Abstract
Introducing disorder in the superconducting materials has been considered promising to enhance the electromagnetic impedance and realize noise-resilient superconducting qubits. Despite a number of pioneering implementations, the understanding of the correlation between the material disorder and the qubit coherence is still developing. Here, we demonstrate a systematic characterization of fluxonium qubits with the superinductors made by spinodal titanium-aluminum-nitride with varied disorder. From qubit noise spectroscopy, the flux noise and the dielectric loss are extracted as a measure of the coherence properties. Our results reveal that the 1/f α flux noise dominates the qubit decoherence around the flux-frustration point, strongly correlated with the material disorder; while the dielectric loss are largely similar under a wide range of material properties. From the flux-noise amplitudes, the areal density (σ) of the phenomenological spin defects and material disorder are found to be approximately correlated by \(\sigma \propto {\rho }_{xx}^{3}\), or effectively \({({k}_{F}l)}^{-3}\). This work has provided new insights on the origin of decoherence channels beyond surface defects and within the superconductors, and could serve as a useful guideline for material design and optimization.
Similar content being viewed by others
Introduction
Leveraging disorder in superconducting materials has emerged as an important approach to manipulate the circuit properties for quantum information processing with superconducting qubits1,2. Demonstrated circuit elements such as superinductors3,4, coherence quantum phase-slip junctions5,6,7, and compact resonators8 are at the essence of engineering qubits with intrinsic noise protection and the integration of a large-scale quantum processor9,10,11,12,13,14. Key to such applications, albeit still developing, is the understanding of the interplay between material disorder and quantum coherence. In particular, the evolution of the coherence properties of the superconducting materials, as with the increase in material disorder, is of scientific and practical significance in implementing the corresponding quantum circuits.
Despite the extensive research on the impact of material defects on qubit coherence15,16,17, the learnings are yet to be applied directly on guiding the design of the disordered systems. This is partly due to the fact that the majority of the studies are typically in the limit where the penetration depth (λ) is comparable or smaller than the thickness (t) and width (w) of the superconductors. In other words, the electromagnetic fields are concentrated at the material surfaces, edges, or the metal-insulator boundaries. As a consequence of the limited volume, the exact material properties at these regimes are largely depending on the fabrication history, challenging to be quantitatively characterized, and are often, if not always, postulated18,19,20. At the opposite end, a disordered superconducting wire features a large kinetic inductance is in the λ > w ≫ t regime where the current distribution within the material is essentially homogeneous21. As such, the bulk material properties that can be reliably characterized could serve as the figure of merit of a certain material, and thus be used for quantitative analysis.
Driven by the above, we introduce fluxonium qubits with superinductors made by spinodal titanium-aluminum-nitride (TixAl1-xN) thin films22, and focus on qubit coherence as a function of the material disorder (quantified by the longitudinal resistivity ρxx). For different set of qubits, the disorder of the titanium-aluminum-nitride is tuned by a combined variation of the film thickness, chemical compositions, and annealing conditions. For each qubit, we utilize the qubit as a spectrometer for noise23 and quantitatively extract the dielectric loss and 1/f α flux noise amplitudes that are dominant in decoherence at different ends of the qubit spectrum24. Our findings reveal that the dielectric loss tangent (\(\tan {\delta }_{C}\)) of the qubits takes a typical value around ~1.5–4 × 10−6 in the weak-disorder limit, and likely increases as the disorder is enhanced beyond ρxx > 10−3 Ω-cm. On the other hand, the 1/f α flux noise, with α ranging from ~0.8 to ~1.2, is found to be the dominant source of qubit decoherence, mainly determined by the material disorder. More intriguingly, the areal density of the phenomenological spin defects σ deduced from the flux noise amplitudes is found to be proportional to \(\sim {\rho }_{xx}^{3}\). We also discuss the possible origins and mechanisms of such correlation.
Results
Device structure and qubit measurement
The qubit design is inherited from our previous studies except that the inductive element is replaced by a long wire of superconducting TixAl1-xN (Fig. 1a, more details in Supplementary Figs. 1 and 2)22,25. Briefly, the insulating TixAl1-xN thin films, with varied chemical compositions and thicknesses, were first patterned and annealed to introduce the spinodal phase segregation and superconductivity (Fig. 1a, b). The annealing was followed by the deposition and patterning of TiN films as the backbone of the superconducting circuits26,27. Eventually, the superinductor wires were patterned and galvanically connected to the rest of the circuits and the Josephson junction using the conventional shadow-evaporation techniques. The geometries of the inductor wires were carefully characterized and measured, revealing a clean qubit topography. Each qubit is capacitively coupled to a resonator for dispersive readout, and on-chip charge and flux lines are used for qubit excitation and frequency modulation. The cryogenic characterizations were performed in a dilution refrigerator at a base temperature below 10 mK (see Methods and Supplementary Information for details).
a The optical image of a fluxonium qubit with TixAl1-xNwire as the superinductor. The image was taken using the optical-shadow mode where the topography of the surface features are mapped and exaggerated by utilizing incident lights from multiple directions (e.g., see the over-etched sapphire features and the contact leads of the inductor wire underneath the aluminum pads). The energy dispersive spectroscopy (EDS) scan on a cross-sectional region of the TixAl1-xN films and the atomic force microscope (AFM) measurement on the inductor wires are provided. Here, the measured device consists a 200 nm-wide inductor wire, which is the narrowest we have used in this study. The AFM studies revealed a clean surface and well-defined edges, and similar morphology were found for wires with alternative dimensions. b A schematic illustration of the spinodal decomposition in the TixAl1-xN. The temperature T and Gibbs free energy G are plotted against the concentration of the TiN phase. T* marks the temperature at which the Gibbs free energy curve is plotted. The spinodal decomposition takes place at compositions where the second derivative of the Gibbs free energy is negative. c, d Energy relaxation T1 and dephasing T2 decays of a best sample. The inset is the qubit spectrum of this particular sample and the red dot labels the minimum qubit frequency at ~768 MHz.
The spectra of the qubits were first obtained as a function of the external flux Φext. For each qubit, the corresponding charging energy EC, inductive energy EL, and Josephson energy EJ were obtained by fitting the spectrum to the fluxonium Hamiltonian \(\hat{H}=4{E}_{C}{\hat{n}}^{2}+({E}_{L}/2){\left(\hat{\varphi }+{\Phi }_{{{{{\rm{ext}}}}}}/{\varphi }_{0}\right)}^{2}-{E}_{J}\cos \hat{\varphi }\). The operational frequencies at the flux-frustration spot (i.e., Φext = Φ0/2) of all the tested qubits are around several hundred megahertz, and a typical spectrum around the flux-frustration spot is provided (see Fig. 1c inset, Supplementary Fig. 4 and Supplementary Table 1).
The coherence measurement was performed using a flux-pulse protocol. Namely, after parking the qubit at the flux-frustration spot using a static DC bias, a flux pulse is applied to shift the qubit to the targeting operational points. At each operational point, the energy and free induction decay curves were measured and fitted to extract T1 and T2 for further decoherence analysis. Here, coherence times at the flux-frustration spot of a best device are provided (Fig. 1c, d). We note that the measured T1 ~ 65 μs and T2e ~ 78.2 μs are the highest ever reported for fluxonium made with disordered materials. Meanwhile, the coherence times are found strongly depending on the material properties. Given the fact that the qubit coherence times are also highly sensitive to the qubit parameters, making it less ideal as an absolute measure of the qubit coherence, we proceed to develop an analysis protocol to better understand the decoherence properties and to quantitatively compare among samples.
Coherence property analysis
The decoherence of the qubit can be characterized by the relaxation time T1, the dephasing time T2, and the pure dephasing time \({T}_{\phi }={({T}_{2}-2/{T}_{1})}^{-1}\) or the corresponding rates Γi = 1/Ti (i = 1, 2, ϕ). A notable feature is the suppressed T1 around the flux-frustration point (Fig. 2a). It is found that the decoherence data can be reasonably well characterized by two major sources, the dielectric loss and the 1/f α flux noise24 in the following form:
where Teff is the effective temperature, and \(\tan {\delta }_{C}\), AΦ, α are the dielectric loss tangent, 1/f α flux noise amplitude, and the flux noise exponent respectively. ωref is the reference frequency selected to normalize the unit of the double-sided noise-power spectral spectral density \({S}_{\Phi }(\omega )=\frac{1}{2\pi }\int\,dt\left\langle \delta \Phi (0)\delta \Phi (t)\right\rangle {e}^{-i\omega t}={A}_{\Phi }^{2}/{\omega }_{{{{{\rm{ref}}}}}}/{(\omega /{\omega }_{{{{{\rm{ref}}}}}})}^{\alpha }\)23. Note that we can always scale AΦ and ωref together without changing SΦ(ω), and we keep ωref/2π = 1 Hz in this study. The dephasing times measured from spin-echo measurements have a typical first-order coupling profile in the flux type qubits23:
where c(α) is the convolution between the noise spectrum and the filter function for the spin-echo experiments.
a The qubit relaxation time T1 and (b) the qubit pure dephasing time from spin-echo measurements \({T}_{\phi }^{{{{{\rm{echo}}}}}}\) versus the qubit external flux Φext of two typical fluxonium qubits D11_1 and D12_1. The two qubits differ in the properties of the TixAl1-xN wires and the qubit parameters (due to fabrication fluctuation, see Supplementary Table 1 for details). The markers and error bars represent the values and associated uncertainties of T1 and Tϕ, which were derived by fitting experimental P(t) curves using the least squares method. The solid lines are fitted values from a specific loss channel. The dashed lines in (a) are simulated T1 which are close to the experiment data points. The flux noise dominates the T1 when Φext ≈ 0.5Φ0 while the dielectric loss dominates when Φext < 0.35Φ0 for these devices.
A consistent data processing and fitting procedure was applied to all dataset, and by fitting the data with the above models we can extract \(\tan {\delta }_{C}\), AΦ, and α (see Supplementary Information for details). To better illustrate the applicability of the analysis model, a comparison between the measured and the fitted data is provided (Fig. 2). As discussed above, the noise level is found to be dependent on the properties of the TixAl1-xN, and two cases with distinct disorder are plotted together. Additional exemplary devices and sources of errors are further elaborated in the Supplementary Information (Supplementary Figs. 5–7).
It is worth noting that the energy relaxation around the flux-frustration point can be either interpreted by the flux noise24,28,29 or the inductive losses4 (Supplementary Fig. 6). Since the flux noise model inherently explains the dephasing behaviors that the variables to model our complicated systems can be minimized, we have chosen to use flux noise for this study. Meanwhile, it is acknowledged that if either the flux noise exponent or the inductive loss tangent is frequency dependent, these two models are essentially indistinguishable. Other dephasing mechanisms such as coherent quantum phase slips is unlikely as the T2 is peaked other than suppressed at the flux-frustration spot30. This is consistent with the fact that the inductor wires are quasi-2D with sufficient thickness and are far from the superconductor-to-insulator transition.
Tuning the material disorder
With an established analysis protocol for the qubits, we then systematically vary the properties of the superinductor wires, and correlate those with the qubit coherence. Here, a representative set of TixAl1-xN films were used in this work, and the temperature-dependent sheet resistance Rs near the superconducting transition temperatures are given (Fig. 3a, details see Methods). We use the normal longitudinal resistivity (ρxx = Rst) at 10 K as a measure of the film disorder. The film thicknesses were measured using AFM, and are larger than the Ginzburg-Landau superconducting coherence lengths (ξGL ~ 7 nm) of TixAl1-xN22. It is worth noting that we take disorder as the sole indicator of the material properties, regardless of the different experimental techniques applied to tune the microstructures. The rationalization and experimental grounding of this approach is detailed in the Supplementary Information.
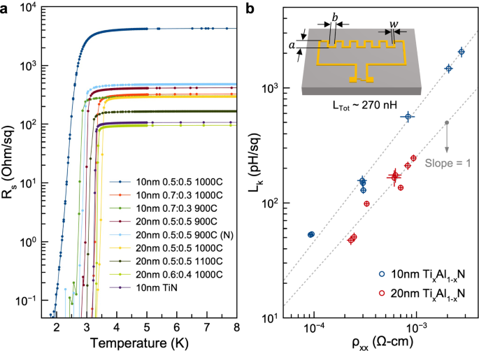
a The temperature-dependent sheet resistance measured for TixAl1-xN at a set of film thicknesses, chemical compositions, and annealing conditions. Data are labeled accordingly with the film thicknesses, nominal Ti:Al ratios from the deposition rates, and the annealing temperatures. Note that the annealing is all performed in the argon environment for 30 min except the one in the nitrogen environment labeled with (N). The 10 nm-thick TiN films was not annealed and was directly patterned for qubit devices. b The extracted Lk from the qubit spectroscopy measurement as a function of the material disorder ρxx, and the error bars were defined by the standard deviation of multiple devices on the same wafer. The 20 nm-thick films yielded a good reciprocal relationship between Lk and ρxx. The deviated slope in the 10 nm-thick films is due to the reduction of the superconductivity gap in thinner and more disordered films. The inset is an illustration of the controlled geometric parameters to achieve the target total inductance (Ltot) with different aspect ratio p/w, where p and w is the perimeter and width of the inductor wire, respectively. The total footprint of the loop is fixed while the three parameters a, b, and w are adjusted. Besides the p/w variation across wafers with different Lk, qubits with a fixed p/w but different perimeters and widths were also measured on the same device for statistical consideration and as sanity checks of the flux-noise model (see more details in the Supplementary Information).
A span of two orders of magnitude in disorder is realized using the above sample set, and the correlation between the level of material disorder ρxx and the kinetic inductance Lk is illustrated (Fig. 3b). Here, the kinetic inductance is directly extracted and averaged from the corresponding qubit spectra using \({L}_{k}=(w/p){({\Phi }_{0}/2\pi )}^{2}/{E}_{L}\) (Fig. 3b inset and Supplementary Table 1). The 20 nm-thick films revealed an expected linear relationship between the kinetic inductance and the material disorder as Lk = ℏρxx/πΔ0t, where Δ0 is the superconductivity gap at zero temperature. The slight deviation from such relationship in 10 nm-thick films is due to the reduced superconducting transition temperatures as a result of the increased disorder2,31,32,33.
For better investigation on the microscopic properties of the materials, as it will be discussed later, the celebrated Ioffe-Regel parameter \({k}_{F}l=\hslash /{e}^{2}{(3{\pi }^{2})}^{2/3}{n}_{e}^{-1/3}{\rho }_{xx}^{-1}\) was also calculated for each device under the free-electron approximation34. Here, kF, l, and ne are the Fermi wave-vector, the averaged elastic mean free path across the sample dimension, and the charge carrier density extracted from the Hall measurement at 10 K, respectively. We note that the metal-to-insulator transition of this material takes places around ρxx ~ 6 × 10−3 Ω-cm (kFl ~ 0.3), and thus the highest ρxx used in the study was chosen to be much smaller than this critical value to avoid the transition regime.
Correlation between disorder and qubit coherence
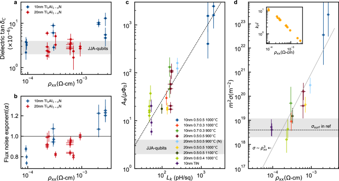
We now discuss the qubit coherence properties. The dielectric loss of the qubit set is first plotted against ρxx (Fig. 4a). Since the dielectric loss extraction is impacted by the detrimental strongly-coupled TLSs, the error bars are large and have made it challenging to draw a quantitative conclusion. While on a qualitative level, it is indicated that at the weak disorder limit, the dielectric loss \(\tan \delta\) of the qubits is not sensitive to the variation of material properties nor the change of capacitance between the inductor wires and the ground planes (i.e., the geometric variation of the wires). Around the qubit operation frequencies, the dielectric loss tangents are found to be comparable to that of fluxonium qubits made with Josephson-junction arrays (JJA)25,35,36. At the strong disorder limit, a larger dielectric loss of the qubits is found. The possible source of such increase could be traced to the reduced percolation in thinner films where the segregated grains have sizes comparable to the film thickness, leading to emergent tunneling sites as the detrimental two-level-system defects19,32,33. Plus, as the disordered materials are approaching the superconductor-to-insulator transition, additional dissipative mechanisms have been suggested to appear37,38. Given that a detailed electromagnetic analysis is needed to acquire the exact loss tangent of the TixAl1-xN, our findings, nevertheless, have demonstrated the feasibility of employing this material for fluxonium qubits.
Values and errors are extracted from experiment coherence times as described in the main text. a The dielectric loss of the fluxonium qubits as a function of the ρxx. Shaded area defines the dielectric loss tangent typically measured for fluxonium devices made with JJA. b The extracted flux noise exponent α plotted for all measured devices as a function of the material disorder. c The 1/fα flux noise amplitude AΦ plotted against the Lk of the inductor wire. Again, the film thicknesses, chemical compositions, and annealing conditions are labeled to each data point accordingly. The dashed line is a guide for the eyes, and the reference values of AΦ in fluxonium devices made with JJA are illustrated by the shaded area. The values and errors are obtained using the least squares method under the assumption that noise amplitudes follow a log-normal distribution. d The areal density of the phenomenological spin defect (σ) plotted against the material disorder quantified by ρxx. The inset represents the correlation between measured ρxx and kFl. Data points with the same color are averaged from devices on a different wafer but with the same fabrication conditions as labeled in (c), and error bars represent the minimum and the maximum within each dataset. The solid line is the fitting that yields \(\sigma \propto {\rho }_{xx}^{\beta }\) where β = 3.10 ± 0.28. The shaded area covers the widely observed areal defect density (σsurf) in the referenced superconducting devices under a same frequency integration range from 10−4 Hz to 109 Hz. The dotted line marks σsurf ~ 4 × 1018 m−2 as a guide for the eyes.
For the 1/f α flux noise, the flux noise exponent α are first plotted for all devices as a function of the material disorder (Fig. 4b). It is revealed that the flux noise exponents across the two probing frequency regimes (namely, frequencies around the qubit frequencies where T1 traces are measured and frequencies around the spin-echo filter band) take values from ~0.8 to ~1.2. This finding is consistent with a number of reported qubit devices23,28,29,39. It is worth noting that α is frequency dependent and can deviate from unity under distinct frequency regimes (see Supplementary Fig. 7 for instance)29,40,41. Nevertheless, since it is practically challenging to measure the complete noise spectra for all the qubit devices, we have approximated the noise spectra to take a constant α value within the frequency regimes of interest. We argue that such approximation is sufficient for the purpose of this study as the flux noise amplitudes were found to have spanned by at least one order of magnitude, and the impact of fluctuation of α within the frequency regimes can be considered as a secondary effect. Using AΦ as an explicit measure of the qubit dephasing properties, it is found that the overall 1/fα flux noise amplitudes are much larger than the JJA-based devices25,35. In addition, the noise amplitude increases with the increase of the kinetic inductance (Fig. 4c).
To gain more insight into the physical origins of such a correlation, noise amplitudes were converted to intensive material properties under a phenomenological spin-defect model18,39,40,42,43,44. Since all of the devices are in the λ > w ≫ t regime, where the magnetic field distribution is essentially homogeneous21, the total flux variance can be written as \(\langle {\Phi }^{2}\rangle={\mu }_{0}^{2}{m}_{B}^{2}\sigma /12\cdot (p/w)\) (see Supplementary Information for more experimental validation)39,40,45. Here, σ is the areal density of the phenomenological spin defects and mB = mμB is the effective magnetic moment defined by a constant m (depending on the nature of the defect) times the Bohr magneton μB. Thus, using \(\langle {\Phi }^{2}\rangle=2\int_{{\omega }_{1}}^{{\omega }_{2}}d\omega {S}_{\Phi }(\omega )\) within the framework of our 1/fα noise approximation23, the areal density of the phenomenological spin defects \({m}^{2}\sigma=24/{\mu }_{0}^{2}{\mu }_{B}^{2}\cdot (w/p)\cdot {A}_{\Phi }^{2}{{\omega }_{{{{{\rm{ref}}}}}}}^{\alpha -1}\int_{{\omega }_{1}}^{{\omega }_{2}}d\omega \cdot {\omega }^{-\alpha }\) is calculated for each device and plotted versus the material disorder (Fig. 4d) following the convention ωref/2π = 1 Hz, ω1/2π = 10−4 Hz and ω2/2π = 109 Hz40,42. Again, owing to the largely homogeneous magnetic-field distribution, we treat the source of the spin defects solely from the bulk of the TixAl1-xN inductor wires.
At the low-disorder limit and assuming mB = μB, the areal spin defect density ~1 × 1018 m−2 is on par with the universal values measured on superconducting resonators, flux qubits, and superconducting quantum interference devices when using the same frequency integration range39,40,44,45,46. With an increase in material disorder, the defect density increases rapidly, indicative of a possible crossover from a surface-limited regime to a disorder-limited regime. Although there are distinctions across different material systems, this result could serve as an additional data set to understand the long-lasting flux-noise problems. More interestingly, by fitting the measured devices, a tentative correlation is acquired and yields \(\sigma \propto {\rho }_{xx}^{\beta }\) with β = 3.10 ± 0.28 ≈ 3. Under the free-electron approximation where \({\rho }_{xx}^{-1}\propto {k}_{F}\cdot ({k}_{F}l)\) and considering the fact that kF is essentially a constant in our case (Supplementary Table 1), the above relation is thus approximately equivalent to \(\sigma \propto {({k}_{F}l)}^{-3}\) (see Fig. 4d inset for the range of kFl).
Discussion
We conclude by discussing the implication of the results. First, the physical simplicity and the robustness in achieving a stable dielectric losses are advantageous of disordered TixAl1-xN. The compromises, although yet clear for other similar systems, are the large flux noise or the inductive losses intrinsically associated with the disorder. As such, in applications that are flux insensitive e.g., the quasicharge10 and 0-π13 qubits, the introduction of material disorder is a practical approach to engineer for high-impedance circuits. While in the realm of flux-tunable devices such as fluxonium qubits, a strategy from the high-coherence consideration is to further reduce the disorder and deliberately balance between the achievable qubit parameters and the flux-noise sensitivity.
Secondly, the phenomenological spin defect density is seemingly only dependent on the disorder, irrespective of other material properties. To be specific, as kF is largely invariant, the intriguing \(\sigma \propto {({k}_{F}l)}^{-3}\) relation has suggested a possible correspondence between the phenomenological spin defects and the volumetric density of the elastic scattering centers. It is thus reasonable to postulate that either the formation of the spin defects is correlated with that of the scattering defects, or the phenomenological spin defect is a collective manifestation of the scattering processes. It is noted that if the spin defects were assumed to be unpaired electrons with mB = μB in the strong disorder limit (ρxx > 10−3 Ω-cm), the volumetric spin defect density is comparable to the charge carrier density of the material ( ~1028 m−3). In this case, one might expect the superconductivity to vanish, however, these samples still exhibit robust superconductivity. A tentative rationalization of such counter-intuition is that the superconductivity survives owing to the percolating channels or the strongly-coupled superconducting granules. This bears a resemblance to the granular aluminum47,48 in which superconductivity is still observed even when the material is prepared with resistivity larger than the critical value. In turn, the flux noise seen by the superconducting granules could be from the high density of the dangling spins residing in the non-superconducting regimes. Such experimental evidence on the correlation between disorder and magnetic spin density could offer additional insights into the mechanisms underlying the phase transition of superconductors2 and novel approaches to alleviate such high density of defects.
At a microscopic level, it is thus far unclear whether a specific type of randomly distributed defects (e.g., anion vacancies, anti-sites, interstitial sites, etc.) is to be attributed as the source of such noisy spins. For instance, the fact that the sample set annealed in nitrogen sharing a similar correlation between σ and ρxx with those annealed in argon has indicated the limited impact of the nitrogen vacancies. A background of ~10 at.% oxygen defects was observed across all samples (see Supplementary Fig. 9) but is difficult to be accounted for the orders of magnitude change in the spin defect density. On the other hand, if the spin defects are actually segregated in the non-superconducting regimes, dangling electron spins from the aliovalent dopants (i.e., Ti-doped aluminum nitride) could be considered as a potential noisy source. Plus, given that the wafers were only annealed for a finite time, the contribution from factors such as non-equilibrium defects, progressive microstructure, and the density of the spinodal segregation boundaries49 are yet to be ruled out.
A potentially helpful and prominent experiment would be the universality check of such relationship for materials with distinct compositions and preparation conditions across a larger parametric space. If a material dependency of the above correspondence fails to exist and the correlation between σ and ρxx (or kFl) still holds, such relation could be more of a fundamental mechanism that governs the disordered electronic systems; while if it does, the two parameters are in principle independent properties, which in turn, can be engineered for a system with simultaneously large kinetic inductance and low flux noise.
Methods
Device fabrication
The device fabrication follows and extends from the established approach22, while a more comprehensive illustration and detailed characterization on the devices are provided in the Supplementary Information. The device fabrication starts from the single-side-polished sapphire wafers sputtered with TixAl1-xN films with varied thicknesses and chemical compositions at 300 °C. The chemical compositions were nominal compositions determined from the the sputtering rates of single-layer TiN and AlN films. The as-grown films were coated with a 100 nm-thick SiNx hardmask using a plasma-enhanced chemical vapor deposition system at 200 °C. The hardamsk is then lithographically patterned and etched with an inductively-coupled plasma etching system (ICP) into a rectangular-shaped patch, followed by the SC-1 wet etch to remove the exposed TixAl1-xN films. After etching, the wafers were sent to the annealing tube of an low-pressure chemical vapor deposition system to perform thermal treatment. The purpose of the annealing is to introduce phase segregation in the TixAl1-xN films, while at the same time the exposed sapphire surfaces are treated. Samples were vertically loaded in the center of the hot zone and the tube was then purged with argon (5N-purity) or nitrogen (5N-purity). A constant flow of argon/nitrogen at 3000 sccm was maintained throughout the anneal at atmospheric pressure. The annealing time was fixed at 30 min while the annealing temperatures were varied to achieve different material properties. After the thermal processing, the wafers were sent to the sputter chamber again to deposit a layer of 100 nm-thick TiN films. The TiN films were then patterned using the similar hardmask and wet-etch steps to form the backbone of the low-loss quantum circuits. When the patterning was done for both the TixAl1-xN patch and the TiN films, the wafer was rinsed in diluted hydrofluoric acid (DHF) to remove all the SiNx hardmask layers. A resistivity check was performed at this stage on the TixAl1-xN layers to determine the final geometry of the inductor wires. To form an inductor with desired total inductance, the TixAl1-xN patch is lithographically patterned with the PMMA resists using a high-resolution e-beam lithography system, and dry etched with the ICP system using a chlorine-based etching recipe. After the patterning, the wafer stack was thoroughly cleaned using organic solvents and the morphology was checked. With the formation of the majority of the fluxonium circuits, the final step is the fabrication of the Manhattan-style Josephson junctions by the shadow-evaporation technique in a high-vacuum e-beam evaporation system. A gentle ion-mill step was added before the evaporation to remove organic residuals and ensure a good galvanic connection between the inductor wires, capacitor pads, and the Josephson junctions. The wafer stacks were then cleaned and diced for the following cryogenic tests.
Cryogenic measurement setup
Standard heterodyne setups were used to characterize the qubits (the schematics of the measurement setup was given in the Supplementary Fig. 3). Arbitrary waveform generators were used to generate the qubit driving and readout signals, respectively, and then modulated with carrier waves generated by microwave sources. At the signal input, cryogenic attenuators at different stages, low-pass filters, infrared filters, and DC blocks were applied to achieve thermal anchoring and noise suppression. A total of 60 dB and 80 dB attenuation were used for the charge driving (XY) and readout inputs, respectively. At the output of the readout signals, an infrared filter, a low-pass filter and three-stage isolators were applied. The signals were then amplified by the high-mobility-electron-transistor amplifiers at the 4 K stage and additional amplifiers at the room temperatures. In terms of the flux tuning of the qubits, a DC source and an arbitrary waveform generator were used on two dedicated input lines and combined via a home-made bias-tee at the mixing chamber stage. The DC-flux lines and the fast-flux lines (Z-lines) were equipped with dedicated sets of the RC filters (10 kHz), cryogenic attenuators, home-made copper-powder filters, infrared filters, or low-pass filters to achieve thermal anchoring and noise suppression. A total of 30 dB attenuation were used for the fast-flux lines. Copper, aluminum and μ-metal shields were used surrounding the samples to isolate the samples from environmental noises.
Transport studies
The transport studies were performed on patterned Hall-bar dies patterned along with the qubit wafers. The width of the Hall-bar channel is 100 μm and the length of the channel is 190 μm. The electrical connections to the sample puck were made by aluminum wedge bonding (see inset of Supplementary Fig. 10 for wiring schematics). The samples were then loaded in a physical-properties measurement system equipped with a tilting sample stage for all the subsequent characterizations. A constant current of 1 μA was supplied for both longitudinal and Hall resistance measurement.
Material characterization
The X-ray diffractometry studies including linescans and rocking curves were performed on a high-resolution D8 ADVANCE X-ray diffraction system with optics set up for epitaxial-film studies. The X-ray photo-electron spectroscopy (XPS) studies were performed on a ESCALAB Xi+ XPS system at an incident angle of 60°. The system was first calibrated with standard samples, and the selective milling between titanium, aluminum, oxygen, and nitrogen was confirmed to be minimal. For the XPS depth-profile studies, the milling area was set to be 2 mm by 2 mm while the analyzing area was concentric with the milling area and set to be 0.4 mm by 0.4 mm. High milling current of the Ar+ was applied, and the beam energy was set to 2000 eV. The spectra were taken after every milling step in a 10 s interval for the surface region and 60 s interval for the bulk part. For the transmission-electron microscopy (TEM) studies, the samples were prepared using in situ focused-ion-beam liftout and coated with a layer of gold for surface protection. The bright-field images were taken in a aberration-corrected Themis-Z system at 200 keV, and the energy-dispersive spectroscopy (EDS) mappings were taken under scanning-TEM mode with a Super X FEI system. The scanning-electron microscopy images were taken in the secondary-electron mode with a GeminiSEM system and the atomic force microscope (AFM) scans were performed on a Jupiter XR AFM system under the conventional AC-tapping mode.
Data availability
Relevant data supporting the key findings of this study are available within the article and the Supplementary Information file. All raw data generated during the current study are available from the corresponding authors upon request.
References
Kjaergaard, M. et al. Superconducting qubits: current state of play. Annu. Rev. Condens. Matter Phys. 11, 369–395 (2020).
Sacépé, B., Feigel’man, M. & Klapwijk, T. M. Quantum breakdown of superconductivity in low-dimensional materials. Nat. Phys. 16, 734–746 (2020).
Grünhaupt, L. et al. Granular aluminium as a superconducting material for high-impedance quantum circuits. Nat. Mater. 18, 816–819 (2019).
Hazard, T. M. et al. Nanowire superinductance fluxonium qubit. Phys. Rev. Lett. 122, 010504 (2019).
Astafiev, O. V. et al. Coherent quantum phase slip. Nature 484, 355–358 (2012).
de Graaf, S. E. et al. Charge quantum interference device. Nat. Phys. 14, 590–594 (2018).
Rieger, D. et al. Granular aluminium nanojunction fluxonium qubit. Nat. Mater. 22, 194–199 (2023).
Zmuidzinas, J. Superconducting microresonators: physics and applications. Annu. Rev. Condens. Matter Phys. 3, 169–214 (2012).
Manucharyan, V. E., Koch, J., Glazman, L. I. & Devoret, M. H. Fluxonium: single cooper-pair circuit free of charge offsets. Science 326, 113–116 (2009).
Pechenezhskiy, I. V., Mencia, R. A., Nguyen, L. B., Lin, Y. H. & Manucharyan, V. E. The superconducting quasicharge qubit. Nature 585, 368–371 (2020).
Kalashnikov, K. et al. Bifluxon: fluxon-parity-protected superconducting qubit. PRX Quantum 1, 010307 (2020).
Gyenis, A. et al. Experimental realization of a protected superconducting circuit derived from the 0 - π qubit. PRX Quantum 2, 010339 (2021).
Brooks, P., Kitaev, A. & Preskill, J. Protected gates for superconducting qubits. Phys. Rev. A 87, 052306 (2013).
Le, D. T., Grimsmo, A., Müller, C. & Stace, T. M. Doubly nonlinear superconducting qubit. Phys. Rev. A 100, 062321 (2019).
Oliver, W. D. & Welander, P. B. Materials in superconducting quantum bits. MRS Bull. 38, 816–825 (2013).
Murray, C. E. Material matters in superconducting qubits. Mater. Sci. Eng. R. Rep. 146, 100646 (2021).
Siddiqi, I. Engineering high-coherence superconducting qubits. Nat. Rev. Mater. 6, 875–891 (2021).
Paladino, E., Galperin, Y., Falci, G. & Altshuler, B. L. 1/ f noise: implications for solid-state quantum information. Rev. Mod. Phys. 86, 361–418 (2014).
Müller, C., Cole, J. H. & Lisenfeld, J. Towards understanding two-level-systems in amorphous solids: insights from quantum circuits. Rep. Prog. Phys. 82, 124501 (2019).
De Graaf, S. E., Un, S., Shard, A. G. & Lindström, T. Chemical and structural identification of material defects in superconducting quantum circuits. Mater. Quantum Technol. 2, 032001 (2022).
Clem, J. R. Inductances and attenuation constant for a thin-film superconducting coplanar waveguide resonator. J. Appl. Phys. 113, 013910 (2013).
Gao, R. et al. Ultrahigh kinetic inductance superconducting materials from spinodal decomposition. Adv. Mater. 34, 2201268 (2022).
Bylander, J. et al. Noise spectroscopy through dynamical decoupling with a superconducting flux qubit. Nat. Phys. 7, 565–570 (2011).
Sun, H. et al. Characterization of loss mechanisms in a fluxonium qubit. Phys. Rev. Appl. 20, 034016 (2023).
Bao, F. et al. Fluxonium: an alternative qubit platform for high-fidelity operations. Phys. Rev. Lett. 129, 010502 (2022).
Gao, R. et al. Epitaxial titanium nitride microwave resonators: structural, chemical, electrical, and microwave properties. Phys. Rev. Mater. 6, 036202 (2022).
Deng, H. et al. Titanium nitride film on sapphire substrate with low dielectric loss for superconducting qubits. Phys. Rev. Appl. 19, 024013 (2023).
Yan, F. et al. The flux qubit revisited to enhance coherence and reproducibility. Nat. Commun. 7, 12964 (2016).
Quintana, C. M. et al. Observation of classical-quantum crossover of 1/f flux noise and its paramagnetic temperature dependence. Phys. Rev. Lett. 118, 057702 (2017).
Manucharyan, V. E. et al. Evidence for coherent quantum phase slips across a josephson junction array. Phys. Rev. B 85, 024521 (2012).
Finkel’stein, A. M. Suppression of superconductivity in homogeneously disordered systems. Phys. B: Condens 197, 636–648 (1994).
Carbillet, C. et al. Spectroscopic evidence for strong correlations between local superconducting gap and local Altshuler-Aronov density of states suppression in ultrathin NbN films. Phys. Rev. B 102, 024504 (2020).
Sacépé, B. et al. Disorder-induced inhomogeneities of the superconducting state close to the superconductor-insulator transition. Phys. Rev. Lett. 101, 157006 (2008).
Ioffe, A. F. & Regel, A. R. Non-crystalline, amorphous and liquid electronic semiconductors. Prog. Semicond. 4, 237–291 (1960).
Nguyen, L. B. et al. High-coherence fluxonium qubit. Phys. Rev. X 9, 041041 (2019).
Somoroff, A. et al. Millisecond coherence in a superconducting qubit. Phys. Rev. Lett. 130, 267001 (2023).
Feigel’man, M. V. & Ioffe, L. B. Microwave properties of superconductors close to the superconductor-insulator transition. Phys. Rev. Lett. 120, 037004 (2018).
de Graaf, S. E. et al. Two-level systems in superconducting quantum devices due to trapped quasiparticles. Sci. Adv. 6, 5055–5073 (2020).
Bialczak, R. C. et al. 1/f flux noise in josephson phase qubits. Phys. Rev. Lett. 99, 187006 (2007).
Anton, S. M. et al. Magnetic flux noise in dc SQUIDs: temperature and geometry dependence. Phys. Rev. Lett. 110, 147002 (2013).
Nava Aquino, J. A. & de Sousa, R. Flux noise in disordered spin systems. Phys. Rev. B 106, 144506 (2022).
Koch, R. H., Divincenzo, D. P. & Clarke, J. Model for 1/f flux noise in SQUIDs and qubits. Phys. Rev. Lett. 98, 267003 (2007).
Faoro, L. & Ioffe, L. B. Microscopic origin of low-frequency flux noise in josephson circuits. Phys. Rev. Lett. 100, 227005 (2008).
Sendelbach, S. et al. Magnetism in SQUIDs at millikelvin temperatures. Phys. Rev. Lett. 100, 227006 (2008).
Braumüller, J. et al. Characterizing and optimizing qubit coherence based on SQUID geometry. Phys. Rev. Appl. 13, 054079 (2020).
De Graaf, S. E. et al. Direct identification of dilute surface spins on Al2O3: origin of flux noise in quantum circuits. Phys. Rev. Lett. 118, 057703 (2017).
Deutscher, G., Fenichel, H., Gershenson, M., Grünbaum, E. & Ovadyahu, Z. Transition to zero dimensionality in granular aluminum superconducting films. J. Low. Temp. Phys. 10, 231–243 (1973).
Dynes, R. C. & Garno, J. P. Metal-insulator transition in granular aluminum. Phys. Rev. Lett. 46, 137–140 (1981).
Choi, S., Lee, D. H., Louie, S. G. & Clarke, J. Localization of metal-induced gap states at the metal-insulator interface: origin of flux noise in SQUIDs and superconducting qubits. Phys. Rev. Lett. 103, 197001 (2009).
Acknowledgements
We thank the former DAMO Quantum Laboratory team for their technical support during the experimental work at Alibaba Group. We thank Dr. Lev B. Ioffe for the insightful discussion and his comments on the nature of the phenomenological spin defects. We thank Dr. Benjamin Sacépé for his suggestions on the manuscript and the critical comments on the rigorousness in quantifying the material disorder. We thank Dr. Ioan M. Pop for the insightful discussions on disordered materials and qubit studies. We thank the Westlake Center for Micro/Nano Fabrication for fabrication supports. We thank the Instrumentation and Service Center for Physical Sciences, and the Instrumentation and Service Center for Molecular and Physical Sciences at Westlake University for the material characterization services. R.G., X-Z.M., Fei W., C.D. acknowledge the support from Guangdong Provincial Quantum Science Strategic Initiative (Grant No. GDZX2407001). Feng W. and H.-H.Z. are supported by Zhongguancun Laboratory.
Author information
Authors and Affiliations
Contributions
R.G. and C.D. conceived the central concepts and organized the experiments. R.G. synthesized and characterized the materials and fabricated the devices. H.S. and X-Z.M. characterized the devices and executed the noise spectroscopic measurements. Feng W. analyzed the raw data and designed the automatic data processing protocol. R.G., Feng W., C.D., H.S., X.W., and H-H.Z. performd the analysis and interpretation of the data. J.C., Feng W., T.X., and H-H.Z. designed the qubit parameters and circuit layout. H.D. measured the resonator devices. Z.S. assisted the cryogenic measurement setup. C.Z., X-H.M., M.Y., Fei W. assisted the material characterization and device fabrication. R.G., Feng W., H.S., C.D., and Y.S. wrote the core of the manuscript. All authors contributed to the understanding of the results and the writing of the manuscript.
Corresponding authors
Ethics declarations
Competing interests
The authors declare no competing interests.
Peer review
Peer review information
Nature Communications thanks the anonymous reviewers for their contribution to the peer review of this work. A peer review file is available.
Additional information
Publisher’s note Springer Nature remains neutral with regard to jurisdictional claims in published maps and institutional affiliations.
Supplementary information
Rights and permissions
Open Access This article is licensed under a Creative Commons Attribution-NonCommercial-NoDerivatives 4.0 International License, which permits any non-commercial use, sharing, distribution and reproduction in any medium or format, as long as you give appropriate credit to the original author(s) and the source, provide a link to the Creative Commons licence, and indicate if you modified the licensed material. You do not have permission under this licence to share adapted material derived from this article or parts of it. The images or other third party material in this article are included in the article’s Creative Commons licence, unless indicated otherwise in a credit line to the material. If material is not included in the article’s Creative Commons licence and your intended use is not permitted by statutory regulation or exceeds the permitted use, you will need to obtain permission directly from the copyright holder. To view a copy of this licence, visit http://creativecommons.org/licenses/by-nc-nd/4.0/.
About this article
Cite this article
Gao, R., Wu, F., Sun, H. et al. The effects of disorder in superconducting materials on qubit coherence. Nat Commun 16, 3620 (2025). https://doi.org/10.1038/s41467-025-58745-y
Received:
Accepted:
Published:
Version of record:
DOI: https://doi.org/10.1038/s41467-025-58745-y






