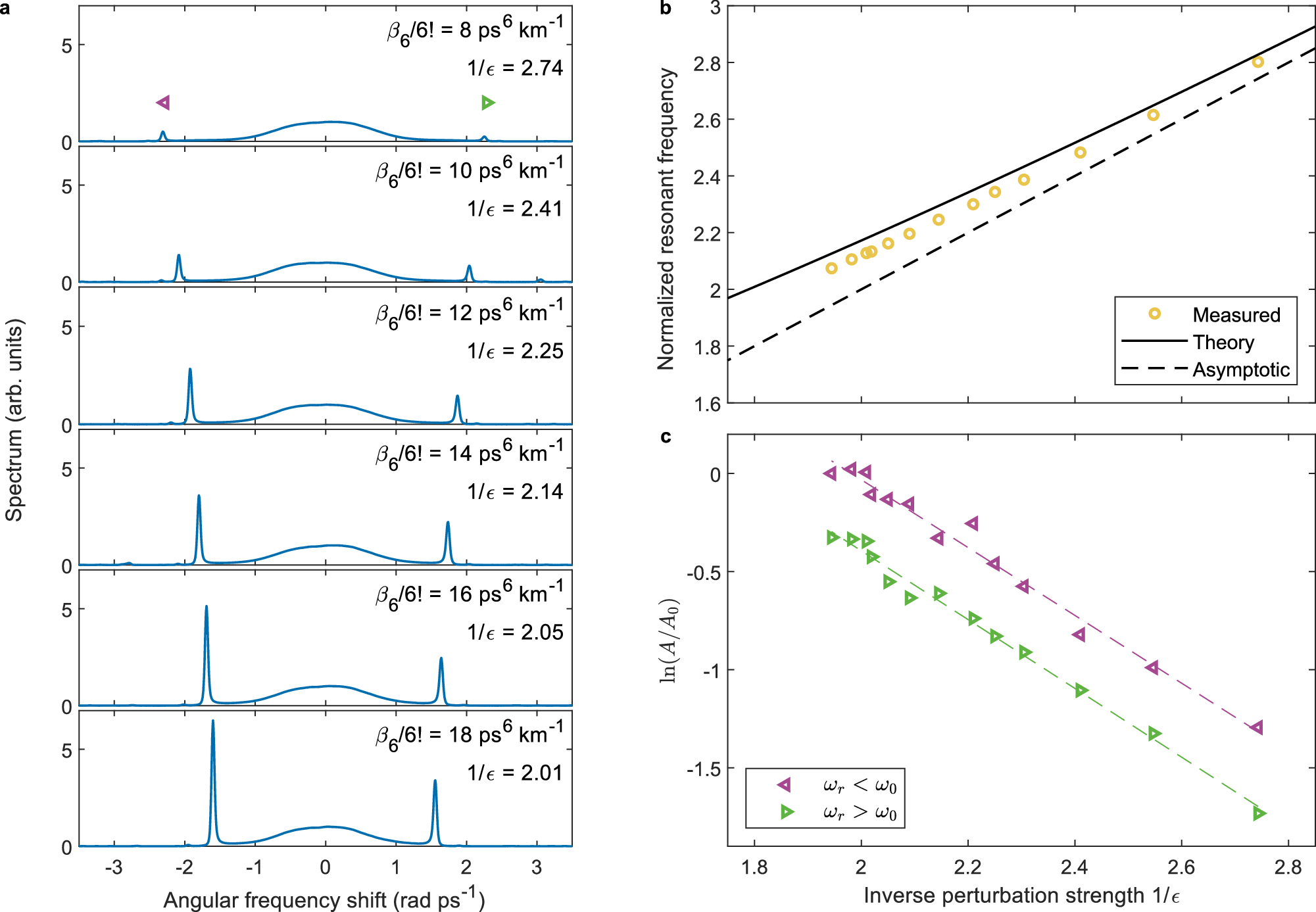
Fig. 4: Measured radiation amplitudes and frequencies for different perturbation strengths.
From: Observation of the universality of nonlinear mode coupling in a fibre laser

a Measured spectra for fixed β4/4! = −40 ps4 km−1 but increasing β6 (and ϵ) from top to bottom. b Measured (circles), theoretical (solid) and asymptotic (dashed) radiation frequencies against inverse perturbation strength 1/ϵ. c Estimated logarithm of radiation amplitudes \(\ln A\) versus 1/ϵ for both the ωr < ω0 (purple triangles) and ωr > ω0 (green triangles) resonances. A is normalized to A0—the amplitude at an arbitrarily selected data point. Linear fits (dashed) are shown with respective slopes of −1.73 (R2 = 0.98) and −1.75 (R2 = 0.99). Results in (b, c) are all non-dimensionalized and normalized, such that χ ≈ 2.75 is expected when ϵ ≪ 1.