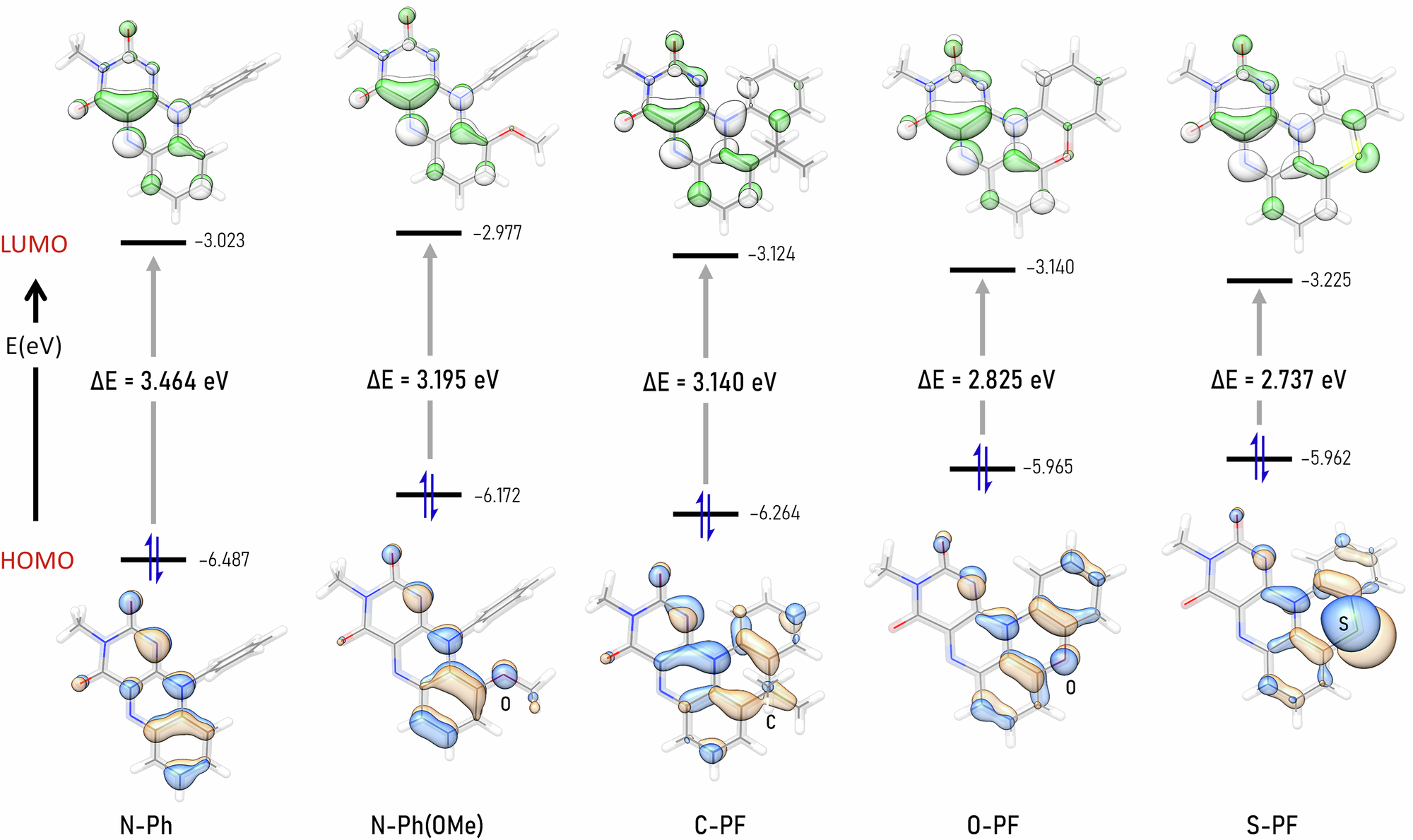
Fig. 6: Computational studies.
From: Expanding the chemical space of flavins with pentacyclic architecture

Frontier molecular orbitals and the HOMO-LUMO energy gap (ΔE in eV) of the entire series. Calculated at SMD (DMSO) B3LYP-D3(BJ)/ Def2-TZVP//Def2-SVP level of theory.