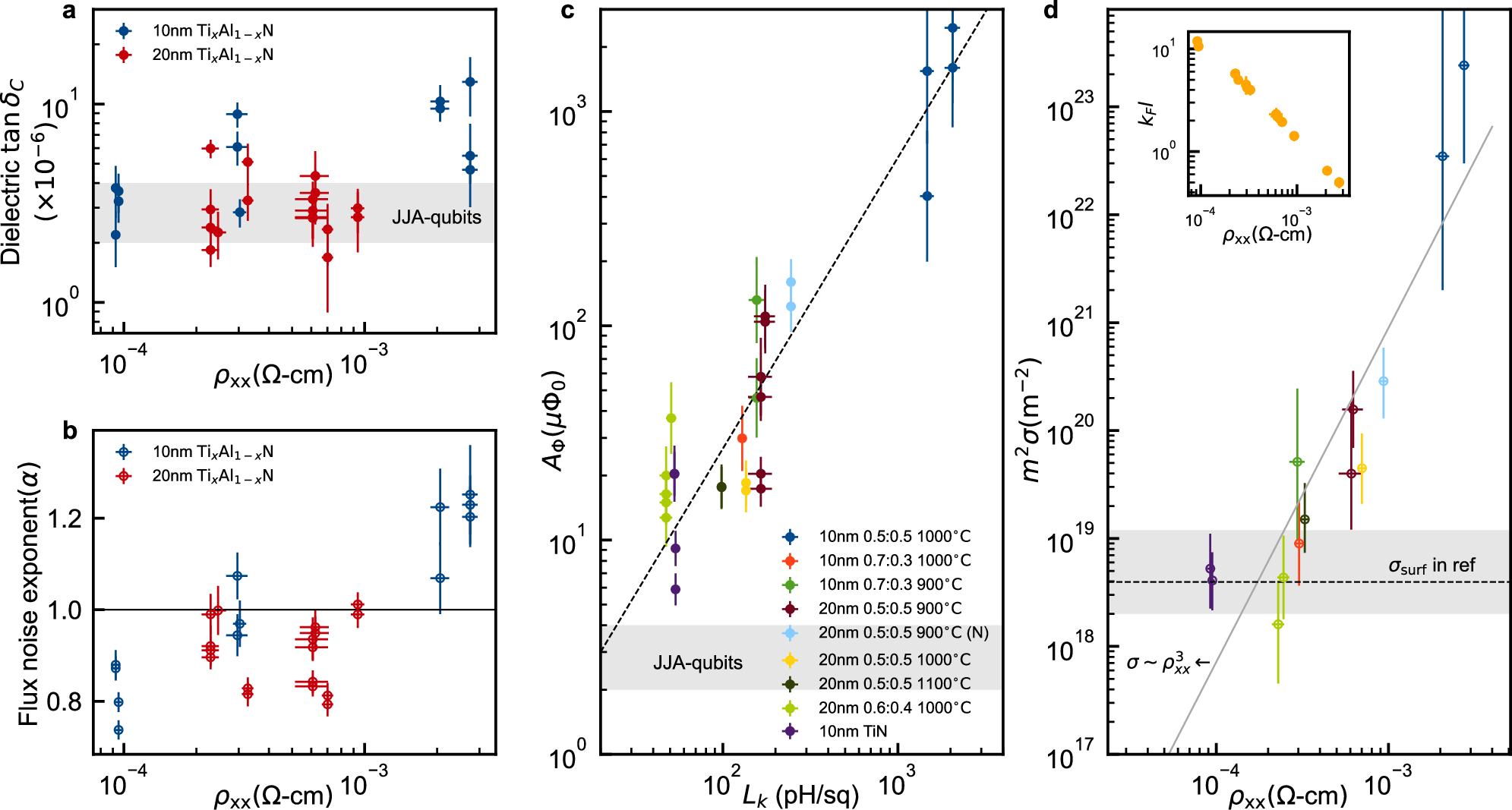
Fig. 4: The correlation between material disorder and qubit coherence.
From: The effects of disorder in superconducting materials on qubit coherence

Values and errors are extracted from experiment coherence times as described in the main text. a The dielectric loss of the fluxonium qubits as a function of the ρxx. Shaded area defines the dielectric loss tangent typically measured for fluxonium devices made with JJA. b The extracted flux noise exponent α plotted for all measured devices as a function of the material disorder. c The 1/fα flux noise amplitude AΦ plotted against the Lk of the inductor wire. Again, the film thicknesses, chemical compositions, and annealing conditions are labeled to each data point accordingly. The dashed line is a guide for the eyes, and the reference values of AΦ in fluxonium devices made with JJA are illustrated by the shaded area. The values and errors are obtained using the least squares method under the assumption that noise amplitudes follow a log-normal distribution. d The areal density of the phenomenological spin defect (σ) plotted against the material disorder quantified by ρxx. The inset represents the correlation between measured ρxx and kFl. Data points with the same color are averaged from devices on a different wafer but with the same fabrication conditions as labeled in (c), and error bars represent the minimum and the maximum within each dataset. The solid line is the fitting that yields \(\sigma \propto {\rho }_{xx}^{\beta }\) where β = 3.10 ± 0.28. The shaded area covers the widely observed areal defect density (σsurf) in the referenced superconducting devices under a same frequency integration range from 10−4 Hz to 109 Hz. The dotted line marks σsurf ~ 4 × 1018 m−2 as a guide for the eyes.