Abstract
Interfacing complex oxides in atomically engineered layered structures can give rise to a wealth of exceptional electronic and magnetic properties that surpass those of the individual building blocks. Herein, we demonstrate a ferromagnetic spin order with a high Curie temperature of 608 K in superlattices consisting of otherwise paramagnetic perovskite LaNiO3 (LNO) and antiferromagnetic LaFeO3 (LFO). The ferromagnetism likely results from the covalent exchange due to interfacial charge transfer from Fe to Ni cations. By deliberately controlling the thickness of the LNO sublayers thus the amount of charge transfer, a robust ferromagnetism of 4 uB is realized for a stacking periodicity consisting of one single unit cell of both LNO and LFO, an emergent double perovskite phase of La2FeNiO6 with B-site layered ordering configurations. The ferromagnetic LFO/LNO superlattices offer great potential for the search of emergent magnetodielectric and/or multiferroic properties as well as applications in spintronics and electrocatalysts.
Similar content being viewed by others
Introduction
Atomically engineered heterostructures of strongly correlated oxides have enabled the rational design of emergent interfacial magnetic and electric properties not present in the constituting layer1,2,3. The most prominent examples are the two-dimensional (2D) electron gas formed at the interface between two band-gap insulators4,5, superconducting interfaces between non-superconducting cuprates6, and the ferromagnetism between two antiferromagnetic materials7. Among the magnetically ordered materials, including ferromagnetic (FM), ferrimagnetic, and antiferromagnetic (AFM), FM and ferrimagnetic materials have significant technological importance in diverse applications, such as permanent magnets, microwave devices, sensors, magnetic recording, and memory media8. Magnetic interfaces, particularly those based on perovskite oxides, ABO3, are of similar technological importance, but the interface-induced changes to electronic structure, orbital occupancy, and charge redistribution in addition to metal–oxygen band hybridization often lead to magnetic exchange interactions across B–O–B bonds different from those of the bulk9,10,11. Notably, although the charge transfer and the emerging functionalities at oxide heterointerfaces have been intensively investigated for early transition metal oxides9,11,12,13,14, the charge transfer across heterostructures consisting of two late transitional metal oxides remains less investigated10,15,16,17. Research is extremely limited for cases where the thickness of the component for the heterointerface or the superlattice is precisely controlled down to a single unit cell (uc) of the perovskite oxide (~0.4 nm)18,19.
Rare-earth nickelate RNiO3 (with R = rare-earth) is a typical family of late transition metal oxides, which have attracted significant interest in recent years due to their remarkable properties including sharp metal-to-insulator transitions (MIT) tunable with the R radius19,20,21 as well as the emergency of superconductivity in the infinitely layered Nd0.8Sr0.2NiO2 thin films22. LaNiO3 (LNO) is the only member of the rare earth perovskite RNiO3 that is a Pauli paramagnetic (PM) metal with no signature of MIT or magnetic order at any temperature. Electronically, LNO is a charge transfer metal with strong hybridization between Ni 3d and oxygen 2p states, where the electronic configuration can be described as a superposition form \(|\psi \rangle=\alpha |3{d}^{7}\rangle+\beta |3{d}^{8}\underline{L}\rangle\) (\(\underline{L}\) denotes a ligand hole on the oxygen ion)23. The system shows partial covalence, and the degree of covalence is given by the ratio between β2 and α2 (α2 + β2 = 1). The hybridization between the 3d band and the oxygen 2p band results in the formation of oxygen holes and a small or negative charge transfer gap21, which are key features of high-temperature superconducting cuprates24. Therefore, strain-engineered thin films or multilayers based on nickelates have been intensively investigated to explore electronic structures that would mimic those of cuprate parent materials25, which prefer AFM order. Moreover, the low-lying Ni 3d bands of LNO with partial filling make it prone to electron acceptors. Notably, ferromagnetic-like behavior has been reported in the paramagnetic LNO layer when it is interfaced with another ferromagnetic layer of LaMnO3 thin films15,16 or a ferrimagnetic layer of GdTiO311. But most of such charge-transfer-induced ferromagnetism shows Curie temperature below room temperature.
In this manuscript, we report a charge transfer-induced ferromagnetism in the heterostructure of LaFeO3/LaNiO3 (LFO/LNO) (Fig. 1a), where LFO is a G-type AFM insulator (Fig. 1b) as electron donor, the amount of the transferred charge is controlled by the thickness of LNO on the scale of 1 uc. In the extreme limit of the single superlattice (SL) stacking periodicity (periodic lattice, p.l.) consisting of one unit cell (uc) pseudo-cubic LNO and one unit cell pseudo-cubic LFO, similar to the theoretically predicted double perovskite (DP) La2NiFeO626, the SL shows not only a high magnetization of 4 μB/p.l., but also a high Curie temperature of 608 K. The emergent properties are not observed either in the constituting materials (LFO and LNO) or the mixed compound LaFe0.5Ni0.5O327, which could result from the formation of an emergent DP phase of La2FeNiO6 with B-site layered ordering configurations along the (001) orientation. The ability to affect interfacial charge transfer and the Ni 3d–O 2p covalency thus the Ni 3d–O 2p–Fe 3d exchange interactions through a precisely controlled approach, not realizable by conventional processing techniques, suggests a new avenue to realizing FM materials.
a The sketch of the SL structure where the thickness of paramagnetic LNO, n, was varied from n = 1 to 5 uc, while the G-AFM LFO layer was set to 1 uc. b The illustration for magnetic structures of G-AFM, paramagnetic (PM), and FM coupling. c and d The cross-sectional STEM HAADF images of the LNO1/LFO1 and LNO4/LFO1 SL, respectively, were recorded along the [100] zone axis. e The EELS maps obtained from the analysis of the La M4,5 (left) and Fe L2,3 (right) signals reveal the epitaxial growth of the periodic structure and cation intermixing confined within 1–2 uc of LFO (within 1 p.l. of the SL).
Results
Creation of LNOn/LFO1 superlattices with layered ordering of cations
We have grown LNOn/LFOm superlattices (SLs) by alternately stacking LNO and LFO layers using pulsed laser deposition on SrTiO3 (STO) (001) substrates (see the “Methods” section), where n and m represent the layer thickness of LNO and LFO in pseudo-cubic uc, respectively. Here n was varied from n = 1 to 5 uc, while the LFO layer was set to 1 uc thick. The LNOn/LFO1 bilayer was repeated 10–20 times to form the SL. The SL growth was monitored in-situ by reflection high-energy electron diffraction (RHEED). Streaked RHEED patterns with clear intensity oscillations were observed during the growth of both LNO and LFO films, implying a 2D layer-by-layer film growth mode (Supplementary Fig. S1). The epitaxial growth of the high-quality LNOn/LFO1 SLs was also confirmed by X-ray diffraction experiments and high-resolution scanning transmission electron microscopy (STEM). Notably, although clear Laue fringes are visible for all the SLs from high-resolution XRD θ–2θ scans (Supplementary Fig. S2) due to their atomically smooth surfaces as confirmed by atomic force microscopy (Supplementary Fig. S3), the satellite peaks indicating the chemically modulated structure with well-defined interfaces were only visible for n ≥ 3, consistent with the previous results on similar structure17. Moreover, for n ≤ 3, the SL is under compressive strain with c ≥ 3.905 Å. While as n > 3, the SL is under tensile strain. Such decrease of out of plane c with increasing n is consistent with the smaller lattice constant of LNO compared to LFO (LFO is orthorhombic with a pseudo-cubic lattice constant a0 = 3.93 Å17, and LNO is rhombohedral with pseudo-cubic a0 = 3.838 Å). Figure 1c and d show the atomically resolved high-angle annular dark-field (HAADF) image of the cross-section of the LNO1/LFO1 SL and LNO4/LFO1 SL samples, respectively, recorded along the [100] zone axis. As the intensity of HAADF-STEM images is sensitive to atomic number (Z), both SLs show coherent epitaxial lattice as demonstrated by the brightest sublattice of the La ions. No dislocations, defects, or any nano-scale phase-separated microstructures such as Fe or Ni metal clusters were observed. The compositional electron energy-loss spectroscopy (EELS) maps obtained from the analysis of the La M4,5 (Fig. 1e left), Fe L2,3 (Fig. 1e right), and Ni L2,3 signals reveal the epitaxial growth of the periodic layered structure, which is flat and continuous over long lateral distances. Cation intermixing of Fe and Ni ions when occurs is found to be confined within 1–2 uc of LFO (within 1 p.l. of the SL). Shortly, high-quality LNOn/LFO1 superlattices with layered ordering of configurations for Fe and Ni cations are successfully fabricated.
Magnetic and transport properties of the emergent ferromagnetic superlattices
LNO is a paramagnetic metal, and LFO is a G-type AFM insulator with intralayer antiparallel spin alignments, which shows one of the highest ordering temperatures of perovskite oxide (TN ≈ 740 K). Remarkably, when they were epitaxially grown along the (001) directions but absent for the (110) and (111) directions (Supplementary Fig. S4), the LNOn/LFO1 SLs show strong signatures of ferromagnetism, which depends critically on the stacking thickness, n, of LNO. Figure 2a shows the hysteresis curves of the LNOn/LFO1 SLs measured at 300 K, i.e. the dependence of the magnetization (M) as a function of the magnetic field B, which is saturated under the applied field above 3.5 kOe. All samples exhibited key characteristics of FM behavior, including hysteresis and remnant magnetization. At n = 5, the SL shows weak saturation ferromagnetism similar to LaFe0.5Ni0.5O3 thin films. Remarkably, as n decreases, the highest saturation magnetization increases significantly, reaching 252.8 emu/cm3 for n = 1, ~4.0 μB/p.l., comparable to the 4.96 μB/f.u. (f.u. = formula unit) for the FM DP La2NiMnO628, and much larger than that of the LaFe0.5Ni0.5O3 thin films (Fig. 2b). Figure 2c shows the temperature dependence of magnetization (M–T curve) for the typical LNOn/LFO1 (n = 1, 3 and 5) SL samples in addition to the LaNi0.5Fe0.5O3 film. The Curie temperature, TC, could be determined based on the minimum value of the temperature coefficient TCM, defined as TCM = 1/M(dM/dT). Remarkably, all the SL samples show a TC much higher than room temperature, around TC = 608, 589, and 419 K, respectively, for n = 1, 3, and 5. It is also noteworthy that the LaNi0.5Fe0.5O3 film shows a TC = 109 K, much lower than those of the SL but higher than the bulk spin glassy temperature of 83 K27. The results strongly suggest that a unique FM order is accessed in the SLs structures with the strongest magnetism obtained at n = 1, an emergent La2NiFeO6 DP structure with B-site layered ordering configuration along (001) direction. As illustrated in Table 1 its TC is close to the highest value (TC = 625 K) reported for Sr2CrReO6 among the DP compounds29. The temperature-dependent resistivity, ρ, of the LNOn/LFO1 (n = 1, 3 and 5) SL sample was also measured between 2 and 300 K, as shown in Fig. 2d. All the SLs show a semiconductive behavior with small polaron conduction mechanism (n ≤ 4) (Supplementary Fig. S5), although the LaFe0.5Ni0.5O3 thin film is found to be highly insulating. This strong conduction difference, in addition to the strong difference in magnetism, may be related to the difference in the ordered arrangement of the Fe and Ni cation atoms over the B-sites, where the higher level of cations ordering prefers higher magnetization and higher conductivity19. We thus obtained an emergent La2NiFeO6 DP with Curie temperature much higher than room temperature, which has been predicted to be a half-metallic ferromagnet26.
a The hysteresis curves of the LNOn/LFO1 SLs measured at 300 K, for comparison the results of LaFe0.5Ni0.5O3 thin films, is also presented. b The hysteresis curve of the LNO1/LFO1 SL measured at 5 K in comparison to the LaFe0.5Ni0.5O3 thin film. c The temperature dependence of magnetization for the LNOn/LFO1 (n = 1, 3 and 5) SLs and the LaNi0.5Fe0.5O3 film. d The temperature-dependent resistivity, ρ, of the LNOn/LFO1 (n = 1, 3, and 5) SLs, showing semiconductive behavior.
Magnetic domain microstructure characterized by magnetic force microscopy
The magnetic domain microstructure and its evolution with respect to the applied field for the LNO1/LFO1 SL were also investigated by magnetic force microscopy (MFM). Generally, the magnetograms obtained by MFM provide information on the effective magnetization along the z direction of the local domains. Figure 3 shows the magnetograms obtained at 2 K in different out-of-plane magnetic fields corresponding to the critical points on the M–H loop in Fig. 2b. Here the red or blue-colored regions represent net-magnetization oriented up (+Mz) or down (−Mz), respectively, and the green color represents the zero Mz signal. As shown in Fig. 3, the as-grown LNO1/LFO1 SL first demonstrates nearly zero-magnetization along the z direction after the zero-field-cooling (ZFC) process. By applying a positive magnetic field along the out-of-plane direction, discrete upward domains begin to appear and grow continuously (+900 Oe), eventually reaching an upward single-domain state at the saturation field of +20 kOe. By applying a negative magnetic field, the single-domain state turns to fragments of upward and downward domains at the coercive field of approximately −250 Oe, corresponding to the zero net magnetization in the M–H loop. The typical size of the fragment domains after magnetization (measured at +250 Oe) is about 300–500 nm (Supplementary Fig. S6). The magnetic domain evolution is repeatable during the field-sweeping process, as further evidenced by the downward single-domain state at −20 kOe and then the fragment-domain state at +250 Oe (the positive coercive field). The domain structures after ZFC and their evolution upon applying magnetic fields are consistent with the direct magnetization measurements. This further confirms that the strong magnetism is intrinsic to our SL samples, where the plausible magnetic contribution from the STO bulk substrate is negligible.
The magnetic contrasts (Δφ) are represented by colors: the red (blue) colored area with positive (negative) Δφ represents the net magnetization projecting along the upward (downward) z direction, and the green colored area with nearly zero Δφ represents for domain walls or the grains with zero-magnetization.
Discussion
The magnetic exchange interactions in 3d perovskite oxides occur through d orbitals (dominated mainly by eg orbitals) centered at neighboring B cations bridged by an oxide ion, referred to as “super-exchange interaction”. The guidelines referred to as the Goodenough–Kanamori–Anderson rules can be used to predict the ferromagnetic and antiferromagnetic states for transition-metal oxides30. The nominal Fe3+ ion in LFO has a 3d5 (t2g3↑eg2↑) configuration. It is AFM in accordance with the Goodenough–Kanamori rules. The nominal Ni3+ ion has a 3d7 (t2g6↑↓eg1↑) configuration with filled t2g orbitals and one electron residing in the doubly degenerate eg orbitals. Due to the electron-acceptor nature of LNO as illustrated in Fig. 4c, the strong ferromagnetism could originate from the electron transfer from the LFO to the LNO layer, which fills not only \(\alpha |3{d}^{7}\rangle\) but also \(\beta |3{d}^{8}\underline{L}\rangle\) states, where the ferromagnetism at the interface could emerge from the covalent exchange coupling between Ni2+ and Fe4+ ions through the hybridization between the oxygen 2p band and the 3d band31.
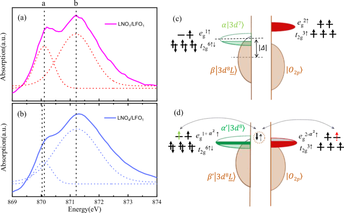
a and b The XAS signal of LNO1/LFO1 and LNO4/LFO1 near the Ni L2 edge, respectively. All curves were fitted with two Gaussian functions, labeled as “a” and “b”. The fitting data were shown as thin dashed lines. c and d The schematic representation of the charge state before and after the charge transfer induced rehybridization process, respectively, from LFO to LNO.
To determine the cation valence (Fe3+/Fe4+, Ni3+/Ni2+) thus the charge transfer in addition to their spatial distribution of the Fe–Ni system32, X-ray absorption spectroscopy (XAS) measurements were performed on our LNOn/LFO1 (n = 1 and 4) SL samples. The signal of the Fe L2,3 edge was found to show roughly similar features between LNO1/LFO1 and LNO4/LFO1 samples, except that the splitting between the two Fe L3 peaks of the LNO1/LFO1 was slightly wider than that of the LNO4/LFO1 sample (Supplementary Fig. S7). In contrast, the XAS signal at the Ni L2,3 edge, after correction for the overlap of the La M4,5 signal, shows a distinct difference between LNO1/LFO1 and LNO4/LFO1 (Supplementary Fig. S7). The shape of the spectra in our SL samples clearly deviates from that of the LNO film33, which readily indicates a different formal Ni oxidation state. Particularly, as shown in Fig. 4a and b, we compared the Ni L2-edge region for the LNO1/LFO1 and LNO4/LFO1 samples. This region has no overlap with La edges and shows quite distinct features between Ni3+ and Ni2+ thus can gain insight into the Ni valence in our samples as reported previously11. The Ni L2 experimental spectra for the LNO1/LFO1 and LNO4/LFO1 samples were fitted with two Gaussian peaks labeled as ‘a’ and ‘b’. The changes in the spectral shape, particularly the sharpening of the low-energy feature (labeled ‘a’), are reminiscent of the signature of Ni2+ in the NiO34. By comparing the relative intensity of the two features (‘a’ and ‘b’), it is clear that the Ni valence is more strongly reduced towards 2+ for the LNO1/LFO1 sample than the LNO4/LFO1 sample. These results not only confirm the charge transfer from Fe to Ni ions in the LNOn/LFO1 SL samples but also reveal a strong dependence of the number of transferred electrons on the thickness of the nickelate, where the charge transfer length is in a short-range nature and strongly confined to the proximity of the interface.
Upon charge transfer, the filling of the Ni3+ \(\alpha |3{d}^{7}\rangle\) increases Ni2+ \(\alpha {\prime} |3{d}^{8}\rangle\) and the level of the corresponding subband will decrease. As a result, the overlapping or the hybridization between the 3d band and the oxygen 2p band \(\beta {\prime} |3{d}^{8}\underline{L}\rangle\) will also increase, as illustrated in Fig. 4d. This rehybridization process requires a redistribution of electrons between the \(|3{d}^{7}\rangle\) and the \(|3{d}^{8}\underline{L}\rangle\) states, which occurs at an energy cost |∆| for each electron transferred between \(|3{d}^{8}\underline{L}\rangle\) and \(\alpha |3{d}^{7}\rangle\), but thanks to the presence of \(\alpha {\prime} |3{d}^{8}\rangle\), the |∆| is expected to be decreased after change transfer and the rehybridization is more prone to occur. On the other hand, due to the strong covalent character of LNO with a large rare-earth size, which increases the cost of rehybridization, the competition between the charge transfer, controlled by the energy gain associated with the difference in electron affinity, and the cost of rehybridization, limits the number of electrons that can be transferred across the interface. Notably, changes in the multiplet splitting of the Ni L3 absorption edge can be used to estimate the level of covalence35. This splitting corresponds to the energy separation between t2g and eg levels resulting from the interplay between hybridization and Coulomb repulsion, which is both stronger for eg levels. Previous studies have shown that the larger splitting of the L3 peaks indicates a decrease in covalence11,34. The fitted XAS at the Ni L3 edge also indicates that peak splitting increases from LNO1/LFO1 to the LNO4/LFO1 samples, reflecting a decrease in covalence, where a weakened ferromagnetism is also observed. These results suggest that the charge transfer from Fe3+ to Ni3+ indeed results in an increase of covalence, favoring the ferromagnetic Ni2+–O2−–Fe4+ interactions31. The hybridization and charge transfer along the interfacial Fe–O–Ni bonds are mainly proposed to explain the ferromagnetism across the interface and on the Ni site. As for the magnetic nature of the LFO single layer, in contrast to the bulk G-AFM configuration, it probably exhibits a helicoidal magnetic (HM) ordering due to the negative charge transfer energy and the enhanced oxygen–oxygen hopping amplitude when it is interfaced with LNO upon charge transfer36. It is noteworthy that X-ray magnetic circular dichroism (XMCD) measurements showed negligible local Fe or Ni moments at the Fe L2,3 and Ni L2,3, although they were found to be coupled ferromagnetically to each other. As for the fact that the estimated Fe and Ni moment from XMCD is significantly lower than that measured by the SQUID magnetometry, it might result from the presence of a surface layer with a strongly reduced FM signal as the XMCD measurement was performed in total electron yield configuration, which is very surface sensitive and probes only a few nano-meter deep. Similar huge deviations have been also observed in BaFeO3 thin films37 and for LaMnO3/LaNiO3 superlattices16. Therefore, the exact origin of the strong ferromagnetism remains under investigation.
In summary, we have created a late transition metal oxide superlattice composed of LNOn/LFO1 exhibiting robust ferromagnetism with high magnetization and Curie temperature significantly larger than room temperature by precisely controlling the charge transfer as well as the interfacial orbital hybridization. The latter is viable for tuning the strength of the exchange interactions in all-oxide heterostructures. The semiconducting and FM LNO1/LFO1 SL, which can be regarded as an emergent DP phase of La2FeNiO6 with B-site layered ordering configurations along the (001) orientation, can have a wide spectrum of applications for spintronics.
Methods
Sample fabrication and characterization
High-quality LNOn/LFO1 SLs were epitaxially grown on (001)-oriented STO substrates by pulsed laser deposition (KrF, λ = 248 nm) with 10–20 repetitions. During film growth, the substrate temperature was kept at 620 °C and the oxygen pressure was set to 3.4 × 10−2 mbar. The fluency of the laser pulse was 1.2 J/cm2, and the repetition rate was 2 Hz. The SL growth was monitored in situ by reflection high-energy electron diffraction (RHEED). Layer-by-layer epitaxial growth was achieved for both the LNO and LFO layers. After deposition, the sample was cooled to room temperature under the oxygen pressure of 0.1 mbar. The crystal structure of the superlattice was observed by X-ray diffraction (XRD).
The magnetic properties were measured by a quantum-designed vibrating sample magnetometer (VSM-SQUID). The M–T measurements were performed in two temperature ranges from 2–300 and 300–750 K using the same system with an oven option. The transport measurement was measured by a physical properties measurement system (PPMS) at temperatures from 5 to 300 K.
MFM measurements were performed in a variable temperature system from attocube equipped with a superconducting magnet (attoDRY2100). All measurements were conducted in a vacuum at 2 K, based on a phase modulation technique in noncontact mode, with a cantilever (PPP-MFMR) with a spring constant k ~ 2.8 N/m and a resonant frequency f ~ 75 kHz.
Scanning transmission electron microscopy (STEM)
For cross-sectional microscopy, the sample was prepared by using focused ion beam (FIB) milling. Cross-sectional lamellas were thinned down to 60 nm thick at an accelerating voltage of 30 kV with a decreasing current from the maximum of 2.5 nA, followed by fine polish at an accelerating voltage of 2 kV with a small current of 40 pA. STEM measurements were conducted by a double Cs-corrected JEOL JEM-ARM200CF operated at 200 kV with a CEOS Cs corrector (CEOS GmbH, Heidelberg, Germany).
X-ray absorption spectroscopy (XAS)
Resonant X-ray reflectometry (RXR) experiments were carried out at the REIXS beamline of the Canadian Light Source at 300 K in an ultrahigh vacuum environment.
Data availability
All data needed to evaluate the conclusions in the paper are present in the paper and/or the Supplementary Materials. Additional data related to this paper may be requested from the authors.
References
Rijnders, G. & Blank, D. H. A. Build your own superlattice. Nature 433, 369–370 (2005).
Hwang, H. Y. et al. Emergent phenomena at oxide interfaces. Nat. Mater. 11, 103–113 (2012).
Reiner, W., Walker, F. J. & Ahn, C. H. Atomically engineered oxide interfaces. Science 323, 1018 (2009).
Ohtomo, A. & Hwang, H. Y. A high-mobility electron gas at the LaAlO3/SrTiO3 heterointerface. Nature 427, 423–426 (2004).
Chen et al. A high-mobility two-dimensional electron gas at the spinel/perovskite interface of γ-Al2O3/SrTiO3. Nat. Commun. 4, 1371 (2013).
Gozar, A. et al. High-temperature interface superconductivity between metallic and insulating copper oxides. Nature 455, 782–785 (2008).
Ueda, K., Tabata, H. & Kawai, T. Ferromagnetism in LaFeO3–LaCrO3 Superlattices. Science 280, 1064 (1998).
Coey, J. M. D. Magnetism and Magnetic Materials 617 (Cambridge University Press, 2018).
Hellman, F. et al. Interface-induced phenomena in magnetism. Rev. Mod. Phys. 89, 025006 (2017).
Rogge, P. C. et al. Depth-resolved modulation of metal-oxygen hybridization and orbital polarization across correlated oxide interfaces. Adv. Mater. 31, 1902364 (2019).
Grisolia, M. N. et al. Hybridization-controlled charge transfer and induced magnetism at correlated oxide interfaces. Nat. Phys. 12, 484 (2016).
Kleibeuker, J. E. et al. Electronic reconstruction at the isopolar LaTiO3/LaFeO3 interface: an X-ray photoemission and density-functional theory study. Phys. Rev. Lett. 113, 237402 (2014).
Cao, Y. et al. Engineered Mott ground state in a LaTiO3+δ/LaNiO3 heterostructure. Nat. Commun. 7, 10418 (2016).
Han, M. J., Wang, Xin, Marianetti, C. A. & Millis, A. J. Dynamical mean-field theory of nickelate superlattices. Phys. Rev. Lett. 107, 206804 (2011).
Gibert, M. et al. Exchange bias in LaNiO3–LaMnO3 superlattices. Nat. Mater. 11, 195 (2012).
Piamonteze, C. et al. Interfacial properties of LaMnO3/LaNiO3 superlattices grown along (001) and (111) orientations. Phys. Rev. B 92, 014426 (2015).
Chen, B. et al. Strain-engineered metal-to-insulator transition and orbital polarization in nickelate superlattices integrated on silicon. Adv. Mater. 32, 2004995 (2020).
Bange, J. P. et al. Charge transfer control of emergent magnetism at SrMnO3/LaMnO3 interfaces. Adv. Mater. Interfaces 9, 2201282 (2022).
Ksoll, P. et al. Emergent double perovskite phase at LaMnO3/LaNiO3 interfaces: coupled charge transfer and structural reconstruction. Phys. Rev. B 103, 195120 (2021).
Torrance, J. B., Lacorre, P., Nazzal, A. L., Ansaldo, E. J. & Niedermayer, C. Systematic study of insulator-metal transitions in perovskites RNiO3 (R = Pr, Nd, Sm, Eu) due to closing of charge-transfer gap. Phys. Rev. B 45, 8209–8212 (1992).
Bisogni, V. et al. Ground-state oxygen holes and the metal–insulator transition in the negative charge-transfer rare-earth nickelates. Nat. Commun. 7, 13017 (2016).
Li, D. et al. Superconductivity in an infinite-layer nickelate. Nature 572, 624–627 (2019).
Zaanen, J., Sawatzky, G. A. & Allen, J. W. Band gaps and electronic structure of transition-metal compounds. Phys. Rev. Lett. 55, 418 (1985).
Zhang, F. & Rice, T. Effective Hamiltonian for the superconducting Cu oxides. Phys. Rev. B 37, 3759–3761 (1988).
Boris, A. et al. Dimensionality control of electronic phase transitions in nickel-oxide superlattices. Science 332, 937 (2011).
Lv, S. et al. A new half-metallic ferromagnet La2NiFeO6: predicted from first-principles calculations. J. Phys. Chem. C. 114, 16710–16715 (2010).
Gateshki, M. et al. Structural, magnetic and electronic properties of LaNi0.5Fe0.5O3 in the temperature range 5–1000 K. J. Solid State Chem. 181, 1833–1839 (2008).
Rogado, N. S., Li, J., Sleight, A. W. & Subramanian, M. A. Magnetocapacitance and magnetoresistance near room temperature in a ferromagnetic semiconductor: La2NiMnO6. Adv. Mater. 17, 2225 (2005).
Serrate, D., Teresa, J. M. De & Ibarra, M. R. Double perovskites with ferromagnetism above room temperature. J. Phys.: Condens. Matter 19, 023201 (2007).
Goodenough, J. B. Theory of the role of covalence in the perovskite-type manganites (La M(II))MnO3. Phys. Rev. 100, 564 (1955).
Goodenough, J. B. Covalent exchange vs. superexchange in two nickel oxides. J. Solid State Chem. 127, 126 (1996).
Wang, L. et al. Understanding the electronic structure evolution of epitaxial LaNi1−xFexO3 thin films for water oxidation. Nano Lett. 21, 8324–8331 (2021).
Sakai, E. et al. Gradual localization of Ni 3d states in LaNiO3 ultrathin films induced by dimensional crossover. Phys. Rev. B 87, 075132 (2013).
Middey, S. et al. Polarity compensation in ultra-thin films of complex oxides: the case of a perovskite nickelate. Sci. Rep. 4, 6819 (2014).
Piamonteze, C. et al. Spin-orbit-induced mixed-spin ground state in RNiO3 perovskites probed by x-ray absorption spectroscopy: insight into the metal-to-insulator transition. Phys. Rev. B 71, 020406 (2005).
Mostovoy, M. Helicoidal ordering in iron perovskites. Phys. Rev. Lett. 94, 137205 (2005).
Tsuyama, T. et al. X-ray spectroscopic study of BaFeO3 thin films: an Fe4+ ferromagnetic insulator. Phys. Rev. B 91, 115101 (2015).
Acknowledgements
The discussions with R. Green and C. Piamonteze are greatly appreciated. The authors thank the support from the Science Center of the National Science Foundation of China (52088101), the National Key Research and Development Program of China (2023YFA1406400, 2021YFA1400300), the National Natural Science Foundation of China (51327806, 52072400, 52322212, T2394472, T2394470), and the support from the Synergetic Extreme Condition User Facility (SECUF). Part or all of the research described in this paper was performed at the Canadian Light Source, a national research facility of the University of Saskatchewan, which is supported by the Canada Foundation for Innovation (CFI), the Natural Sciences and Engineering Research Council (NSERC), the Canadian Institutes of Health Research (CIHR), the Government of Saskatchewan, and the University of Saskatchewan.
Author information
Authors and Affiliations
Contributions
Y.Z.C. designed the concept and experiments. T.L.Z., F.G., and S.J.Q. fabricated the samples and performed magneto-transport characterization. Y.S.C. performed the MFM experiment and data analysis. Y.Z.H. and Q.H.Z. performed the STEM measurements and analysis. B.G.S., J.R.S., F.X.H., X.Z.H., Y.C.Z., M.H.L., and J.J.L. discussed the results and interpretations. All authors wrote the manuscript together.
Corresponding author
Ethics declarations
Competing interests
The authors declare no competing interests.
Peer review
Peer review information
Nature Communications thanks the anonymous reviewer(s) for their contribution to the peer review of this work. A peer review file is available.
Additional information
Publisher’s note Springer Nature remains neutral with regard to jurisdictional claims in published maps and institutional affiliations.
Supplementary information
Rights and permissions
Open Access This article is licensed under a Creative Commons Attribution-NonCommercial-NoDerivatives 4.0 International License, which permits any non-commercial use, sharing, distribution and reproduction in any medium or format, as long as you give appropriate credit to the original author(s) and the source, provide a link to the Creative Commons licence, and indicate if you modified the licensed material. You do not have permission under this licence to share adapted material derived from this article or parts of it. The images or other third party material in this article are included in the article’s Creative Commons licence, unless indicated otherwise in a credit line to the material. If material is not included in the article’s Creative Commons licence and your intended use is not permitted by statutory regulation or exceeds the permitted use, you will need to obtain permission directly from the copyright holder. To view a copy of this licence, visit http://creativecommons.org/licenses/by-nc-nd/4.0/.
About this article
Cite this article
Zhou, T., Gao, F., Zhang, Q. et al. Ferromagnetism in LaFeO3/LaNiO3 superlattices with high Curie temperature. Nat Commun 16, 3691 (2025). https://doi.org/10.1038/s41467-025-58968-z
Received:
Accepted:
Published:
Version of record:
DOI: https://doi.org/10.1038/s41467-025-58968-z






