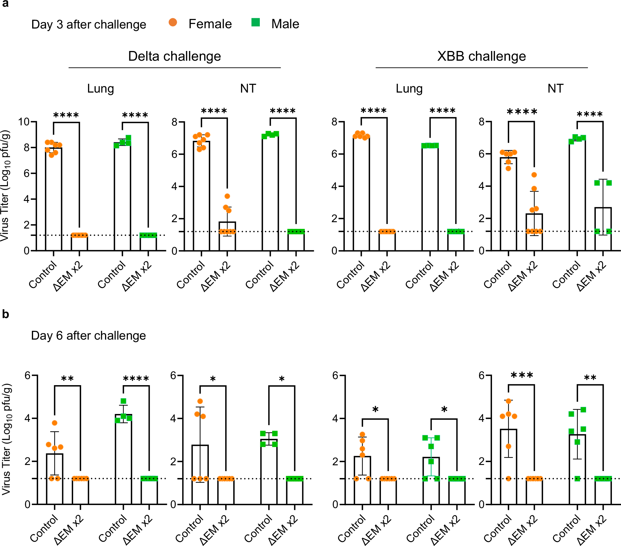
Fig. 4: Protective efficacy of ΔEM vaccination against SARS-CoV-2 variants in hamsters.
From: SARS-CoV-2 virus lacking the envelope and membrane open-reading frames as a vaccine platform

Efficacy of two vaccinations with the ΔEM vaccine candidate virus in hamsters. a Virus titers in the lung and nasal turbinate (NT) tissues on day 3 after challenge with a Delta variant (n = 7 female and n = 4 male control animals; n = 8 female and n = 4 male vaccinated animals) or an Omicron XBB variant (n = 6 female and n = 4 male control animals; n = 8 female and n = 4 male vaccinated animals). b Virus titers on day 6 after challenge with a Delta variant (n = 6 female and n = 4 male control animals; n = 6 female and n = 6 male vaccinated animals) or an Omicron XBB variant (n = 6 female and n = 6 male control animals; n = 6 female and n = 6 male vaccinated animals). Data represent the mean, and each dot in the bar graph indicates an individual hamster. Error bars represent SD. The dotted line indicates the limit of detection (1.3 log10 pfu/g). Statistical significance was determined by use of a two-way ANOVA with Šídák’s multiple comparisons test (*P < 0.05, **P < 0.01, ***P < 0.001, ****P < 0.0001). Exact P values: (a) Delta-challenged female lung (P < 0.0001), female NT (P < 0.0001), male lung (P < 0.0001), male NT (P < 0.0001); XBB-challenged female lung (P < 0.0001), female NT (P < 0.0001), male lung (P < 0.0001), male NT (P < 0.0001). (b) Delta-challenged female lung (P = 0.0036), female NT (P = 0.0171), male lung (P < 0.0001), male NT (P = 0.0128); XBB-challenged female lung (P = 0.0165), female NT (P = 0.0004), male lung (P = 0.0209), male NT (P = 0.0012). Source data are provided as a Source Data file.