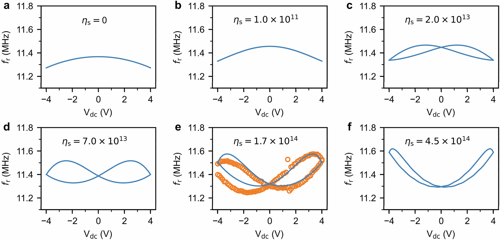
Fig. 5: Softening-to-butterfly transition.
From: High-quality-factor viscoelastic nanomechanical resonators from moiré superlattices

a–f The resonant frequency tuning calculated by KVM with capacitive softening (see Methods) as ηs increases from 0 to 4.5 × 1014 Pa s, which shows the transition from the capacitive softening to the butterfly-shaped hysteresis loop. The experimental butterfly loop in (e) is measured in drum 8 (D = 8 μm) of Device D with θ ~ 12°.