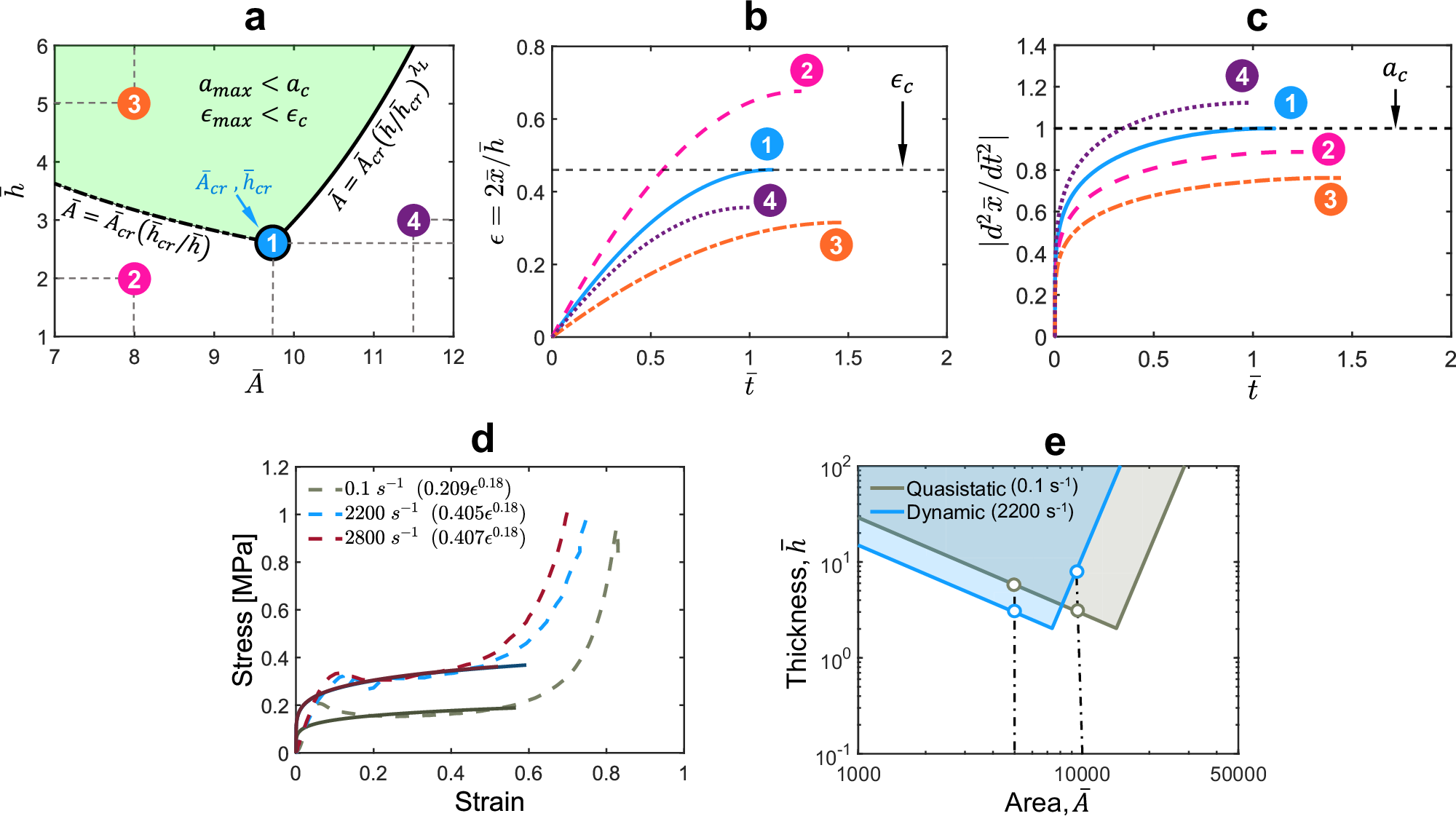
Fig. 3: Geometric design of energy absorber and effect of strain-rate dependence.

a Geometric design space showing constraints on dimensionless thickness \((\bar{h})\) and dimensionless area \((\bar{A})\) (α = 1, λL = 0.2, β = 1, \(\bar{\rho }=0.1\), c1 = 1, \({\epsilon }_{c}=0.66-2\bar{\rho }\)). In the shaded region, both peak acceleration and peak strain will remain below the desired limits for any combination of \(\bar{A}\) and \(\bar{h}\), while absorbing the given kinetic energy of impact. b Compressive strain in the foam during impact as a function of dimensionless time \((\bar{t})\). The maximum limit on strain (critical strain, ϵc) is indicated by a black dashed line. c Dimensionless acceleration as a function of dimensionless time. The limit on maximum acceleration is shown by a black dashed line (ac). d Effect of strain rate on the experimentally measured stress-strain response of an open-cell polyurethane foam, along with the corresponding power-law fits. e Geometric design space for quasistatic and dynamic strain rates, obtained using power-law fits with the assumption Es = 2.7 GPa for solid polyurethane. Source data are provided as a Source Data file.