fe-N-C, both in darkness and under illumination. Linear scanning curves indicate surface potentials of 44, 61, and 79 mV for CuO, CuO@Fe-N-C, and CuO@PtNC/Fe-N-C in darkness, respectively50. These results suggest that CuO@PtNC/Fe-N-C exhibits the strongest built-in electric field, serving as a robust driving force for efficient carrier separation and injection. Upon illumination, the surface potentials further increase by 6, 13, and 26 mV, respectively, indicating that photogenerated electrons are driven by the built-in electric field from CuO to the cocatalyst, thereby enhancing the surface potentials of the heterojunctions. To further investigate the impact of PtNC incorporation on interlayer charge transfer between CuO and Fe-N-C, we calculated the three-dimensional charge density differences (Supplementary Fig. 14). As expected, the presence of PtNC induces electron depletion in the CuO layer, while the PtNC/Fe-N-C region exhibits significantly higher charge accumulation compared to Fe-N-C alone. These findings confirm that PtNC enhances electron extraction from the CuO semiconductor. The introduction of PtNC establishes an Ohmic contact with CuO, effectively modulating the solid-solid interface and facilitating the extraction of photogenerated electrons from CuO to the cocatalyst.
Insights on interfacial reaction kinetics
To further elucidate the influence of PtNC on PEC interfacial reactions, we first examined the electrochemical ORR performance of Fe-N-C and PtNC/Fe-N-C in O2-saturated 0.1 M PBS at room temperature. The pronounced ORR peaks observed in the cyclic voltammetry (CV) curves underscore their exceptional catalytic activity at the interface (Supplementary Fig. 15a). ORR polarization curves, recorded in an O2-saturated 0.1 M PBS electrolyte at 1600 rpm (Supplementary Fig. 15b), reveal a positive shift in the half-wave potential (E1/2) of PtNC/Fe-N-C (0.029 V) compared to Fe-N-C (0.019 V), indicating that PtNC/Fe-N-C exhibits superior ORR catalytic activity. Moreover, the average electron transfer number and peroxide yield were calculated for the various cocatalysts (Supplementary Fig. 15c, d). The higher average electron transfer number observed for PtNC/Fe-N-C suggests a more efficient facilitation of the 4e⁻ ORR pathway, resulting in a reduced H2O2 yield. CuO photoelectrodes modified with PtNC/Fe-N-C (Fig. 5a) exhibit superior ORR performance compared to CuO@Fe-N-C, attributed to the modification of the local atomic environment of Fe-N-C by PtNC, which significantly enhances electron injection efficiency at the electrode-electrolyte interface. LSV curves of various composites were evaluated in atmospheres saturated with either O2 or N2, under both dark and illuminated conditions. As expected, the photocurrent of CuO@PtNC/Fe-N-C in N2-saturated electrolyte is less pronounced than in O2-saturated electrolyte (Supplementary Fig. 16c), indicating that ORR at the solid-liquid interface enhances photoelectron transfer at the solid-solid interface between the semiconductor and the cocatalyst. The lower ORR efficiency observed in CuO and CuO@Fe-N-C is reflected in their reduced photocurrents relative to CuO@PtNC/Fe-N-C (Supplementary Fig. 16a, b), highlighting the role of PtNC/Fe-N-C in promoting photoelectron consumption at the photocathode surface. The enhanced ORR performance of the PtNC/Fe-N-C structure is further corroborated by density functional theory (DFT) calculations. As shown in Supplementary Data 1, Fig. 5b,c, the adsorption energy of O2 molecules on the CuO@PtNC/Fe-N-C surface (-1.72 eV) is significantly stronger than that on the CuO@Fe-N-C surface (−1.37 eV), indicating that the robust metal-support interaction in CuO@PtNC/Fe-N-C more effectively facilitates O2 activation during the interfacial reaction. This is further evidenced by the elongation of the O-O bond length on the CuO@PtNC/Fe-N-C surface (1.296 Å) compared to that on CuO@Fe-N-C (1.295 Å). Bader charge analysis of the adsorbed oxygen molecules (δe, oxygen <0) reveals that CuO@PtNC/Fe-N-C induces greater electron transfer from the surface to the oxygen molecule, with a transfer of 0.54 e for O2|CuO@PtNC/Fe-N-C, compared to 0.47 e for O2|CuO@Fe-N-C. Additionally, plane-averaged charge density difference analysis along the Z-direction (Supplementary Fig. 17), based on the 3D charge density difference, confirms that electrons are more effectively transferred across the interface from CuO@PtNC/Fe-N-C to the O2 molecule.
a The ORR polarization curves of CuO, CuO@Fe-N-C, and CuO@PtNC/Fe-N-C in 0.1 M PBS (pH = 7.4). Theoretical calculations of O2 adsorption and charge density differences on (b) CuO@Fe-N-C and (c) CuO@PtNC/Fe-N-C are presented. The blue and yellow isosurfaces depict charge accumulation and depletion in space, respectively. d EPR spectra at room temperature of the samples containing 0.03 mM TEMPO in blank, CuO, CuO@Fe-N-C, and CuO@PtNC/Fe-N-C. All the spectra were recorded after 2 min irradiation. e Normalized SECM approach curves in the feedback mode with the Pt UME approaching different samples with the redox mediator 2 mM [Fe(CN)6]4− under illumination, rT = 12.5 μm. f Rate constant (Keff) of different samples under light and dark conditions. Dual interface modulation strategies for different types of semiconductors: (g) p-type semiconductor, (h) n-type semiconductor. CB Conduction Band, VB Valence Band. Source data for Fig. 5 are provided as a Source Data file.
Further investigation was conducted to elucidate the effect of PtNC on electron injection at the PEC solid-liquid interface. The flat band potential (Eflat) was quantified by the Mott-Schottky (M-S) technique at 1000 Hz in PBS solution (pH=7.4) (Supplementary Fig. 18). Upon modification of CuO (1.3 eV) with the PtNC/Fe-N-C cocatalyst, the Eflat value exhibits a notable negative shift to 0.87 eV, compared to 1.03 eV for CuO@Fe-N-C. This shift in Eflat suggests an increase in EF and a corresponding downward bending of the CuO energy band within the PEC system51,52. This finding is consistent with the energy band bending resulting from the Fermi level disparities, as discussed earlier. The pronounced band bending observed in CuO@PtNC/Fe-N-C indicates more efficient utilization of electrons in the conduction band for O2 activation in PBS solution, thereby accelerating ORR kinetics at the PEC solid-liquid interface. The role of PtNC in modulating the solid-liquid interface is further corroborated by electrochemical impedance spectroscopy (EIS) measurements. The Nyquist plot (Supplementary Fig. 19) reveals a significant reduction in the charge transfer resistance arc diameter for CuO@PtNC/Fe-N-C, indicative of more efficient charge transfer at the solid-liquid interface. This enhancement is attributed to the ability of PtNC to accelerate electron transfer and structurally modulate the Fe single-atom site, thereby significantly boosting interfacial ORR activity.
Furthermore, electron paramagnetic resonance (EPR) and spin-labeling techniques were utilized to evaluate the reduction behavior of photoelectrons in the samples. The reduction of 2,2,6,6-tetramethylpiperidin-1-oxo (TEMPO) by photoelectrons to hydroxylamine (TEMPOH) results in the quenching of EPR signals, providing a quantitative measure of photoelectron reactivity. TEMPO was employed to assess the reactivity of photoelectrons generated by the photoexcitation of CuO, CuO@Fe-N-C, and CuO@PtNC/Fe-N-C. The EPR spectrum of TEMPO displayed a characteristic three-peak pattern with an intensity ratio of 1:1:1, with negligible intensity variation upon mixing with the samples before irradiation (Supplementary Fig. 20)53. However, after two minutes of irradiation, a rapid decrease in the EPR signal intensity of TEMPO is observed, indicating the reduction of spin-labeled TEMPO to an EPR-silent product by the photoelectrons (Fig. 5d). The most pronounced decrease in EPR signal intensity occurs in the CuO@PtNC/Fe-N-C system, suggesting that a greater number of photoelectrons participate in the photoreduction reaction at the solid-liquid interface. The reaction kinetics of photogenerated electrons in CuO, CuO@Fe-N-C, and CuO@PtNC/Fe-N-C were further probed using scanning electrochemical microscopy (SECM) in feedback mode. In this study, [Fe(CN)6]4− was employed as a redox mediator, initially characterized at a Pt ultramicroelectrode (UME) poised at ET = 0.6 V vs. Ag/AgCl, where it was oxidized to [Fe(CN)6]3-. The resulting [Fe(CN)6]3- species diffused to the photocathode surface, where it was reduced back to [Fe(CN)6]4- by photogenerated electrons. Probe approach curves (PACs) under illumination (Fig. 5e) reveal a pronounced positive feedback current for CuO@PtNC/Fe-N-C, significantly higher than that observed for CuO and CuO@Fe-N-C. In contrast, the proximity curves without illumination show markedly reduced feedback, underscoring the crucial role of photoelectrons in the process (Supplementary Fig. 21). The effective multiphase charge transfer rate constant (Keff) was derived from data fitting (Supplementary Table 3) and depicted in Fig. 5f. The solid-liquid interfacial charge transfer rate for CuO@PtNC/Fe-N-C (Keff = 3.65) is found to be 4.6 and 3.1 times greater than that for CuO (Keff = 0.79) and CuO@Fe-N-C (Keff = 1.17), respectively. These findings highlight the pivotal role of PtNC in modulating the Fe-N-C interface to enhance the kinetics of solid-liquid interfacial reactions.
To broaden our understanding of the dual-interface modulation strategy achieved through charge extraction layers, we propose and discuss distinct design principles for both p-type and n-type semiconductors. As illustrated in Fig. 5g, for p-type semiconductors within the semiconductor-electron extraction layer-cocatalyst triad, the electron extraction layer should maintain the highest band structure and EF. Upon contact, the band bending in the semiconductor intensifies, facilitating electron transfer from the semiconductor to the electron extraction layer. Subsequently, due to charge density differentials, electrons on the extraction layer can further migrate to the cocatalyst, establishing a stepwise electron transfer pathway that enhances photogenerated electron-hole separation. Conversely, for n-type semiconductors (Fig. 5h), within the semiconductor-hole extraction layer-cocatalyst system, the hole extraction layer should maintain the lowest band structure and EF. Upon contact, the upward band bending in the semiconductor intensifies, promoting electron transfer from the semiconductor to the hole extraction layer. Subsequently, owing to charge density differentials, holes on the extraction layer can further migrate to the cocatalyst, driving more efficient oxidation reactions. Therefore, the strategic design of charge extraction layers proves crucial for optimizing charge transfer from semiconductor to cocatalyst.
PEC sensing performance study
The CuO@PtNC/Fe-N-C composite, as highlighted in the previous study, exhibits a dual modulation of carrier transport and interfacial catalysis, which is crucial for enhancing PEC performance. Cu-based materials are known to be sensitive to phosphate, carbonyl, and amino groups54,55. Consequently, the presence of these groups can disrupt the electron transport channels in CuO@PtNC/Fe-N-C, leading to a significant reduction in photocurrent. Glyphosate (Gly), a pesticide containing phosphate, carbonyl, and amino groups, has become a major environmental pollutant due to its widespread use, underscoring the need for effective detection methods to safeguard human health56,57. To address this challenge, we developed a PEC detection platform for glyphosate using CuO@PtNC/Fe-N-C as the photocathode. The interaction between CuO and glyphosate results in complex formation, which inhibits the separation of photogenerated carriers (Fig. 6a). To optimize the detection performance of this sensing platform, the PtNC/Fe-N-C content in the CuO@PtNC/Fe-N-C composite was fine-tuned to 15% (Supplementary Fig. 22). The i-t curves of the prepared photocathodes incubated with different concentrations of glyphosate under the optimized experimental conditions are presented in Fig. 6b. The photocurrent exhibited a logarithmic decrease in the range of 1 to 1000 ng/mL with increasing glyphosate concentrations. The linear regression equation is I = −9.984lgC + 40.130 (R2 = 0.993) and the limit of detection (LOD) is 0.41 ng/mL (signal-to-noise ratio of 3) (Fig. 6c). Performance evaluation demonstrates that the CuO@PtNC/Fe-N-C-based sensing platform exhibits superior analytical capabilities for glyphosate detection. Comparative analysis with previously reported methodologies reveals that this sensor achieves enhanced sensitivity and reliability while maintaining a notably lower LOD (Supplementary Table 4). The PEC sensing platform also demonstrated excellent selectivity for glyphosate, even in the presence of various interfering pesticides, including isoprocarb (IPC), tebuconazole (TEB), carbaryl (CAR), avermectins (AVM), halauxifen-methyl (HFM), chlorpyrifos (CPF), atrazine (ATZ), and permethrin (PM) (Fig. 6d). Additionally, the CuO@PtNC/Fe-N-C photocathode exhibits enhanced stability under continuous light irradiation for 300 seconds (Fig. 6e). To validate the practicality, tap water samples spiked with different concentrations of glyphosate were analyzed. The final concentrations were determined using the standard addition method, with recoveries ranging from 95.4% to 106.7% and relative standard deviations (RSDs) between 5.31% and 8.83%, demonstrating the robustness and reliability for glyphosate detection in real-world samples (Supplementary Table 5).
a Schematic illustration of the CuO@PtNC/Fe-N-C-based PEC sensing mechanism. b Photocurrent responses CuO@PtNC/Fe-N-C/ITO with different concentrations of glyphosate. c Calibration curve of the CuO@PtNC/Fe-N-C-based PEC sensor within the range of 1-1000 ng/mL for glyphosate. Error bars are based on the standard deviation of the mean (n = 3). Selectivity (d) and stability (e) of the CuO@PtNC/Fe-N-C-based sensor. The error bars represent the standard deviation of three independent measurements. Source data for Fig. 6 are provided as a Source Data file.
Discussion
In summary, the integration of Pt nanocluster-Fe single-atom pairs with a p-type semiconductor enables dual modulation of solid-solid and solid-liquid interfacial properties during the PEC process. The establishment of Ohmic contact between CuO and PtNC/Fe-N-C facilitates effective carrier extraction, whereas the robust interaction between PtNC and Fe-N-C single-atom sites creates a distinctive Pt-Fe charge transfer pathway, accelerating the interfacial ORR kinetics. This dual-interface modulation strategy is successfully employed to fabricate a CuO@PtNC/Fe-N-C photocathode, which enables sensitive and quantitative PEC detection of glyphosate. This study introduces a fresh methodology for enhancing charge transfer and separation, as well as expediting interfacial reactions by introducing a charge extraction layer.
Methods
Reagents
D-glucosamine hydrochloride was obtained from Xiensi Biochemical Reagent Co., Ltd (Tianjin China). ZnCl2, FeCl3, Potassium dihydrogen phosphate (KH2PO4), and dipotassium hydrogen phosphate (K2HPO4) were obtained from Shanghai Haohong Scientific Co., Ltd (Shanghai, China). SiO2 was bought from Sigma-Aldrich. Chloroplatinic acid (H2PtCl4) was purchased from Aladdin Reagent. Copper nitrate trihydrate (Cu(NO3)2·3H2O) and sodium hydroxide (NaOH) were purchased from Shanghai National Pharmaceutical Group Chemical Reagent Co., Ltd (Shanghai, China). Cetyltrimethylammonium bromide (CTAB) was purchased from McLean Chemical Reagents Co., Ltd (Shanghai, China). Glyphosate was purchased from North Weiye Metrology Technology Research (Beijing, China). Institute Indium-tin oxide coated glass (ITO, 10 Ω, 1.1 mm) was ordered from Foshan Yuanjingmei Glass Co., Ltd. Unless stated, all the chemicals mentioned above were analytical reagents and used as received. The deionized water in all experiments was prepared in a three-stage Millipore Milli-Q plus 185 purification system with a resistivity higher than 18.2 MΩ*cm.
Characterization
The X-ray diffraction (XRD) characterization was performed by D8 ADVANCE (Bruker, Germany). Transmission electron microscopy (TEM) images were obtained from Titan G260-300 (Thermo Fisher, USA). The aberration-corrected high-angle annular dark-field scanning transmission electron microscopy (AC-HAADF-STEM) was acquired by a Titan G2-600 (FEI, United States). A scanning electron microscope (SEM) image was obtained by a Quanta JEM-6700F (FEI, United States). Transmission electron microscopy (TEM) images, high-resolution transmission electron microscopy (HRTEM) images, and high-angle annular dark-field scanning transmission electron microscopy (HAADF-STEM) were characterized using a Tecnai G2 F30 (FEI, United States). The atomic force microscopy (AFM) images were obtained by Dimension Icon (Bruker, Germany). Kelvin-probe force microscopy (KPFM) experiments were performed in tapping mode using the Digital Instruments scanning probe microscope to measure surface topography. The KPFM tips were standard 0.01-0.025 Ω·cm−1 Antimony (n) doped S4 tips with a resonance of around 75 kHz, with a spring constant k-3 N/m. The cantilever thickness: 2.8 μm, length: 225 μm, and width: 35 μm. The scanning speed is 0.5 Hz. X-ray photoelectron spectroscopy (XPS) measurements were performed by a VG Multilab 2000 (Thermo Fisher, United States). An LED lamp (λ = 365 nm) was used as the light source to examine the excited XPS spectra. All XPS spectra were calibrated with reference to the C1s peak of 284.6 eV before analysis. The X-ray absorption fine structure spectra were collected at the 1W1B station in the Beijing Synchrotron Radiation Facility (BSRF). The element contents were obtained by inductively coupled plasma optical emission spectrometry (ICP-OES) (Agilent 8800). Ultraviolet photoelectron spectroscopy (UPS) measurements were obtained on a Thermo Scientific ESCALAB Xi+ with an Al Kα X-ray source and monochromatic He I radiation (21.22 eV), respectively. Photoluminescence (PL) spectra were recorded at room temperature on a fluorescence spectrophotometer (Edinburgh Instruments, FLS1000) under the excitation of a 375 nm light source. Ultraviolet-visible (UV-Vis) diffuse-reflectance absorption spectra were conducted on a UV-Vis spectrophotometer (Agilent Technologies, Cary 100) using BaSO4 as a reflectance standard reference. Electrochemical impedance spectroscopy (EIS), Mott-Schottky (M-S) curve, and the activity of oxygen reduction reaction (ORR) test were carried out on a CHI660E electrochemical workstation (Shanghai Chenhua Apparatus Corporation, China) with a three-electrode system. A photoelectrochemical test was performed on a system containing a CHI842d electrochemical workstation (Shanghai Chenhua Instrument Co., Ltd.), 500 W Analog Daylight Xenon Light Source (PLS-FX300HU, Beijing Perfectlight Technology Co., Ltd.) with a 420 nm cut-off filter. Electron paramagnetic resonance (EPR) measurements were carried out on EMXmicro-6/1 (Bruker, Germany). Scanning electrochemical microscopy (SECM) investigation of the interface carrier dynamics process was performed with a CHI 920C SECM bipotentiostat.
Synthesis of Fe-N-C
D-glucosamine hydrochloride (2 g), ZnCl2 and FeCl3 were co-dissolved 20 mL colloidal silica suspension (2 g SiO2), in which the mole ratio of D-glucosamine hydrochloride, ZnCl2, and FeCl3 was 10:2:1. After stirring for 10 min, the mixture solution was freeze-dried. Afterward, the resulting powder was then pyrolyzed under flowing nitrogen at a ramping rate of 5 °C/min to the desired temperature of 900 °C and held for 2 h. The template was then removed by etching with HF (10% by weight) for 12 h at room temperature and lyophilized to obtain the Fe-N-C single-atom electrocatalyst. As a comparison, metal-free material was also prepared according to a similar approach.
Synthesis of PtNC/Fe-N-C
The synthesis of PtNC/Fe-N-C was referred to in the previous study with some modifications37. 40 mg of Fe-N-C was dispersed in 50 mL of water and subjected to intense sonicated for 10 min. Subsequently, 205 μL of H2PtCl4 solution (100 mM) was slowly added dropwise into the above suspension under vigorous stirring. For full impregnation, the solution was stirred continuously for 24 h, then dried in a vacuum oven at 60 °C. Then, the obtained power was reduced under 5% H2 heated up at a ramping rate of 5 °C/min to 400 °C, and held for 2 h to get the final PtNC/Fe-N-C. The mass fraction of the Pt precursor was 10% of the total PtNC/Fe-N-C precursor.
Synthesis of CuO nanosheet
CuO nanosheets were prepared according to the reference with some modifications58. Sodium hydroxide (120 g) and cetyltrimethylammonium bromide (22 g, CTAB) were dissolved in 900 ml of deionized water and heated to 60 °C with magnetic stirring. In another separate beaker, copper (II) nitrate trihydrate (3.4 g) was added into 100 ml of deionized water and dissolved by sonication. The copper nitrate solution was then added to the first solution so that the final concentration of 3 M NaOH, 60 mM CTAB, and 14 mM Cu(NO3)2 for all species, respectively. The solution was held at a constant temperature of 60 °C for 1 h, then removed from the heat and filtered. The black precipitate was washed with excess deionized water and ethanol. To remove residual CTAB, the samples were calcined in air at 250 °C for 3 h and then finely ground with a mortar and pestle before subsequent processing.
Computational methods
All of the first principal calculations were based on the Vienna Ab initio Simulation Package (VASP)59. The interaction between ions and valence electrons was described by Projected Augmented Wave (PAW)60, and the exchange-correlation interaction was described by the Perdew-Burke-Emzerhof generalized gradient approximation (PBE-GGA)61,62. The cut-off energy was set as 400 eV, and the convergence criteria for self-consistent electronic energy and residual force were respectively assumed to be 10−4 eV/atom and 0.01 eV/Å, which could ensure sufficient accuracy. The k points are set 3 × 3 × 1 based on Monkhorst-Pack mesh. Bader charge was used to analyze the number of electron transfer63.
The adsorption energy (Eads) in this article is defined as:
where Etotal, EA and EB are the energy of the total adsorbed system, substance and adsorbates, respectively.
Data availability
The data supporting the findings of this study are available within the article and its Supplementary Information files. All other data are available from the corresponding author upon request. Source data are provided in this paper.
References
Hofkens, J. et al. Photocatalysts in close-up. Nature 530, 36–37 (2016).
Bard, A. J. Photoelectrochemistry. Science 207, 139–144 (1980).
Su, Y. et al. Single-nanowire photoelectrochemistry. Nat. Nanotechnol. 11, 609–612 (2016).
Xiao, Y. et al. Band structure engineering and defect control of Ta3N5 for efficient photoelectrochemical water oxidation. Nat. Catal. 3, 932–940 (2020).
Lv, J. et al. Photoelectrochemical energy storage materials: design principles and functional devices towards direct solar to electrochemical energy storage. Chem. Soc. Rev. 51, 1511–1528 (2022).
Sivula, K. et al. Semiconducting materials for photoelectrochemical energy conversion. Nat. Rev. Mater. 1, 15010 (2016).
Zhao, W.-W. et al. Photoelectrochemical bioanalysis: the state of the art. Chem. Soc. Rev. 44, 729–741 (2015).
Li, Z. et al. Enhancing photoelectric response of an Au@Ag/AgI Schottky contact through regulation of localized surface plasmon resonance. J. Am. Chem. Soc. 143, 13478–13482 (2021).
Kuang, Y. et al. Surface and interface engineering for photoelectrochemical water oxidation. Joule 1, 290–305 (2017).
Gao, R.-T. et al. Single-atomic-site platinum steers photogenerated charge carrier lifetime of Hematite nanoflakes for photoelectrochemical water splitting. Nat. Commun. 14, 2640 (2023).
Xue, S. et al. Establishing multiple‐order built‐in electric fields within heterojunctions to achieve photocarrier spatial separation. Adv. Mater. 36, 2311937 (2024).
Qin, Y. et al. Engineering the microenvironment of electron transport layers with nickle single-atom sites for boosting photoelectrochemical performance. Chem. Sci. 14, 7346–7354 (2023).
Nellist, M. R. et al. Semiconductor-electrocatalyst interfaces: theory, experiment, and applications in photoelectrochemical water splitting. Acc. Chem. Res. 49, 733–740 (2016).
Thalluri, S. et al. Strategies for semiconductor/electrocatalyst coupling toward solar-driven water splitting. Adv. Sci. 7, 1902102 (2020).
Xu, Q. et al. S-scheme heterojunction photocatalyst. Chem 6, 1543–1559 (2020).
Liu, M. et al. Improving interface matching in MOF-on-MOF S-scheme heterojunction through π-π conjugation for boosting photoelectric response. Nano Lett. 23, 5358–5366 (2023).
Hansora, D. et al. All-Perovskite-Based unassisted photoelectrochemical water splitting system for efficient, stable and scalable solar hydrogen production. Nat. Energy 9, 272–284 (2024).
Hemmerling, J. R. et al. Characterizing the geometry and quantifying the impact of nanoscopic electrocatalyst/semiconductor interfaces under solar water splitting conditions. Adv. Energy Mater. 12, 2103798 (2022).
Sheng, X. et al. Rational design of photoelectrodes with rapid charge transport for photoelectrochemical applications. Adv. Mater. 31, 1805132 (2019).
Pham, T. A. et al. Modelling heterogeneous interfaces for solar water splitting. Nat. Mater. 16, 401–408 (2017).
An, L. & Onishi, H. Electron-hole recombination controlled by metal doping sites in NaTaO3 photocatalysts. ACS Catal. 5, 3196–3206 (2015).
Laskowski, F. A. L. et al. Nanoscale semiconductor/catalyst interfaces in photoelectrochemistry. Nat. Mater. 9, 69–76 (2020).
Wang, K. et al. Modulating charge transfer efficiency of hematite photoanode with hybrid dual-metal-organic frameworks for boosting photoelectrochemical water oxidation. Adv. Sci. 7, 2002563 (2020).
Zhang, J. et al. Mechanistic insight into the synergy between platinum single atom and cluster dual active sites boosting photocatalytic hydrogen evolution. Adv. Mater. 35, 2300902 (2023).
Ren, Y. et al. Unraveling the coordination structure-performance relationship in Pt1/Fe2O3 single-atom catalyst. Nat. Commun. 10, 4500 (2019).
Li, X. et al. High-efficiency and durable inverted perovskite solar cells with thermally-induced phase-change electron extraction layer. Adv. Energy Mater. 11, 2102844 (2021).
Jiang, Q. et al. Enhanced electron extraction using SnO2 for high-efficiency planar-structure HC(NH2)2PbI3-based perovskite solar cells. Nat. Energy 2, 16177 (2017).
Chen, S. et al. Electron blocking and hole extraction by a dual-function layer for hematite with enhanced photoelectrocatalytic performance. Appl. Catal. B Environ. Energy 237, 175–184 (2018).
Li, Y. et al. Lifetime over 10000 hours for organic solar cells with Ir/IrOx electron-transporting layer. Nat Commun. 14, 1241 (2023).
Wang, Y.-M. et al. Single-atom tailored atomically-precise nanoclusters for enhanced electrochemical reduction of CO2-to-CO activity. Nat. Commun. 15, 1843 (2024).
Zhang, J. et al. Importance of species heterogeneity in supported metal catalysts. J. Am. Chem. Soc. 144, 5108–5115 (2022).
Tian, Z. et al. Selective photoelectrochemical oxidation of glucose to glucaric acid by single atom Pt decorated defective TiO2. Nat. Commun. 14, 142 (2023).
Tan, R. et al. Bifunctional single-atom iron cocatalysts enable an efficient photoelectrochemical fuel cell for sensitive biosensing. Adv. Funct. Mater. 33, 2305673 (2023).
Qin, Y. et al. Iron single-atom catalysts boost photoelectrochemical detection by integrating interfacial oxygen reduction and enzyme-mimicking activity. ACS Nano 16, 2997–3007 (2022).
Chang, Q. et al. Achieving complete electrooxidation of ethanol by single atomic Rh decoration of Pt nanocubes. Proc. Natl. Acad. Sci. 119, e2112109119 (2022).
Mo, F. et al. The optimized catalytic performance of single‐atom catalysts by incorporating atomic clusters or nanoparticles: in-depth understanding on their synergisms. Adv. Energy Mater. 13, 2301711 (2023).
Wei, X. et al. Tuning the spin state of Fe single atoms by pd nanoclusters enables robust oxygen reduction with dissociative pathway. Chem 9, 181–197 (2023).
Jiang, Y. et al. Pushing the performance limit of Cu/CeO2 Catalyst in CO2 electroreduction: a cluster model study for loading single atoms. ACS Nano 17, 2620–2628 (2023).
Xiao, F. et al. Atomically dispersed Pt and Fe sites and Pt-Fe nanoparticles for durable proton exchange membrane fuel cells. Nat. Catal. 5, 503–512 (2022).
Ao, X. et al. Atomically dispersed Fe-N-C decorated with Pt-alloy core-shell nanoparticles for improved activity and durability towards oxygen reduction. Energy Environ. Sci. 13, 3032–3040 (2020).
Zhang, Y. et al. Metal particle size and structure of the metal-support interface of carbon-supported platinum catalysts as determined with EXAFS Spectroscopy. J. Phys. Chem. B 108, 18509–18519 (2004).
Bae, G. et al. Unravelling the complex causality behind Fe-N-C degradation in fuel cells. Nat Catal. 6, 1140–1150 (2023).
Jiang, W.-J. et al. Understanding the high activity of Fe-N-C electrocatalysts in oxygen reduction: Fe/Fe3C nanoparticles boost the activity of Fe-Nx. J. Am. Chem. Soc. 138, 3570–3578 (2016).
Poerwoprajitno, A. R. et al. A single-Pt-atom-on-Ru-nanoparticle electrocatalyst for CO-resilient methanol oxidation. Nat. Catal. 5, 231–237 (2022).
Wang, P. et al. Precise tuning in platinum-nickel/nickel sulfide interface nanowires for synergistic hydrogen evolution catalysis. Nat. Commun. 8, 14580 (2017).
Aguirre, M. E. et al. Cu2O/TiO2 heterostructures for CO2 reduction through a direct Z-scheme: protecting Cu2O from photocorrosion. Appl. Catal. B Environ. Energy 217, 485–493 (2017).
Yang, X. et al. Tantalum nitride electron-selective contact for crystalline silicon solar cells. Adv. Energy Mater. 8, 1800608 (2018).
Zhang, Z. et al. Band bending in semiconductors: chemical and physical consequences at surfaces and interfaces. Chem. Rev. 112, 5520–5551 (2012).
Mondal, A. et al. Low Ohmic contact resistance and high on/off ratio in transition metal dichalcogenides field-effect transistors via residue-free transfer. Nat. Nanotechnol. 19, 34–43 (2024).
Chen, R. et al. Charge separation via asymmetric illumination in photocatalytic Cu2O particles. Nat. Energy 3, 655–663 (2018).
Subramanian, V. et al. Catalysis with TiO2/Gold nanocomposites. effect of metal particle size on the fermi level equilibration. J. Am. Chem. Soc. 126, 4943–4950 (2004).
Kontos, A. I. et al. Self-organized anodic TiO2 nanotube arrays functionalized by iron oxide nanoparticles. Chem. Mater. 21, 662–672 (2009).
He, W. et al. Predicting and identifying reactive oxygen species and electrons for photocatalytic metal sulfide micro-nano structures. J. Catal. 320, 97–105 (2014).
Seppälä, P. et al. Structural diversity of copper (II) amino alcoholate complexes. Coord. Chem. Rev. 347, 98–114 (2017).
Zheng, S. et al. Colorimetric/Fluorescent/SERS triple-channel sensing of Cu2+ in real systems based on chelation-triggered self-aggregation. Chem. Eng. J. 399, 125840 (2020).
Chen, Y. et al. Recent advances in photoelectrochemical sensing for food safety. Anal. Chem. 96, 8855–8867 (2024).
Park, H. et al. Magnetite nanoparticles as efficient materials for removal of glyphosate from water. Nat. Sustain. 3, 129–135 (2019).
Fishman, Z. S. et al. Fundamental role of oxygen stoichiometry in controlling the band gap and reactivity of cupric oxide nanosheets. J. Am. Chem. Soc. 138, 10978–10985 (2016).
Kresse, G. & Furthmüller, J. Efficient iterative schemes for ab initio total-energy calculations using a plane-wave basis set. Phys. Rev. B 54, 11169–11186 (1996).
Blöchl, P. E. Projector augmented-wave method. Phys. Rev. B 50, 17953–17979 (1994).
Perdew, J. P., Burke, K. & Wang, Y. Generalized gradient approximation for the exchange-correlation hole of a many-electron system. Phys. Rev. B 54, 16533–16539 (1996).
Perdew, J. P., Burke, K. & Ernzerhof, M. Generalized gradient approximation made simple. Phys. Rev. Lett. 77, 3865–3868 (1996).
Tang, W., Sanville, E. & Henkelman, G. A grid-based bader analysis algorithm without lattice bias. J. Phys. Condens. Matter 21, 084204 (2009).
Acknowledgements
The authors gratefully acknowledge the financial support from National Natural Science Foundation of China (nos. 22474046 (W.G.), 22104114 (L.H.)), Natural Science Foundation of Hubei Province (2023AFB571) (L.H.), Knowledge Innovation Program of Wuhan-Shuguang Project (2023020201020441) (L.H.), the Fundamental Research Funds for the Central Universities (nos. CCNU24JCPT032, CCNU22JC006) (C.Z.), the Program of Introducing Talents of Discipline to Universities of China (111 program, B17019) (C.Z.) and the Open Research Fund of the Key Laboratory of Ministry of Education, Hangzhou Normal University (no. KFJJ2023009) (C.Z.). This work was carried out with the support of 1W1B beamline at the Beijing Synchrotron Radiation Facility.
Author information
Authors and Affiliations
Contributions
Y.C. conceived the idea, conducted the experiments, and wrote the manuscript. L.Z. conducted X-ray absorption near-edge structure analysis. Y.Q. (Ying Qin) carried out and analyzed DFT calculations. M.L., W.Y., Y.Q. (Yiwei Qiu) and W.L. guided the analysis of the electrochemical test and materials characterization results. C.Z., W.G. and L.H. participated in the discussion of the data, edited the manuscript, and supervised the project. All authors discussed the results and assisted during manuscript preparation.
Corresponding authors
Ethics declarations
Competing interests
The authors declare no competing interests.
Peer review
Peer review information
Nature Communications thanks the anonymous reviewer(s) for their contribution to the peer review of this work. A peer review file is available.
Additional information
Publisher’s note Springer Nature remains neutral with regard to jurisdictional claims in published maps and institutional affiliations.
Source data
Rights and permissions
Open Access This article is licensed under a Creative Commons Attribution-NonCommercial-NoDerivatives 4.0 International License, which permits any non-commercial use, sharing, distribution and reproduction in any medium or format, as long as you give appropriate credit to the original author(s) and the source, provide a link to the Creative Commons licence, and indicate if you modified the licensed material. You do not have permission under this licence to share adapted material derived from this article or parts of it. The images or other third party material in this article are included in the article’s Creative Commons licence, unless indicated otherwise in a credit line to the material. If material is not included in the article’s Creative Commons licence and your intended use is not permitted by statutory regulation or exceeds the permitted use, you will need to obtain permission directly from the copyright holder. To view a copy of this licence, visit http://creativecommons.org/licenses/by-nc-nd/4.0/.
About this article
Cite this article
Chen, Y., Qin, Y., Liu, M. et al. Pt nanocluster-Fe single atom pairs dual-regulate charge extraction and interfacial reaction for enhanced photoelectric response. Nat Commun 16, 2960 (2025). https://doi.org/10.1038/s41467-025-58174-x
Received:
Accepted:
Published:
Version of record:
DOI: https://doi.org/10.1038/s41467-025-58174-x
This article is cited by
-
Recent Advances in Signal Amplification Strategies for Photoelectrochemical Sensing
Journal of Analysis and Testing (2025)
-
Enhanced Photoelectrochemical Performance of CoOOH/ZnCdS-Vs Via Co-Catalyst and Defect Engineering for Detection of Cu2+ and D-penicillamine
Journal of Analysis and Testing (2025)








